Abstract
The success of hematopoietic stem cell transplantation (HSCT) partly relies on the beneficial graft-versus-leukemia effect, mediated by alloreactive natural killer cells through their killer cell immunoglobulin-like receptors (KIR). Conflicting results have been reported regarding the impact of the KIR immunogenetic system on HSCT outcomes with a scarcity of data interrogating the effect of KIR allelic polymorphism. With the aim of filling this gap, donor KIR genes derived from a national cohort of 1,247 HLA-matched transplanted donor/recipient pairs were determined at a high-resolution and tested in Cox proportional hazards models. Donor/recipient pairs bearing a KIR2DS4*00101–HLA-C1/C2/A11 interaction showed a significant detrimental impact on progression-free survival, overall survival, transplant-related mortality and chronic graft-versus-host disease in multivariable analysis. Strong KIR2DL2/L3–HLA-C1 and especially KIR2DL3*00501 and *015 interactions showed a significant increase in the incidence of chronic graft-versus-host disease compared to donor/recipient pairs with missing ligands. Strongly inhibiting KIR3DL1–HLA-B and HLA-A (Bw4) interactions were associated with a reduced relapse incidence as compared to weak and non-inhibiting interactions. Our study indicates that high-resolution KIR genotyping informs post-transplant outcomes with a seemingly higher protection of educated natural killer cells.
Introduction
Allogeneic hematopoietic stem cell transplantation (HSCT) is currently the standard of care for certain hematologic malignancies and other immunological disorders. Despite major advancements, HSCT remains a high-risk treatment, and its success is significantly hampered by the occurrence of infections, immunological complications and disease relapse.1 Its therapeutic rationale partly relies on the beneficial graft-versus-leukemia effect exerted by donor-derived alloreactive T and natural killer (NK) cells. NK cell immunosurveillance and killing capabilities are triggered by an HLA class I missing-self situation, mediated by their germline-encoded killer cell immunoglobulin-like receptors (KIR).2 In a transplant setting, it has been hypothesized that a missing ligand situation could be mimicked by a donor and recipient KIR/HLA mismatch configuration, thus inducing alloreactivity against various target cells.3 Subsequent research to dissect this effect on modulating transplant outcomes, especially relapse propensity, has yielded conflicting results.4
Transplant-related features have been recognized as potential confounding parameters in this association, such as in vitro T-cell depletion,5 the type of the underlying diagnosis or the use of post-transplant cyclophosphamide. The genetic complexity of the KIR system encompassing gene, copy number and allelic variation combined with the lack of sequencing resolution depth and scalability have further challenged the interrogation of its effect. Recent studies have allocated beneficial or detrimental effects to selected KIR allele candidates such as KIR3DL1 and KIR2DL1 on HSCT outcomes6-10 and but few studies have been investigating the entirety of KIR loci simultaneously.11,12 In the largest genetic association study conducted to date with more than 5,000 transplanted recipients included, the authors were unable to replicate any of the proposed KIR models and were further unable to assess a link between KIR allelic polymorphism and the level of post-transplant NK cell alloreactivity.12
Given the importance of NK cells in antitumor and antiviral immunity and the pressing need to improve post-transplant outcomes, we set out to revisit the predictive power of high-resolution KIR genotyping using a state-of-the-art KIR sequencing workflow in a large retrospective cohort of allogeneic HSCT recipients.
Methods
Study cohort
For this multicenter retrospective study, 1,247 patients who received a first allogeneic HSCT from an HLA-matched unrelated donor between January 2008 and April 2022 in one of the four transplant centers in Switzerland were selected. The study was approved by the local Ethics Committee for human studies of Geneva and the Geneva University Hospital (Commission Cantonale d’Ethique de la Recherche, CCER, CER 06-208 and 08-208) and was performed according to the principles of the Declaration of Helsinki. Informed consent was not necessary for this study.
High-resolution KIR genotyping
All donors were genotyped at high-resolution for the KIR loci. To this end, a DNA probe-based capture method was used as described elsewhere.13 Further details are provided in the Online Supplementary Material.
Computational and statistical analysis
PING bioinformatic pipeline
A pushing immunogenetics to the next generation (PING) pipeline was applied for sequence filtering, alignment, gene content and allelic genotype determination derived from the next-generation sequencing FASTQ files as developed by Norman et al.13 and Marin et al.14 High-resolution KIR genotype and copy number were determined for all KIR genes (KIR2DS1, 2DS2, 2DS3, 2DS4, 2DS3/S5, 3DL1/3DS1, 2DL1, 2DL2/L3, 2DL4, 2DL5A/B, 3DL2, 3DL3) and the two pseudogenes (KIR2DP1, 3DP1). The Immuno Polymorphism Database (IPD) IMGT/HLA database v3.25.0 was used as a source of reference sequences.15
KIR alleles and haplotype assignment
Gene-level centromeric (cen) and telomeric (tel) haplotype assessment was performed manually based on the KIR gene presence and copy number variation following current haplotype classification.16-18 KIR allele ambiguities were manually curated. Haplotype, gene and allele frequencies were determined directly, where the number observed was divided by 2N (alleles duplicated on a single haplotype were included as distinct loci, and gene absence was counted as a distinct allele). Further details on KIR haplotypes, alleles, allotype assignment and KIR/HLA interactions are provided in the Online Supplementary Material.
Statistical endpoints and analysis
Statistical endpoints analyzed were overall survival (OS: time from transplantation until death), progression-free survival (PFS; survival without evidence of active malignancy after transplantation), relapse and progression, and transplant-related mortality (TRM; time from transplantation until death without evidence of relapse). OS, TRM and PFS were censored at the last reported follow-up date. Further outcomes were the incidence of acute graft-versus-host disease (GvHD) and chronic GvHD.19
A total of 16 variables were tested in univariable and multivariable analyses. Survival functions for OS and PFS were estimated according to the Kaplan-Meier method starting from the baseline date to the event or the last follow-up date available and compared between groups using a logrank test. Cumulative incidence rates were estimated for events with competing risks (i.e., TRM, relapse/progression, acute GvHD and chronic GvHD) and compared between groups using a log-rank test.
All models were then tested in a multivariable analysis using Cox proportional hazards regression to adjust for potential confounding covariates (see Online Supplementary Material). All statistical tests were two-sided, with a threshold P value of <0.05 for statistical significance. All statistical analyses were computed using the statistical computing environment R, version 4.1.3 (R Core Team, Vienna, Austria).
Results
Study cohort characteristics
The median age of recipients at the time of transplantation was 51.8 years (interquartile range [IQR], 33.2-62 years). The primary diagnoses included hematologic malignancies (acute myeloid leukemia [AML]), 39.9%; myelodysplastic syndrome/ myeloproliferative neoplasms, 20.4%; acute lymphoblastic leukemia, 13.5%), and non-malignant diseases (primary immunodeficiencies, 4.57%). A majority (79.4%, N=990) were 10/10 HLA-matched transplants and 19.5% (N=243) were 9/10 HLA-matched. A myeloablative conditioning regimen was applied in 50.3% (N=627) of transplants and 84.4% (N=1,053) of recipients received a peripheral blood stem cell graft. A minority of patients (7.8%, N=97) received an in vitro T-cell-depleted graft. Further recipient and donor demographic and transplant-related characteristics are presented in Table 1.
Donor/recipient pairs with a centromeric Bx portion showed a higher overall survival probability
To analyze the predictive power of the KIR immunogenetic system on transplant outcomes, donor KIR genes derived from a cohort of 1247 HLA-matched transplanted donor/ recipient (D/R) pairs were determined at a high resolution.
The detailed KIR allele characteristics are summarized in Online Supplementary Tables S1-S4. The allele frequencies were generally comparable, except for KIR2DS4: the frequencies of KIR2DS4*00301 and KIR2DS4*00601 were higher in our cohort (23.1% vs. 14.62% and 17.08% vs. 12.04%, respectively), while the frequency of KIR2DS4*00101 was lower in our cohort (19.2% vs. 27.82%).
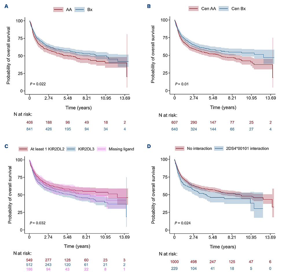
The KIR gene loci can be classified into group A and B haplotypes, and further divided into centromeric and telomeric fragments (see Methods section). Recipients receiving a graft from a donor with a Bx genotype had a significantly higher OS than D/R pairs with an AA genotype in univariable analysis (Figure 1A) and in a cause-specific multivariable regression model (hazard ratio [HR]=0.71, 95% confidence interval [95% CI]: 0.59-0.87, P<0.001). As the effect was more pronounced when analyzing the centromeric portion alone (Figure 1B), this effect was likely driven by the presence of a centromeric portion of the B haplotypes. Presence of a centromeric B haplotype significantly increased the OS probability in univariable analysis and a cause-specific multivariable regression model (HR=0.76, 95% CI: 0.63-0.92, P=0.004) whereas no effect of the telomeric portion on OS was noted (HR=0.96, 95% CI: 0.79-1.16, P=0.685). The effect of the centromeric B portion on OS was indirectly confirmed by the significant impact of the copy number variation of KIR2DL2 and KIR2DS2 (HR=0.82, 95% CI: 0.7-0.95, P=0.008). In segregating the centromeric portion into cA01, cB01 and cB02 genotypes, cA01/cB02-bearing D/R pairs showed a significantly increased OS probability compared to all other centromeric motifs by multivariable analysis (HR=0.72, 95% CI: 0.56-0.92, P=0.009), as previously observed.11
Table 1.Demographic and transplant-related characteristics of the entire study cohort and the subcohort with acute myeloid leukemia.
Figure 1.Impact of KIR genotypes, KIR2DL2/L3 and KIR2DS4 interactions on the overall survival probability. (A) Kaplan-Meier estimates of the impact of AA (red) and Bx (blue) KIR genotypes on the overall survival probability. (B) Kaplan-Meier estimates of the impact of centromeric AA (red) and Bx (blue) KIR genotypes on the overall survival probability. (C) Kaplan-Meier estimates of the impact of the presence of ≥1 KIR2DL2–HLA-C1 (red), only KIR2DL3–HLA-C1 (blue) and missing ligand (lilac) interactions on the overall survival probability. (D) Kaplan-Meier estimates of the impact of the presence (blue) and absence (red) of KIR2DS4*00101 functional interactions on the overall survival probability. In the plots, shaded bands represent the 95% confidence interval. Non-adjusted P values indicate the statistical significance of the log-rank test.
As it is unknown whether the protective effect of centro-meric B is due to the increased presence of activating KIR or the differential presence of inhibitory KIR,20,21 we further investigated the effect of centromeric KIR interactions with their HLA ligands. We did not observe any impact on transplant outcomes in D/R pairs having a KIR2DS2*00101– HLA-C*16/*01:02 and A*11:01 interaction (HR=1.15, 95% CI: 0.9-1.46, P=0.253). In line with the hypothesis that KIR2DL2 would be beneficial, we segregated the cohort according to whether D/R pairs had at least one inhibitory KIR2DL2– HLA-C1 interaction compared to D/R pairs carrying only KIR2DL3–HLA-C1 ligands or have a missing ligand status (C2/C2). D/R pairs bearing exclusively KIR2DL3–HLA-C1 interactions had significantly lower OS probability in univariable analysis (Figure 1C) and a cause-specific multivariable regression model (HR=1.38, 95% CI: 1.13-1.69, P=0.002) as compared to D/R pairs bearing at least one KIR2DL2–HLA-C1 interaction.
KIR2DL1 and HLA-C2 interactions segregated according to whether they had a strong or weak signal transduction capacity had no effect on the OS probability (weak: HR=0.74, 95% CI: 0.43-1.28, P=0.284; strong: HR=1.06, 95% CI: 0.87-1.3, P=0.56).
KIR2DS4*001 represents the second most frequent allotype of KIR2DS4 and is the only one encoding a functional activating receptor.22 In our cohort, we observed KIR2DS4*00101 in combination with one or more of its ligands from HLA-C1/ C2/A11 in 18.36 % (N=229) of D/R pairs. This functional KIR2DS4 interaction had a significantly reduced OS both in univariable analysis (Figure 1D) and cause-specific multivariable analysis (HR=1.26, 95% CI: 1.0-1.59, P=0.047). In addition, the interaction significantly negatively affected the following transplant outcomes: TRM (HR=1.65, 95% CI: 1.2-2.27, P=0.002) and PFS (HR=1.39, 95% CI: 1.12-1.71, P=0.002) when considered in cause-specific multivariable regression models. We did not observe an effect on the relapse/progression incidence.
Detailed results of the multivariable analysis for relapse incidence, OS, PFS, TRM, acute GvHD and chronic GvHD are provided in Online Supplementary Table S5.
Inhibitory KIR2DL2 and KIR2DL3–HLA-C1 interactions increase the likelihood of chronic graft-versus-host disease
GvHD is thought to be modulated by NK cells through an indirect pathway targeting recipient’s dendritic cells or allo-reactive T cells.23 Analysis in univariable and cause-specific multivariable regression models revealed that D/R pairs having a missing ligand configuration had a significantly reduced incidence of chronic GvHD as compared to recipients with inhibitory KIR2DL2–HLA-C1 interactions (HR=0.69, 95% CI: 0.5-0.94, P=0.018).
Assuming that the inhibition threshold might play a role, we segregated KIR2DL2/L3 alleles according to their binding affinity with HLA-C1 as previously described.24 Analysis in univariable (Figure 2A) and cause-specific multivariable regression models revealed that, independently of the KIR gene type, the presence of two strongly or at least one strongly inhibitory allele significantly increased the risk of chronic GvHD as compared to that in D/R pairs having only weakly binding KIR2DL2/L3 alleles (one strong: HR=1.36, 95% CI: 1.05-1.76, P=0.02; two strong: HR=1.27, 95% CI: 1.0-1.62, P=0.049) and the presence of one strong interaction significantly increased the incidence of acute GvHD (HR=1.38, 95% CI: 1.01-1.87, P=0.042). Stratified according to the KIR gene type, especially the presence of D/R pairs bearing at least one strongly inhibitory KIR2DL3–HLA-C1 interaction encompassing KIR2DL3*00501 and *015 alleles significantly increased the cumulative incidence of chronic GvHD in univariable (Figure 2B) and cause-specific multivariable analyses (HR=1.59, 95% CI: 1.14-2.22, P=0.006) as compared to D/R pairs without strong KIR2DL3 interactions.
Furthermore, although not reaching statistical significance, D/R pairs with KIR2DS1 alleles in a C2/C2 environment had a tendency towards a decreased cumulative incidence of chronic GvHD as compared to D/R pairs without a KIR2DS1 interaction (HR=0.63, 95% CI: 0.37-1.05, P=0.07).
KIR2DS4*00101 functional interactions were associated with a higher incidence of chronic GvHD in cause-specific multivariable analysis (HR=1.29, 95% CI: 1.02-1.64, P=0.035). It should be noted that there was no difference in the prediction of chronic GvHD based on the different HLA alleles (C2: HR=1.08, 95% CI: 0.78-1.51, P=0.632; C1: HR=1.18, 95% CI: 0.69-2.01, P=0.557; A11: HR=1.61, 95% CI: 0.9-2.87, P=0.11). No significant correlation was observed with acute GvHD (Online Supplementary Table S5).
KIR3DL1 and KIR2DS1 interactions are predictive of relapse/progression incidence
Incremental research has been conducted into examination of KIR and HLA configurations on the relapse propensity in AML transplanted recipients, especially with regards to KIR3DL1 and KIR2DS1.7,25
We started by interrogating the effect of KIR3DL1 stratifying the entire cohort based on the previous known classification26 without considering D/R pairs who possess HLA-A allotypes containing the Bw4 motif. D/R pairs bearing weak (HR=1.7, 95% CI: 1.3-2.21, P<0.001) and non-inhibiting (HR=1.4, 95% CI: 1.09-1.81, P=0.009) KIR3DL1–HLA-Bw4 interactions displayed a significantly increased incidence of relapse and progression compared to recipients bearing strong inhibiting KIR3DL1–HLA-Bw4 interactions in cause-specific univariable (Figure 3A) and multivariable analyses. We next thought to restrict this analysis only considering recipients transplanted in the context of an AML diagnosis (Table 1). In this subgroup, we confirmed that strong inhibiting interactions confer protection against the relapse/progression rate as compared to weak and non-inhibiting interactions in univariable (Figure 3B) and cause-specific multivariable analyses (weak: HR= 1.8, 95% CI 1.21-2.6, P=0.004; non-inhibiting: HR= 1.7, 95% CI 1.16-2.4, P=0.006).
There is evidence that HLA-A allotypes with Bw4 motifs are potent educators for KIR3DL1+ NK cells, with exceptions being HLA-A*25:01 and HLA-A*23:01, which we considered to be non-inhibiting interactors.27 In consideration of these results, we integrated D/R pairs with HLA-A alleles encoding Bw4 epitopes and confirmed that, in the entire cohort and in the AML subcohort, they were not significantly different from strong inhibiting KIR3DL1–HLA-B Bw4 encoding D/R pairs (entire cohort: HR=0.875, 95% CI: 0.559-1.37, P=0.557; AML: HR=0.59, 95% CI: 0.28-1.3, P=0.168).
Within the entire cohort, there was no effect of KIR2DS1– HLA-C2 interactions on the relapse/progression incidence (HR=0.99, 95% CI: 0.79-1.23, P=0.911). However, within the AML subcohort, D/R pairs with a KIR2DS1–HLA-C2 interaction had a significantly lower relapse/progression incidence than D/R pairs lacking this interaction (HR=0.67, 95% CI: 0.48-0.95, P=0.024). We further refined D/R pairs segregating them according to whether they had a strong/weak or non-inhibiting KIR3DL1–HLA-Bw4 interaction combined with the absence or presence of a KIR2DS1–HLA-C2 interaction. D/R pairs with a strong inhibitory KIR3DL1–HLA-Bw4 and a KIR2DS1–HLA-C2 interaction conferred the highest protection against relapse compared to D/R pairs with a weak KIR3DL1–HLA-Bw4 interaction and the lack of KIR2DS1–HLA-C2 interaction (weak/no KIR2DS1: HR=3.1, 95% CI: 1.53-6.3, P=0.002; none/no KIR2DS1: HR=2.5, 95% CI: 1.25-5.2, P=0.01). Interestingly, the group having weak and non-inhibiting KIR3DL1–HLA-Bw4 interactions and the presence of a KIR2DS1–HLA-C2 interaction did not have a significantly higher relapse/progression incidence (weak/ KIR2DS1: HR=1.2, 95% CI: 0.49-3.1, P=0.659; none/KIR2DS1: HR=2.0, 95% CI: 0.91-4.4, P=0.086) than the group with strong inhibiting KIR3DL1–HLA-Bw4 interactions and the presence of a KIR2DS1–HLA-C2.
Finally, it has to be noted that these KIR3DL1 and KIR2DS1 configurations did not aggravate the incidences of acute and chronic GvHD in the entire cohort or in the AML sub-cohort, except for the KIR3DL1–HLA-A interactions (Online Supplementary Tables S5 and S6).
Discussion
In this study, we aimed to challenge the immunogenetic hypothesis that specific allelic KIR/HLA configurations would enhance the NK cell alloreactivity propensity, thus modulating transplant outcomes. Integrating current paradigms and extending our investigation to further KIR/ HLA configurations, we were able to demonstrate that high-resolution KIR genotyping informs post-transplant NK cell alloreactivity mainly driven by KIR2DS4, KIR2DL2/ L3 and KIR3DL1 alleles.
Figure 2.Impact of KIR2DL2/L3 interactions on the incidence of chronic graft-versus-host disease. (A) Impact of two strong (green), one strong (blue), only weak (red) KIR2DL2/L3–HLA-C1 interactions and missing ligand (lilac) on the cumulative incidence of chronic graft-versus-host disease. (B) Impact of strongly inhibitory KIR2DL3–HLA-C1 interactions encompassing KIR2DL3*00501 and *015 alleles (green), no strong KIR2DL3–HLA-C1 interactions (blue) and missing ligand (lilac) on the cumulative incidence of chronic graft-versus-host disease. In the plots, shaded bands represent the 95% confidence interval. Non-adjusted P values indicate the statistical significance of the log-rank test. cGvHD: chronic graft-versus-host disease.
Donors with a centromeric B portion have been associated with better transplant outcomes, a finding we were only partially able to replicate in this study. This discrepancy between the previous cohort and this contemporary cohort might be due to differences in transplant-related factors such as the use of reduced-intensity conditioning regimens. This protocol could lead to a less inflammatory environment post-transplant, potentially resulting in decreased upregulation of stress ligands and delayed NK cell reconstitution. Another contributing factor could be a reduced incidence of cytomegalovirus reactivation, which is known to induce KIR2DL2/L3/S2+ NK cells.28 This reduction may be attributed to the use of new prophylaxis regimens for cytomegalovirus, such as letermovir, in the contemporary cohort.
We revealed a detrimental effect of KIR2DS4*00101 interactions on almost all transplant outcomes in terms of a lower OS rate, lower PFS and higher risk of chronic GvHD and TRM, while there was no effect on relapse/progression and acute GvHD. These results partially overlap with those of recent studies demonstrating unfavorable transplant outcomes associated with KIR2DS4*00101, although none of these studies considered the HLA ligands for KIR2DS4.29,30 Poor outcomes were equally reported for patients carrying full-length KIR2DS4 genes in non-transplant settings such as human immunodeficiency virus-1 and severe acute respiratory syndrome coronarvirus-2 infections,31,32 substantiating the potential deleterious effect. We could hypothesize that NK cell activation by KIR2DS4 might lead to a sustained induced inflammatory setting with the secretion of proinflammatory cytokines leading to detrimental paracrine side effects. It remains, however, elusive as to why this detrimental effect is only present with KIR2DS4 and absent with other activating KIR. From a genetic point of view, KIR2DS4 is the only activating KIR on the telomeric part from the A haplotype, which might hint towards either suppressing roles of co-receptors or a differential intrinsic mechanism.
We found that there is a strengthened protection for chronic GvHD development in KIR2DL2/L3+ D/R pairs with a missing ligand status and especially a higher risk conferred to recipients bearing strongly inhibiting KIR2DL3*00501 and *015–HLA-C1 interactions. NK cell-mediated alloreactivity has been shown to have an indirect impact on the development of chronic GvHD by targeting recipient’s dendritic and T cells.23 Thus, given the pro-inflammatory environment, NK cell tolerance could be broken, and missing ligand situations be favorable in selectively killing target cells. In addition, there is compelling evidence that HLA-C expression plays a key role in modulating the immune response. In stem cell transplantation settings, there is evidence that the highest expressed HLA-C allele (*14:02) was associated with the most striking risk of acute GvHD,33 which might substantiate that an increased inhibitory threshold hinders NK cell-targeted cytotoxicity against dendritic and T cells. The observed lack of effect of KIR2DL1+ D/R pairs with a missing ligand status (C1/C1) might be attributed to a reduced reconstitution pattern, reducing the NK cell alloreactivity potential.34 Finally, another explanatory hypothesis that might account for this effect is based on a direct interaction between NK and T cells. Indeed, a recent study showcased that the number of direct inhibitory KIR and HLA interactions between NK and T cells influences the lifespan of T cells in vitro, with a higher number of inhibitory interactions leading to prolonged longevity.35,36 Thus, we might hypothesize that NK cells could potentiate the level of T-cell alloreactivity, which might in turn lead to GvHD development.
Figure 3.Impact of KIR3DL1 interactions on the risk of disease relapse. (A) Impact of strong inhibiting (red), weak inhibiting (blue) and non-inhibiting (lilac) KIR3DL1–HLA-B (Bw4) interactions on the cumulative incidence of relapse/progression within the entire cohort (N=1,247). (B) Impact of strong inhibiting (red), weak inhibiting (blue) and non-inhibiting (lilac) KIR3DL1–HLA-B (Bw4) interactions on the cumulative incidence of relapse/progression within the subcohort with acute myeloid leukemia (N=498). In the plots, shaded bands represent the 95% confidence interval. Non-adjusted P values indicate the statistical significance of the log-rank test. HSCT: hematopoietic stem cell transplantation.
With regard to the anti-leukemic NK cell alloreactivity, based on our analysis, we could speculate that activating and inhibitory KIR do not contribute equally to leukemic control. We found that there is an increased protection against relapse in patients with highly inhibiting KIR3DL1–HLA-Bw4 interactions, partially dissimilar to previous studies.7,9,37 Indeed, non-inhibiting KIR3DL1–HLA-B (Bw4) interactions were initially suggested to magnify anti-leukemic immunity through a reduced inhibition threshold and responsiveness acquired through a cytokine-enriched environment.7 These findings could not be replicated in a following prospective study in which only recipients with weakly inhibiting interactions had a decrease in relapse incidence.37 Breaking tolerance might not occur outside of specific settings, such as infections, and might thereby curtail the anti-leukemic effect.
The favorable association between strong inhibiting KIR3DL1 interactions and the relapse incidence in this study suggests that classical NK cell licensing might override missing ligand or non-inhibiting configuration states in antitumor immunity.
Recent data have demonstrated a higher frequency of HLA-A and HLA-B loss-of-function mutations but to a lesser extent HLA-C across multiple cancer types, which substantiates the implication of HLA-B-specific KIR receptors in the sensing of transformed tumor cells.38 Furthermore, the expression of HLA-A and B ligands on cells is approximately 5 times higher than the expression of HLA-C.39,40 Following the educational tuning model of NK cells,41 we hypothesize that strongly inhibiting KIR3DL1+ NK cells might show an enhanced sensitivity for discrete changes in HLA-Bw4 ligand expression. A recent study has shown similar results with a beneficial effect conferred by the presence of highly expressed KIR3DL1 alleles compared to non-expressed KIR3DL1*004 and *019 alleles in recipients following haploidentical transplantation.8
Furthermore, we found a significant additive effect of KIR2DS1–HLA-C2 interactions on the relapse incidence in AML recipients with a lack of effect within the entire cohort, suggesting that the tumor microenvironment might upregulate the expression of activating KIR ligands.
Despite the large size of our cohort, we need to acknowledge some limitations of the present study. Lack of biological knowledge may lead to potential misinterpretation in the associative analysis. Missing biological information includes the ligand identity for KIR2DS3 which might interfere with the analysis or the potential binding of activating KIR such as KIR2DS4 to non-HLA ligands.42 Another major weakness is the fact that we ignore the HLA ligand distribution on target cells, a major component of NK cell licensing and responsiveness comprehension. Thus, our results do not preclude effects of KIR and HLA in subgroups of disease. The study design may have biased our results due to its retrospective nature and the heterogeneity of some transplant-related features hampering accurate comparability with other cohorts.
Notwithstanding these limitations, our results suggest that high-resolution KIR genotyping might be an additional immunogenetic stratification tool for use in clinical practice and might help clinicians in the donor allocation process. We do not believe that high-resolution KIR genotyping should be performed for all volunteers enrolled in registries, in the manner of HLA typing, but one could envision a smarter and cost-efficient sequencing of selected KIR loci when several unrelated donors are available for a single patient.
Footnotes
- Received November 28, 2024
- Accepted June 26, 2025
Correspondence
Disclosures
YC has received institutional consulting fees for advisory board services from MSD, Novartis, Incyte, BMS, Pfizer, AbbVie, Roche, Jazz, Gilead, Amgen, AstraZeneca, Servier, Takeda, Pierre Fabre and Medac and travel support from MSD, Roche, Novartis, Pfizer, BMS, Gilead, Amgen, Incyte, AbbVie, Janssen, AstraZeneca, Jazz, Pierre Fabre and Sanofi all via his institution. All other authors declare that they have no conflicts of interest to disclose.
Contributions
AS and JV designed the study. HB, SF-L, SM-L, VM, OK, GN, JH, TG, DS, YC and JRP provided the clinical data. PJN provided the KIR sequencing workflow, the KIR primers and the KIR gene and allele calling bioinformatic pipeline (PING). AS, ZCS, TDJF and KMK performed the experiments. BM performed the bioinformatic gene and allele calling. AS and SB performed the statistical analysis. AS and JV drafted the manuscript. All authors critically reviewed and edited the manuscript, and approved the final version.
Funding
The project was supported by a grant from the Swiss Red Cross Humanitarian Foundation and by the Fondation Privée of Geneva University Hospital. PJN was supported by NIH U01 AI090905. The project was supported by a TANDEM grant from the ISREC foundation to David Gfeller and Jean Villard.
Acknowledgments
The authors are grateful to Marie-Priscille Hervé for her great technical assistance and the technicians of the National Reference Laboratory for Histocompatibility (LNRH) for their most efficient support for the HLA typing.
References
- Saccardi R, Putter H, Eikema DJ. Benchmarking of survival outcomes following haematopoietic stem cell transplantation (HSCT): an update of the ongoing project of the European Society for Blood and Marrow Transplantation (EBMT) and Joint Accreditation Committee of ISCT and EBMT (JACIE). Bone Marrow Transplant. 2023; 58(6):659-666. Google Scholar
- Wolf NK, Kissiov DU, Raulet DH. Roles of natural killer cells in immunity to cancer, and applications to immunotherapy. Nat Rev Immunol. 2023; 23(2):90-105. Google Scholar
- Ruggeri L, Capanni M, Urbani E. Effectiveness of donor natural killer cell alloreactivity in mismatched hematopoietic transplants. Science. 2002; 295(5562):2097-2100. Google Scholar
- Dhuyser A, Aarnink A, Peres M. KIR in allogeneic hematopoietic stem cell transplantation: need for a unified paradigm for donor selection. Front Immunol. 2022; 13:821533. Google Scholar
- Cooley S, McCullar V, Wangen R. KIR reconstitution is altered by T cells in the graft and correlates with clinical outcomes after unrelated donor transplantation. Blood. 2005; 106(13):4370-4306. Google Scholar
- Bari R, Rujkijyanont P, Sullivan E. Effect of donor KIR2DL1 allelic polymorphism on the outcome of pediatric allogeneic hematopoietic stem-cell transplantation. J Clin Oncol. 2013; 31(30):3782-3790. Google Scholar
- Boudreau JE, Giglio F, Gooley TA. KIR3DL1/HLA-B subtypes govern acute myelogenous leukemia relapse after hematopoietic cell transplantation. J Clin Oncol. 2017; 35(20):2268-2278. Google Scholar
- Legrand N, Salameh P, Jullien M. Non-expressed donor KIR3DL1 alleles may represent a risk factor for relapse after T-replete haploidentical hematopoietic stem cell transplantation. Cancers (Basel). 2023; 15(10):2754. Google Scholar
- Schetelig J, Baldauf H, Heidenreich F. External validation of models for KIR2DS1/KIR3DL1-informed selection of hematopoietic cell donors fails. Blood. 2020; 135(16):1386-1395. Google Scholar
- Wright PA, van de Pasch LAL, Dignan FL. Donor KIR2DL1 allelic polymorphism influences posthematopoietic progenitor cell transplantation outcomes in the T cell depleted and reduced intensity conditioning setting. Transplant Cell Ther. 2024; 30(5):488.e1-488.e15. Google Scholar
- Guethlein LA, Beyzaie N, Nemat-Gorgani N. Following transplantation for acute myelogenous leukemia, donor KIR cen B02 better protects against relapse than KIR cen B01. J Immunol. 2021; 206(12):3064-3072. Google Scholar
- Schetelig J, Baldauf H, Heidenreich F. Donor KIR genotype based outcome prediction after allogeneic stem cell transplantation: no land in sight. Front Immunol. 2024; 15:1350470. Google Scholar
- Norman PJ, Hollenbach JA, Nemat-Gorgani N. Defining KIR and HLA class I genotypes at highest resolution via high-throughput sequencing. Am J Hum Genet. 2016; 99(2):375-391. Google Scholar
- Marin WM, Dandekar R, Augusto DG. High-throughput interpretation of killer-cell immunoglobulin-like receptor short-read sequencing data with PING. PLoS Comput Biol. 2021; 17(8):e1008904. Google Scholar
- Robinson J, Halliwell JA, Hayhurst JD, Flicek P, Parham P, Marsh SGE. The IPD and IMGT/HLA database: allele variant databases. Nucleic Acids Res. 2015; 43Google Scholar
- Amorim LM, Augusto DG, Nemat-Gorgani N. High-resolution characterization of KIR genes in a large North American cohort reveals novel details of structural and sequence diversity. Front Immunol. 2021; 12:674778. Google Scholar
- Pyo CW, Guethlein LA, Vu Q. Different patterns of evolution in the centromeric and telomeric regions of group A and B haplotypes of the human killer cell Ig-like receptor locus. PLoS One. 2010; 5(12):e15115. Google Scholar
- Vierra-Green C, Roe D, Hou L. Allele-level haplotype frequencies and pairwise linkage disequilibrium for 14 KIR loci in 506 European-American individuals. PLoS One. 2012; 7(11):e47491. Google Scholar
- Harris AC, Young R, Devine S. International, multicenter standardization of acute graft-versus-host disease clinical data collection: a report from the Mount Sinai Acute GVHD International Consortium. Biol Blood Marrow Transplant. 2016; 22(1):4-10. Google Scholar
- Cooley S, Weisdorf DJ, Guethlein LA. Donor selection for natural killer cell receptor genes leads to superior survival after unrelated transplantation for acute myelogenous leukemia. Blood. 2010; 116(14):2411-2419. Google Scholar
- Krieger E, Qayyum R, Keating A, Toor A. Increased donor inhibitory KIR with known HLA interactions provide protection from relapse following HLA matched unrelated donor HCT for AML. Bone Marrow Transplant. 2021; 56(11):2714-2722. Google Scholar
- Maxwell LD, Wallace A, Middleton D, Curran MD. A common KIR2DS4 deletion variant in the human that predicts a soluble KIR molecule analogous to the KIR1D molecule observed in the rhesus monkey. Tissue Antigens. 2002; 60(3):254-258. Google Scholar
- Garrod KR, Liu FC, Forrest LE, Parker I, Kang S-M, Cahan MD. NK cell patrolling and elimination of donor-derived dendritic cells favor indirect alloreactivity. J Immunol. 2010; 184(5):2329-2336. Google Scholar
- Bari R, Thapa R, Bao J, Li Y, Zheng J, Leung W. KIR2DL2/2DL3-E(35) alleles are functionally stronger than -Q(35) alleles. Sci Rep. 2016; 6:23689. Google Scholar
- Venstrom JM, Pittari G, Gooley TA. HLA-C-dependent prevention of leukemia relapse by donor activating KIR2DS1. N Engl J Med. 2012; 367(9):805-816. Google Scholar
- Boudreau JE, Mulrooney TJ, Le Luduec JB, Barker E, Hsu KC. KIR3DL1 and HLA-B density and binding calibrate NK education and response to HIV. J Immunol. 2016; 196(8):3398-3410. Google Scholar
- Saunders PM, MacLachlan BJ, Widjaja J. The role of the HLA class I alpha2 helix in determining ligand hierarchy for the killer cell Ig-like receptor 3DL1. J Immunol. 2021; 206(4):849-860. Google Scholar
- Schafer A, Calderin Sollet Z, Herve MP. NK and T cell repertoire is established early after allogeneic HSCT and is profoundly imprinted by CMV reactivation. Blood Adv. 2024; 8(21):5612-5624. Google Scholar
- Gowdavally S, Tsamadou C, Platzbecker U. KIR2DS4 and its variant KIR1D in KIR-AA genotype donors showed differential survival impact in patients with lymphoid disease after HLA-matched unrelated hematopoietic stem cell transplantation. Transplant Cell Ther. 2023; 29(7):457.e1-457.e10. Google Scholar
- Burek Kamenaric M, Stingl Jankovic K, Grubic Z. The impact of KIR2DS4 gene on clinical outcome after hematopoietic stem cell transplantation. Hum Immunol. 2017; 78(2):95-102. Google Scholar
- Farias TDJ, Brugiapaglia S, Croci S. HLA-DPB1*13:01 associates with enhanced, and KIR2DS4*001 with diminished protection from developing severe COVID-19. HLA. 2024; 103(1):e15251. Google Scholar
- Merino AM, Dugast AS, Wilson CM. KIR2DS4 promotes HIV-1 pathogenesis: new evidence from analyses of immunogenetic data and natural killer cell function. PLoS One. 2014; 9(6):e99353. Google Scholar
- Morishima S, Kashiwase K, Matsuo K. High-risk HLA alleles for severe acute graft-versus-host disease and mortality in unrelated donor bone marrow transplantation. Haematologica. 2016; 101(4):491-498. Google Scholar
- Vago L, Forno B, Sormani MP. Temporal, quantitative, and functional characteristics of single-KIR-positive alloreactive natural killer cell recovery account for impaired graft-versus-leukemia activity after haploidentical hematopoietic stem cell transplantation. Blood. 2008; 112(8):3488-3499. Google Scholar
- Boelen L, Debebe B, Silveira M. Inhibitory killer cell immunoglobulin-like receptors strengthen CD8(+) T cell-mediated control of HIV-1, HCV, and HTLV-1. Sci Immunol. 2018; 3(29):eaao2892. Google Scholar
- Feldman HA, Cevik H, Waggoner SN. Negativity begets longevity in T cells. J Clin Invest. 2023; 133(12):e171027. Google Scholar
- Shaffer BC, Le Luduec JB, Park S. Prospective KIR genotype evaluation of hematopoietic cell donors is feasible with potential to benefit patients with AML. Blood Adv. 2021; 5(7):2003-2011. Google Scholar
- Martinez-Jimenez F, Priestley P, Shale C, Baber J, Rozemuller E, Cuppen E. Genetic immune escape landscape in primary and metastatic cancer. Nat Genet. 2023; 55(5):820-831. Google Scholar
- Apps R, Meng Z, Del Prete GQ, Lifson JD, Zhou M, Carrington M. Relative expression levels of the HLA class-I proteins in normal and HIV-infected cells. J Immunol. 2015; 194(8):3594-3600. Google Scholar
- Bettens F, Ongen H, Rey G. Regulation of HLA class I expression by non-coding gene variations. PLoS Genet. 2022; 18(6):e1010212. Google Scholar
- Goodson-Gregg FJ, Krepel SA, Anderson SK. Tuning of human NK cells by endogenous HLA-C expression. Immunogenetics. 2020; 72(4):205-215. Google Scholar
- Katz G, Gazit R, Arnon TI. MHC class I-independent recognition of NK-activating receptor KIR2DS4. J Immunol. 2004; 173(3):1819-1825. Google Scholar
Data Supplements
Figures & Tables
Article Information

This work is licensed under a Creative Commons Attribution-NonCommercial 4.0 International License.