Abstract
One hundred years ago Professor Erik von Willebrand, working at the Deaconess Hospital in Helsinki, Finland, published his landmark paper on hereditary pseudohemophilia (the original paper, in Swedish, was entitled Hereditär pseudohemofili and was published in Finska Läkaresällskapets Handlingar). In 1924, a 5-year-old girl named Hjördis, living in Föglö in the Åland Island archipelago, was brought to Erik von Willebrand’s attention; his investigations of a large family living in the Åland Islands emerged in the 1926 publication in which a new hereditary bleeding disorder, distinct from classic hemophilia, was described. The index case was the ninth of 11 siblings of whom three had already bled to death. Hjördis herself had a history of serious bleeding, including nose bleeds, hematomas, anemia and, also, an ankle bleed. At the age of 14 years, she drastically bled to death during her fourth menstruation. Erik von Willebrand came close with his interpretation of the disorder, but it took several decades until other investigators could fully elucidate the pathophysiology underlying the bleeding diathesis which nowadays is known as von Willebrand disease. The index case had the most severe subtype 3. The structure, function and genetics of the factor named von Willebrand factor have now been revealed and the symptoms, epidemiology and treatment of the disorder thoroughly studied. The pioneering and visionary work of Erik von Willebrand, combining laboratory methods and clinical sharpness, set the stage for improving the lives of numerous people suffering from a generalized bleeding tendency or even life-threatening bleeds due to this most common hereditary bleeding disorder.
Introduction
TITLE Hereditär pseudohämofili.
AUTHOR Erik Adolf von Willebrand.
JOURNAL Finska Läkaresällskapets Handlingar. 1926;LXVII:87-112.
One hundred years ago the Finnish physician Erik Adolf von Willebrand, born in Vasa, Finland, in 1870, published his paper on hereditary pseudohemophilia in Documents of the Finnish Society of Medicine (the original paper, entitled Hereditär pseudohemofili, was written in Swedish).1 The paper was translated into English in 1992 by Professor Peter Wahlberg who served as a physician in Mariehamn, Åland, and published his translation as an Historical Annotation in the Journal Haemophilia.2 The paper by Erik von Willebrand was the first publication of a family of which many of the members had a thus far unrecognized bleeding disorder, which was later named von Willebrand disease (VWD) to acknowledge his contributions.
The index case was a girl called Hjördis, who lived on the island of Föglö, which is one of the Åland Islands. She bled to death during her fourth menstruation at the age of 14 years, 9 years after her first visit to Erik von Willebrand at the Deaconess Hospital in Helsinki (Figure 1). The early history of VWD has been described in several publications and recently reviewed, for example, in the Textbook of von Willebrand Disease, Basic and Clinical Aspects.3 A commemorative article about Erik von Willebrand, written for the 50th anniversary of the World Federation of Hemophilia was co-authored by his great-grandson Otto Lindberg MD, PhD, a geriatrician and colleague.4
Figure 1.Deaconess Hospital in Helsinki today. Hospital is Sairaala in Finnish, and Sjukhus in Swedish. Photograph by Riitta Lassila (Jan uary 4, 2025).
The importance of knowing the origin and history of a disorder cannot be overestimated, neither for the clinician taking care of the patient, nor for the scientist who tries to understand and develop the fundaments of this fascinating disorder which have many implications. In fact, it is extraordinary how much relevant basic information on the disease was available in von Willebrand’s original contribution, including red cells, blood group, platelets, blood flow and vascular wall. The purpose of our current paper is to revisit the original paper by Erik von Willebrand and to make some comments based on 100 years of subsequent unraveling of the disorder.
The landmark paper
Disease definition and previously observed cases
The original paper published in 1926 was entitled “Hereditary pseudohemophilia.1,2 Erik von Willebrand identified clinical features that suggested that the described bleeding disorder was distinct from classic hemophilia and other bleeding disorders known at the time. The signum of classic hemophilia is bleeding into joints, whereas this was rarely seen in the bleeder family from Åland that he described. The pattern of inheritance was different since classic hemophilia is very infrequent in females in contrast to many of the symptomatic “pseudohemophilic” subjects described being women.
The paper starts with a discussion on previously observed cases of hereditary hemorrhagic disease, possibly distinct from classic hemophilia, despite being hereditary. One main characteristic was that the bleeding diathesis was more common in women than in men. This is still true today and the heavy menstrual bleeding which women with VWD suffer from continues to be an underrated problem. This aspect was chosen as the theme for the 2025 World Hemophilia Day and endorsed by both the World Federation of Hemophilia (WFH) and European Hemophilia Consortium (EHC). In addition to his own cases, Erik von Willebrand found 19 other cases in world literature. In his discussion about the previous reports, he seems to conclude that there are cases differing from, at that time, known disorders such as hereditary purpura and hereditary hemorrhagic thrombasthenia.
Whereas the latter entities were considered to have defects in platelet physiology, there seemed to be other rare cases in which novel and broader additional defects in the blood could be present. These hereditary cases were hypothetically considered as a new nosological type, called hereditary pseudohemophilia.
A bleeder family from Åland
The original observations leading to the identification of the new disorder, which is now known as VWD, were made in a family called Family S. In April 1924, a 5-year-old girl named Hjördis S from one of the islands of the Åland archipelago (Föglö) was admitted to the Department of Medicine of Deaconess Hospital (Figure 1) in Helsinki. Erik von Willebrand worked as the Chief physician both in the clinic and laboratory at this hospital, being a benchmark for future colleagues in the fields of thrombosis and hemostasis. Hjördis had a severe hemorrhagic diathesis, and she belonged to a large family of which many members, males as well as females, were bleeders (Figure 2). The disease trait manifested most strongly in Family S, but Erik von Willebrand pointed out that families J and E were also very interesting, especially with regard to the inheritance of the disease. Hjördis was the ninth of 11 children of whom the majority, seven, had experienced bleeding symptoms. Three of her siblings had even bled to death. As already mentioned, Hjördis later also bled to death at the age of 14 during uncontrolled menstruation. This haunting trait of girls reaching the age of their menarche was a terrifying experience in the family and even the current generation strongly feels the pain.
Figure 2.The Åland pedigree, as originally described by Erik von Willebrand in 1926.
The index case, Hjördis, is sibling number 9 in Family S. Figure reproduced, with permission, from Haemophilia. 2013;19(5):643-647.4
Heredity
Among the members of the Åland bleeder family who were described in the paper, 23 were bleeders. The trait was observed in 16 of the 35 women examined, but in only seven of the 31 men. The bleeding diathesis was much more severe in females, of whom five died. The pattern of inheritance was compared with that reported by other investigators of hereditary bleeding disorders distinct from hemophilia. Erik von Willebrand concluded that his cases represented a so-called dominant sex-linked inheritance in which the trait was linked to the X chromosome. Consequently, some females were considered homozygotic with severe symptoms whereas heterozygotic females and males had milder symptoms. The VWD trait is now known to be autosomal in inheritance,5,6 and the Åland family has subsequently undergone further genetic investigations, including molecular genetics7, 8 of von Willebrand factor (VWF) (vide infra).
Severe bleeding history of the index case from childhood
The paper provides a detailed description of Hjördis’s bleeding history. At the age of 1 year she fell and hurt her nose and bled for an unusually long time. At 3 years old, she fell and had a deep cut in her upper lip. She bled again heavily for 3 days and became bloodless and almost unconscious. She had to lie in bed for 10 weeks. Following that, she bled several times, also spontaneously, mostly from her nose and gingivae, and had significant bruising. Once, when she distorted her foot, she had a large bleed into her ankle with intense pain for some weeks.
In the laboratory investigations Erik von Willebrand observed, as the most prominent finding, a markedly prolonged bleeding time according to Duke. After 2 hours bleeding had to be stopped by compression.
Symptoms, signs and course of the disease
The most frequently reported site of bleeding was nasal, and these bleeding episodes occurred in most of the subjects investigated in the pedigree. The bleeds were, however, not considered dangerous nor were they fatal. Genital hemorrhages in women were common, especially in connection with menstruation and delivery. The urinary system and intestine were also reported as frequent sources of bleeding. In fact, intestinal bleeding was the cause of death of two girls, aged 2 and 4 years, belonging to Family S. Other very frequent, and even seemingly spontaneous bleeds were those characterized as ecchymoses and large hematomas of the skin. Gingival bleeding was also a quite common manifestation, and in some cases occurred during chewing, dental care and physiological dentition. Dental extractions were noted to be especially dangerous, which may still be the case without appropriate precautions and replacement therapy in severe forms of VWD. Intestinal bleeds occurred and caused mortality even in young children, as mentioned above. Arthropathy was rarely seen, in fact it is only mentioned that Hjördis had an ankle hematoma after trauma.
Children who started to have bleeding episodes at the age of 1-3 years were haunting the Åland family. Many of the older members have told us that they also had bled heavily during childhood and youth, but not when they grew older, a phenomenon which is recognized even today for some type of bleeds in aging people with type 1 VWD concomitant with increasing VWF levels.9 The five deaths in the Åland family all occurred in female bleeders. The causes of death included uncontrollable bleeding at delivery; profuse bleeding from the mouth, nose, intestines and genitals; two subjects died from intestinal bleeding and the fifth from a cut to the tongue.
Blood findings
Some members of the family had anemia, but no extraordinary findings were reported in the publication. Indeed, Table 1 of the original paper1 listed hemoglobin, as did Juergens, von Willebrand, and Dahlberg10 some years later (Table 2 in their publication10), as the first item to be checked. The white blood cell counts were mostly normal, but in a few cases lymphocytosis together with neutropenia was observed. Platelet counts varied between 32,200 and 150,000x106/L. Notably, the lowest platelet counts were not observed in the gravest cases. The platelet picture showed anisocytosis, speaking in favor of a disturbance in thrombocytogenesis. The Duke bleeding time was substantially prolonged in Hjördis and one of her sisters but in many other cases it was reported as normal. The coagulation time was uniformly normal. Clot retraction was tested only in Hjördis and was normal. Erik von Willebrand also mentions blood group as an item to be examined in VWD, although he does not elaborate on that further, while we now know that blood group O is an additional bleeding enhancer among VWD patients due to increased VWF clearance,11 and leads to shortened half-life of VWF concentrates when given as a replacement therapy.12
The most interesting investigation, capillary thrombometry, developed by Morawitch and Juergens (Figure 3), the latter of whom did field studies on Föglö island with Hjördis’s family, showed a significantly prolonged time for thrombus formation.10,13 In this investigation, blood was exposed to flow conditions, which clearly demonstrated the lack of a hemorheological role of VWF: the missing multimers and deficient unfolding lead to impaired platelet adhesion and aggregation. We still lack blood flow-related methods for investigating this disorder, an issue raised once again in a paper on VWD recently published in Nature Reviews.14
Overall, based on the methods available in 1926, von Wille-brand summarized the pathophysiology of VWD as platelet dysfunction coupled to a vascular defect. At that time VWD had not been named, but the evolution in nomenclature was started in 1957 by Armand Quick, who called the condition Minot-von Willebrand disease, since Minot had described a bleeding disorder with thrombocytopathy but normal platelet counts in 1920. Later, the name VWD was established by two grand women, Inga Marie Nilsson and Margareta Blombäck, who also later did field studies on Föglö with the index family (Family S).
One aspect of platelet adhesion capacity that the paper by von Willebrand overlooks is the interaction of blood with collagen, whereas Dr. Tom Kunicki noted that the platelet collagen receptor status of α2β1 integrin influences the stickiness of platelets and subsequently the bleeding tendency of VWD type 1.15,16 The role of blood flow and, especially, high shear rates together with red blood cells and the viscosity of blood have been emphasized in several studies. Dr. Midori Shima has also recently reported the critical role of VWF in early platelet-mediated growth of a thrombus and bleeding tendency in association with anemia investigated with a new blood flow-associated instrument called a Total Thrombosis System (T-TAS).17,18 The multimerization of VWF, its stimulated secretion by thrombin, histamine, pro-inflammatory molecules and adrenaline, as well as vaso- or desmopressin, are certainly factors that affect the severity of the disease, which all match with the variability noted in the clinical presentation in the original family. The VWF carrier and binding functions of several proteins, including factor VIII (FVIII) and fibrinogen bring yet another dimension to VWD.13
Figure 3.The capillary thrombometer used to study the Åland family. Figure reproduced, with permission, from Haemophilia. 2013;19(5):643-647.4
Diagnosis and differential diagnoses
Early in his paper, Erik von Willebrand pointed out that his cases were different from classic hemophilia not least because of gender distribution and inheritance. In the discussion, he was also able to show that his cases could belong to a completely new nosological group different from anaphylactoid purpura and chronic Morbus Werlhofi. He saw a similarity to Glanzmann thrombasthenia which was considered as a form of Werlhof’s disease and speculated whether his cases represented a hereditary form of this disease.
The dilemma of bleeding disorders without a clearcut diagnosis continues to bother us right up to the present, and differentiating VWD from platelet function disorders, enhanced fibrinolytic potential or even bleeding of unknown causes, remains a diagnostic challenge, which needs further tools.19 Furthermore, combinations of these disorders are likely to affect some patients.
Pathogenesis of the bleeding
In the period in which the Åland family was first investigated, the role of platelets in hemostatic function was dominating and this was thoroughly discussed by Erik von Willebrand. His cases often had normal platelet counts and this was true for the heavy bleeders such as Hjördis and her sister Greta. However, platelets showed “rather considerable morphological changes”. Erik von Willebrand did not go much further and concluded that the hemorrhages could be most easily explained by a disturbed function of the platelets and a general lesion of the capillary walls. How right he was with his instruments which, by today’s standards, could be considered somewhat primitive, albeit innovative (Figure 4), combined with visionary thinking and interpretation.
Commentaries to the Åland family described by Erik von Willebrand based on contemporary knowledge
The landmark paper by Erik von Willebrand demonstrates the importance of close alignment of clinical observations and laboratory findings. This is of the utmost importance for the diagnosis of bleeding disorders and still today dual competence is common among hematologists taking care of a bleeding subject, despite the armamentarium of laboratory check-ups being much more sophisticated and specialized than it was 100 years ago.
Figure 4 shows the methods used to study the bleeder families. These methods, which focused strongly on platelets, were quite blunt and certainly not quality-assured as the procedures are nowadays.
Accordingly, Erik von Willebrand thought he had described a new disorder affecting platelets and the vessel wall. In the 1930s Juergens, together with von Willebrand, reinvestigated the Åland patients and concluded that the disorder was due to an impairment of platelet function, including platelet factor 3 deficiency. The disorder was named Willebrand-Juergens thrombopathy.10,13 However, in these follow-up studies, von Willebrand did not dismiss the concept that blood plasma factors might also be important in the pathogenesis of the disease,3 although the tools to substantiate or reject this were not available at the time.
There were other early reports on patients with features very similar to those of the Åland subjects. In 1928 Dr. Minot from Boston described five patients from two families who might have had VWD.20 Several other reports and investigations had been published but it took until 1953, when the dual defect i.e., prolonged bleeding time and decreased FVIII level secondary to the reduced VWF level, was revealed to be the cause of the bleeding diathesis.21,22 Larrieu and Soulier proposed the name von Willebrand syndrome for the condition,22 27 years after von Willebrand’s detailed description. Yet, even in the presence of normal FVIII levels, such as observed in VWD types 1 and 2, the platelet-VWF interaction should be in focus. While platelets have otherwise normal function, they are influenced by the poor adhesion of VWF via platelet GPIbα and impaired VWF-mediated platelet aggregation via GPIIbIIIa or integrin αIIbβ3 during blood flow. This leads to early fibrinolysis and susceptibility of the platelet plaque to break.
Figure 4.Methods used by Rudolf Juergens and Erik von Will-ebrand to study the bleeder families.10 Table reproduced, with permission, from Haemophilia. 2013;19(5):643-647.4
The role of red blood cells, especially in menstruation, may explain the original suggestion of X-linked inheritance
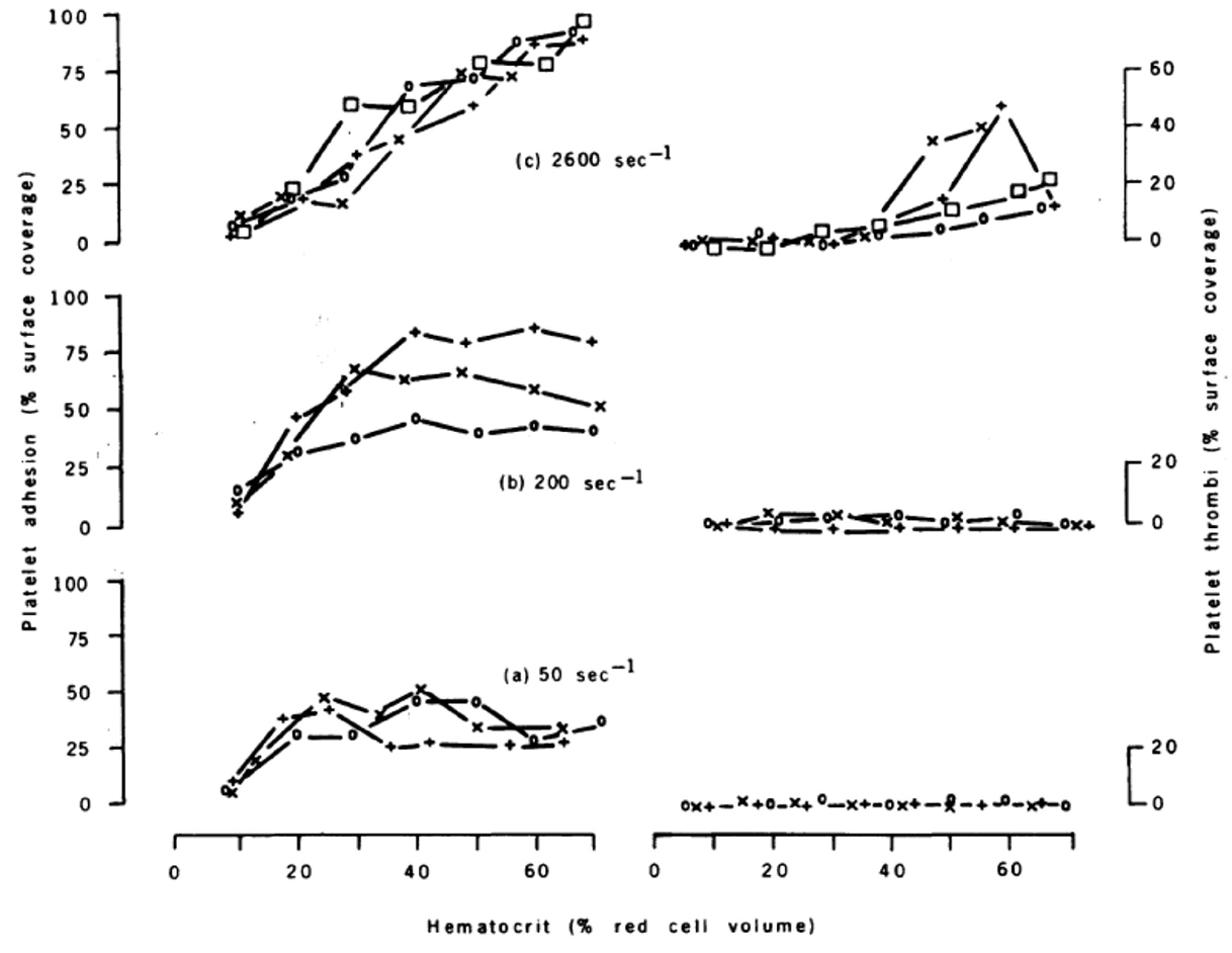
The female preponderance is aligned with the mucocutaneous bleeds associated with VWD, and women are overrepresented in VWD naturally because of the annual bleeding rate of at least 12 due to monthly menstruation. This physiological event easily leads to excessive bleeding and loss of red blood cells in women with VWD. A worsening of the bleeding tendency ensues,, since red blood cells, beyond their several contributions to hemostasis, in small vessels are responsible for the shear rates that are known to foster the role of VWF.24,25 If there are too few red blood cells, if the red cells are small because of iron deficiency and if the hematocrit is below 30%, VWF does not function properly (Figure 5). When either the function of VWF and/or the amount of the protein is low due to VWD, the vicious circle with iron deficiency anemia and heavy menstrual bleeds is strong, unless local measures and the proactive management of the iron deficiency are implemented. It is intriguing that in his original contribution, Erik von Willebrand listed the determination of hemoglobin as the first investigation to perform (Figure 4).
Progestin-containing intrauterine devices have been very helpful in the management of these heavy menstrual bleeds, which actually killed Hjördis. Estrogen-containing pills will also serve the same purpose. When a woman with VWD wants to become pregnant, correction and proactive management of hemoglobin levels are of paramount importance to support VWF during the pregnancy and any interventions. Patients with VWD or any bleeding propensity should not be left anemic either during delivery or the postpartum period, including after discharge from hospital. In the case of anemia, the loop of re-bleeding will bring the mother back to hospital.
Development of the management of patients with von Willebrand disease
The symptoms reported among the studied family members were in accordance with later reports on VWD, but efficient treatment was not available. Mucous membrane bleeds were especially frequent, and some subjects had severe bleeding which even led to death, especially in Family S. As stated above, menorrhagia was frequent and gastro-intestinal bleeds serious. The bleeding spectrum reported by Erik von Willebrand is typical of what was seen in later and larger demographic studies on VWD.14 The aggravating role of anemia (vide supra) was probably one additional explanation for the sinister outcome in the Åland family as possibilities to detect and treat iron deficiency were not nearly as well developed as they are today. It is important to recall that the treatment armamentarium for bleeding disorders was essentially non-existent, consisting mainly of whole blood transfusions when the situation was sinister. No specific treatment for VWD was available, since the pathogenesis of the disorder was unknown and the replacement of factors was not a possibility.
Figure 5.Effects of hematocrit on platelet adhesion and thrombus formation. Note that at the highest shear rate (2600 sec-1), prevailing in small arteries and the microcirculation, a platelet-platelet von Willebrand factor-dependent interaction, i.e. platelet thrombi, will only start to be detected when the hematocrit exceeds 30%. At the same time, under the lower blood flow conditions prevailing in the aorta or veins, platelet adhesion stabilizes at around a hematocrit of 30% while platelet thrombi are not formed at all. Figure reproduced, with permission, from Science. 1980;207(4430):541-543.
Not until the 1950s, was it demonstrated that fibrinogen purified from the Cohn fraction I-0 of human plasma was heavily contaminated with an antihemophilic factor, namely factor VIII.26 Around that time, Inga Marie Nilsson in Malmö, who collaborated with Margareta and Birger Blombäck working at the Karolinska Institute in Stockholm, had a patient with a very severe hemorrhagic diathesis. The patient had a prolonged coagulation time and bleeding time but grossly normal platelet function. At menarche, her condition worsened and because of serious side effects of blood transfusions a hysterectomy was planned. As fraction I-0 contained large amounts of FVIII, it was used to cover the surgery. To the surprise of the physician not only did the FVIII level increase, but the bleeding time also normalized.27 The procedure was performed successfully.
This was, in fact, the first demonstration that a lack of a specific, then unknown factor in plasma was responsible for VWD. This patient had type 3 VWD.
Development of products specifically for replacement therapy of VWD came long after the development of treatment for hemophilia. Cryoprecipitate became available in the 1960s28 and was used for the treatment of both hemophilia and VWD. Like fraction I-O, the product was crude and large volumes had to be infused to reach reasonable factor levels, which complicated the possibility of home treatment. However, this remedy set the stage both for contemporary help and for future development. Both these products were used for several decades until virus-attenuated and more purified concentrates containing FVIII and VWF, or preferentially VWF, became the mainstay of treatment.29 More recently a recombinant product has also become available.30 Needless to say, the concept of replacement therapy has changed dramatically not only for hemophilia but also for VWD. However, the prophylactic use of VWF on a regular basis – weekly for gastrointestinal and joint bleeds among other bleeds with serious consequences, or at least monthly in women with heavy menstrual bleeds – is still an underutilized option.
Reinvestigations of the Åland family
Some individuals belonging to the Åland family were reinvestigated during the 1950s and subsequently by groups from Sweden, Germany and Finland.31-33 It could be concluded that the disorder described by Erik von Willebrand was VWD, with the hallmarks of reduced levels of FVIII and VWF and prolonged bleeding time due to impaired interactions of VWF with the vascular wall and platelets.34 The response to infusion with fraction I-0 was as expected from the experience with the patient described above.33 The same disease had been described by several other authors in Europe and the USA.35 In the 1990s the molecular characteristics of the VWF gene in the Åland family were described.7, 8 Zhang and collaborators investigated the DNA sequence of 24 patients with type 3 VWD living in Sweden and found a cytosine deletion in exon 18 in most patients of Swedish origin and an insertion in exon 28 in those of Finnish origin.36 Most subjects with type 3 VWD were homozygous or double heterozygous for the mutations whereas those with type 1 were heterozygous. The same research group also had the opportunity to investigate survivors from Family S, and they were found to have the cytosine deletion in exon 18. As the Åland population is considered to have originated from Sweden, this molecular finding was in accordance with the investigation of patients in Sweden. A small boy from Åland with severe VWD not related to Family S was also found to be homozygous for the exon 18 mutation.
Recent scientific visits to the Åland Islands
The legacy of Erik von Willebrand’s studies on the bleeder families on Åland is still strong. In fact, he never visited Åland during his investigations. Hjördis was brought to him in Helsinki and the subsequent field work in Föglö was carried out by his co-workers according to his proposals. As outlined above, several reinvestigations were performed on site during field studies and more recently educational scientific visits have been organized. These conferences have been attended by numerous physicians from more than 20 countries around the world. Among the seven of these conferences, one was held in 2016,37 90 years after the 1926 publication, and another in 2024, 100 years after Hjördis’s first appointment at the Deaconess Hospital in Helsinki. The house in which Hjördis grew up during her short life is still the property of the family (Figure 6); visiting it and the graveyard where Hjördis and other family members are buried were highlights of the meetings. The next pending meeting will be to celebrate 100 years of the landmark paper, an event to be organized in 2026.
Figure 6.The house in which Hjördis lived during her short life is still the property of her ancestors. Photograph by Riitta Lassila (September 27, 2024).
Concluding remarks
The observations made by Erik von Willebrand about 100 years ago initiated the understanding of the most common inherited bleeding disorder we know today. The pathophysiology and epidemiology of VWD have been explored. “If you do not know you will not see” is a saying very applicable to a disorder affecting so many people and which can probably be illustrated as an iceberg. Severe cases are few and easily come to attention, but mild cases are not always recognized.38 We now better understand why some people bleed more than others and may develop anemia, which affects quality of life and worsens the course of the disease. VWD is, to large extent, a female disorder for natural reasons, and the first steps taken 100 years ago created the basis to understand and help so many women with heavy menses. The genetics and contributors of VWD, lack or deficiency of VWF and even its non-hemostatic role have gained much scientific interest, and have been clarified decades after the first examination of the index case in 1924. Despite this evolution, much remains to be done clinically on multidisciplinary fronts. The disorder is still rather unknown among physicians, healthcare workers and society. Patients are still not diagnosed and therefore suffer. There is an obvious need for more education, with even greater collaboration between patient organizations, healthcare providers, and society. The important roles of VWF in thrombosis and hemostasis are becoming elucidated and new avenues, such as the contribution in angiogenesis and beyond hemostasis,39 are being explored.
Footnotes
Correspondence
Disclosures
No conflicts of interest to disclose.
Contributions
EB and RL contributed equally to the preparation and writing of this manuscript.
References
- von Willebrand EA. Hereditär pseudohämofili. Fin Läkaresällsk Handl. 1926; LXVII:87-112. Google Scholar
- von Willebrand EA. Hereditary pseudohemophilia. Haemophilia. 1999; 5(3):223-231. https://doi.org/10.1046/j.1365-2516.1999.00302.xPubMedGoogle Scholar
- Berntorp EE, Blombäck M. Historical perspective on von Willebrand disease. 2024;1-5. https://doi.org/10.1002/9781119419525.ch1Google Scholar
- Lassila R, Lindberg O. Erik von Willebrand. Haemophilia. 2013; 19(5):643-647. https://doi.org/10.1111/hae.12243PubMedGoogle Scholar
- Sadler JE, Mannucci PM, Berntorp E. Impact, diagnosis and treatment of von Willebrand disease. Thromb Haemost. 2000; 84(2):160-174. https://doi.org/10.1055/s-0037-1613992Google Scholar
- Goodeve AC. The genetic basis of von Willebrand disease. Blood Rev. 2010; 24(3):123-134. https://doi.org/10.1016/j.blre.2010.03.003PubMedGoogle Scholar
- Zhang ZP, Blomback M, Egberg N, Falk G, Anvret M. Characterization of the von Willebrand factor gene (VWF) in von Willebrand disease type III patients from 24 families of Swedish and Finnish origin. Genomics. 1994; 21(1):188-193. https://doi.org/10.1006/geno.1994.1241PubMedGoogle Scholar
- Zhang ZP, Blomback M, Nyman D, Anvret M. Mutations of von Willebrand factor gene in families with von Willebrand disease in the Aland Islands. Proc Natl Acad Sci U S A. 1993; 90(17):7937-7940. https://doi.org/10.1073/pnas.90.17.7937PubMedPubMed CentralGoogle Scholar
- Sanders YV, Giezenaar MA, Laros-van Gorkom BA. von Willebrand disease and aging: an evolving phenotype. J Thromb Haemost. 2014; 12(7):1066-1075. https://doi.org/10.1111/jth.12586PubMedGoogle Scholar
- von Willebrand EA, Jurgens R, Dahlberg U. Konstitutionell trombopati, en ny ärftlig blödarsjukdom. Fin Läkaresällsk Handl. 1934; LXXVI:193-232. Google Scholar
- Gallinaro L, Cattini MG, Sztukowska M. A shorter von Willebrand factor survival in O blood group subjects explains how ABO determinants influence plasma von Willebrand factor. Blood. 2008; 111(7):3540-3545. https://doi.org/10.1182/blood-2007-11-122945PubMedGoogle Scholar
- Fischer K, Pendu R, van Schooten CJ. Models for prediction of factor VIII half-life in severe haemophiliacs: distinct approaches for blood group O and non-O patients. PLoS One. 2009; 4(8):e6745. https://doi.org/10.1371/journal.pone.0006745PubMedPubMed CentralGoogle Scholar
- von Willebrand E, Jurgens R. Uber eine neues vererbbares Blutungsubel: die konstitutionelleThrombopathie. Dtsc Arch Klin Med. 1933; 175:453-483. Google Scholar
- Seidizadeh O, Eikenboom JCJ, Denis CV. von Willebrand disease. Nat Rev Dis Primers. 2024; 10(1):51. https://doi.org/10.1038/s41572-024-00536-8PubMedGoogle Scholar
- Di Paola J, Federici AB, Mannucci PM. Low platelet alpha2beta1 levels in type I von Willebrand disease correlate with impaired platelet function in a high shear stress system. Blood. 1999; 93(11):3578-3582. https://doi.org/10.1182/blood.V93.11.3578Google Scholar
- Kunicki TJ, Baronciani L, Canciani MT. An association of candidate gene haplotypes and bleeding severity in von Willebrand disease type 2A, 2B, and 2M pedigrees. J Thromb Haemost. 2006; 4(1):137-147. https://doi.org/10.1111/j.1538-7836.2005.01675.xPubMedGoogle Scholar
- Nogami K, Ogiwara K, Yada K. Assessing the clinical severity of type 1 von Willebrand disease patients with a microchip flow-chamber system. J Thromb Haemost. 2016; 14(4):667-674. https://doi.org/10.1111/jth.13273PubMedGoogle Scholar
- Yaoi H, Shida Y, Ogiwara K, Hosokawa K, Shima M, Nogami K. Role of red blood cells in the anemia-associated bleeding under high shear conditions. Haemophilia. 2017; 23(5):750-758. https://doi.org/10.1111/hae.13252PubMedGoogle Scholar
- Mezzano D, Quiroga T. Diagnostic challenges of inherited mild bleeding disorders: a bait for poorly explored clinical and basic research. J Thromb Haemost. 2019; 17(2):257-270. https://doi.org/10.1111/jth.14363PubMedGoogle Scholar
- Minot G. A familia hemorrhagic condition associated with prolongation of bleeding time. Am J Med Sci. 1928; 175:301. https://doi.org/10.1097/00000441-192803000-00001Google Scholar
- Alexander B, Goldstein R. Dual hemostatic defect in pseudohemophilia. J Clin Invest. 1953; 32:551. Google Scholar
- Larrieu M-J, Soulier J-P. Deficit en facteur antihémophilique A, chez une fille associé à un trouble du saignement. Rev Hematol. 1953; 8:361-370. Google Scholar
- Szanto T, Joutsi-Korhonen L, Deckmyn H, Lassila R. New insights into von Willebrand disease and platelet function. Semin Thromb Hemost. 2012; 38(1):55-63. https://doi.org/10.1055/s-0031-1300952PubMedGoogle Scholar
- Ruggeri ZM. The role of von Willebrand factor in thrombus formation. Thromb Res. 2007; 120(Suppl 1):S5-9. https://doi.org/10.1016/j.thromres.2007.03.011PubMedPubMed CentralGoogle Scholar
- Turitto VT, Weiss HJ. Red blood cells: their dual role in thrombus formation. Science. 1980; 207(4430):541-543. https://doi.org/10.1126/science.7352265PubMedGoogle Scholar
- Blombäck B, Blombäck M. Purification of human and bovine fibrinogen. Ark Kemi. 1956; 10:415-443. https://doi.org/10.3891/acta.chem.scand.10-0147Google Scholar
- Nilsson I, Blombäck M, Blombäck B, Svennerud S. Kvinnlig hämofili och dess behandling med humant anti-hämofiliglobulin. Nord Med. 1956; 56:1654-1662. Google Scholar
- Pool JG. Cryoprecipitate in the treatment of hemophilia. Calif Med. 1970; 113(2):66-67. Google Scholar
- Escuriola Ettingshausen C, Lassila R, Escolar G. Plasma-derived von Willebrand factor/factor VIII concentrate (Haemate P) in von Willebrand disease: a systematic review and pharmacovigilance update. Hemophilia. 2025; 31(2):247-262. https://doi.org/10.1111/hae.15138PubMedPubMed CentralGoogle Scholar
- Franchini M, Mannucci PM. Von Willebrand factor (Vonvendi(R)): the first recombinant product licensed for the treatment of von Willebrand disease. Expert Rev Hematol. 2016; 9(9):825-830. https://doi.org/10.1080/17474086.2016.1214070PubMedGoogle Scholar
- Nyman D, Eriksson AW, Blomback M, Frants RR, Wahlberg P. Recent investigations of the first bleeder family in Aland (Finland) described by von Willebrand. Thromb Haemost. 1981; 45(1):73-76. https://doi.org/10.1055/s-0038-1650132Google Scholar
- Jurgens R, Lehmann W, Wegelius O, Eriksson A, Hiepler E. Mitteilung uber den Mangel an antihämophilem Globulin (Faktor VIII) bei der Aaländisshen Thrombopatitie (von Willebrand-Jurgens). Thromb Diath Haemorrh. 1957; 1:257-260. https://doi.org/10.1055/s-0038-1656176Google Scholar
- Nilsson I, Blombäck M, Jorpes E, Blombäck B, Johansson SA. Von Willebrand´s disease and its correction with human fraction I-0. Acta Med Scand. 1957; 159(3):179-188. https://doi.org/10.1111/j.0954-6820.1957.tb00123.xPubMedGoogle Scholar
- Szanto T, Nummi V, Jouppila A, Brinkman HJM, Lassila R. Platelets compensate for poor thrombin generation in type 3 von Willebrand disease. Platelets. 2020; 31(1):103-111. https://doi.org/10.1080/09537104.2019.1581922PubMedGoogle Scholar
- Nilsson I, Holmberg L. Von Willebrand’s disease today. Clin Haematol. 1979; 8:147-168. https://doi.org/10.1016/S0308-2261(21)00067-9Google Scholar
- Jokela V, Lassila R, Szanto T. Phenotypic and genotypic characterization of 10 Finnish patients with von Willebrand disease type 3: discovery of two main mutations. Hemophilia. 2013; 19(6):e344-348. https://doi.org/10.1111/hae.12225PubMedGoogle Scholar
- Berntorp E, Agren A, Aledort L. Fifth Aland Island conference on von Willebrand disease. Hemophilia. 2018; 24(Suppl 4):5-19. https://doi.org/10.1111/hae.13475PubMedGoogle Scholar
- Rodeghiero F, Pabinger I, Ragni M. Fundamentals for a systematic approach to mild and moderate inherited bleeding disorders: an EHA Consensus Report. Hemasphere. 2019; 3(4):e286. https://doi.org/10.1097/HS9.0000000000000286PubMedPubMed CentralGoogle Scholar
- Atiq F, O’Donnell JS. Novel functions for von Willebrand factor. Blood. 2024; 144(12):1247-1256. https://doi.org/10.1182/blood.2023021915PubMedPubMed CentralGoogle Scholar
Figures & Tables
Article Information

This work is licensed under a Creative Commons Attribution-NonCommercial 4.0 International License.