Macrofocal multiple myeloma (MFMM) is a rare subtype of multiple myeloma (MM). The limited data available from rare series indicate that MFMM occurs in younger patients, with a low tumor burden and favorable survival.1-6 However, given the scarcity of patients, the definition of MFMM has not been standardized internationally, and there is a lack of information at a molecular level.
Two definitions are currently used: Definition 1 from the International Myeloma Working Group: bone marrow plasma cells (BMPC) <10%, with multiple lytic lesions/plasmacy-tomas;7 Definition 2 from the Greco-Israeli Cooperative Myeloma Working Group: BMPC <20%, with multiple lytic lesions/plasmacytomas and absence of anemia, renal insufficiency, or hypercalcemia.3 It is unclear which is more representative. We, therefore, screened 1,640 MM patients from Shanghai Changzheng Hospital (January 2013 to September 2023), identifying 95 cases meeting Definition 1 and 130 satisfying Definition 2. Following approval from the Ethical Committee of Shanghai Changzheng Hospital, all subjects provided written informed consent consistent with the Helsinki Declaration. All patients received novel agents. Based on their first-line induction regimens, patients were categorized into four groups: the immunomodulatory drug (IMiD)-based group, the proteasome inhibitor (PI)-based group, the combination of IMiD and PI-based group, and the daratumumab-based group. Patients undergoing peripheral blood stem cell transplantation (PBSCT) were given four to six cycles of induction therapy. Those with standard-risk cytogenetics received IMiD-based maintenance therapy, while high-risk patients, defined by the presence of del(17p), t(4;14), or t(14;16), received both a PI and an IMiD. Daratumumab was continued as maintenance therapy if used during induction.
Progression-free survival and overall survival were comparable between the Definition 1 and Definition 2 cohorts (Online Supplementary Figure S1A, B), although patients meeting Definition 1 showed a trend toward better progression-free survival (Definition 1 vs. Definition 2: 78.6 (95% confidence interval [95% CI]: 50.5-106.6) months vs. 64.6 (95% CI: 49.9-79.3) months, P=0.239). No statistically significant differences were observed between the Definition 1 and Definition 2 cohorts regarding induction treatment regimens (P=0.95) and PBSCT rates (33.7% vs. 32.3%, P=0.828). It is noteworthy that among patients meeting Definition 2, those with BMPC <10% (N=83) had a longer progression-free survival than those with BMPC ≥10% but <20% (N=47) (78.6 [95% CI: 54.5-102.7] months vs. 45.8 [95% CI: 21.7-69.9] months; P=0.001) (Online Supplementary Figure S1C), whereas overall survival remained similar (Online Supplementary Figure S1D). No statistically significant differences were noted in induction treatment regimens (P=0.611) and PBSCT rates (33.7%% vs. 29.8%, P=0.644) between the two groups. These results support Definition 1 as more prognostically distinct and clinically representative.
To assess the clinical and laboratory features and survival outcomes in MFMM, we next compared 95 MFMM (Definition 1) to 190 MM controls (1:2 ratio) during the same period. The baseline characteristics of the MFMM patients are shown in Table 1. MFMM patients were younger (median: 58 years [range, 35-77] vs. 63 years [range, 28-85]; P=0.009), with elevated platelet counts (median: 197 vs. 171.5×109/L, P<0.001) and albumin levels (median: 37.9 vs. 35 g/L, P<0.001), but lower monoclonal protein (M-protein) levels (median: 2.47 vs. 19.2 g/L, P<0.001), involved serum free light chains (median: 94.84 vs. 856.34 mg/L, P<0.001), urinary light chains (median: 18.71 vs. 326 mg/L, P<0.001), and β2-microglobulin levels (median: 2.17 vs. 4.31 mg/L, P<0.001). Abnormal lactate dehydrogenase concentration (13.7% vs. 27.9%, P=0.006), serum creatinine ≥177 μmol/L (1.1% vs. 17.4%, P<0.001), hemoglobin ≤100 g/L (11.6% vs. 64.7%, P<0.001) and serum calcium >2.65 mmol/L (1.1% vs. 16.8%, P<0.001) were less prevalent among MFMM patients. Cytogenetically, information from fluorescence in situ hybridization was available for 80/95 (84.2%) MFMM patients and 184/190 (96.8%) patients with typical MM. Notably, 1q21 gains (37.9% vs. 61.1%, P=0.006), t(11;14) (3.2% vs. 14.2%, P=0.01), high-risk cytogenetic abnormalities (44.2% vs. 68.4%, P=0.004) and ‘double-hit’ abnormalities (3.2% vs. 11.6%, P=0.033) were less common in MFMM patients. It was also notable that 82.1% of MFMM patients exhibited extramedullary multiple myeloma, which far exceeds the frequency in patients with typical MM (37.4%, P<0.001). Additionally, more MFMM patients harbored multiple lytic lesions (≥5 sites) (83.2% vs. 60%, P<0.001). Among the MFMM patients there were also fewer advanced-stage cases, which was evident from the percentages of patients with International Staging System (lSS) stage III disease (2.1% vs. 36.3%, P<0.001), Revised ISS stage III disease (2.1% vs. 20.0%, P<0.001), and stage III/IV disease according to the second revision of the ISS (21.1% vs. 68.4%, P<0.001).
As presented in Table 1, no statistically significant difference was found in induction treatment regimens between the MFMM and control cohorts. The median follow-up time of the whole cohort was 59.6 (95% CI: 50-69.1) months, and the MFMM patients had significantly superior outcomes compared to the patients with typical MM: median progression-free survival of 78.6 (95% CI: 50.5-106.6) months vs. 28.6 (22.1-35) months (P<0.001), and overall survival not reached (NR) (95% CI: NR-NR) vs. 69.9 (95% CI: 45-94.8) months (P<0.001) (Online Supplementary Figure S2I, J), respectively. Simultaneously, PBSCT was more common in MFMM patients (33.7% vs. 22.1%, P=0.036) who were younger at disease onset (Table 1). However, subgroup analysis confirmed that the survival advantage in MFMM was independent of age and transplant status (Online Supplementary Figure S2A-H).
Table 1.Baseline characteristics of patients with multifocal multiple myeloma (MFMM) or typical multiple myeloma (MM).
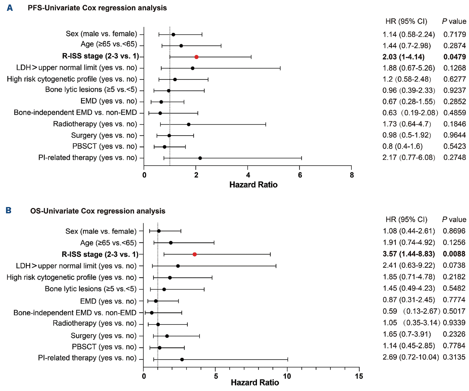
Univariate Cox regression was performed to identify prognostic factors in MFMM patients. After adjusting for Revised ISS stage, MFMM was identified as a significant predictor of both inferior progression-free survival (hazard ratio [HR]=2.03; 95% CI: 1-4.14; P=0.0479) (Figure 1A) and overall survival (HR=3.57; 95% CI: 1.44-8.83; P=0.0088) (Figure 1B). Interestingly, MFMM patients with and without bone-independent extramedullary myeloma showed comparable progression-free and overall survival rates (Figure 1A, B). Notably, those with bone-independent extramedullary myeloma had longer progression-free survival (61.1 [95% CI: 0-129.7] months vs. 6.7 [95% CI: 2.3-11.1] months; P=0.008) and overall survival (NR [95% CI: NR-NR] vs. 27.2 [95% CI: 0-57.1] months; P=0.011) than patients with typical MM (Online Supplementary Figure S2K, L), suggesting a distinct biological mechanism deserving further study. Although no significant differences were observed in induction treatment regimens (P=1) and PBSCT rates (27%% vs. 20%, P=1) between the two groups, MFMM patients still demonstrated superior survival outcomes, indicating treatment-independent survival advantages.
An interesting question is whether the hallmark of MFMM – BMPC <10% – persists upon progression. In this study, 12.6% patients had a prior diagnosis of solitary bone plasmacytoma before developing MFMM, and 36 out of 95 (37.9%) MFMM patients experienced disease progression. Specifically, 11 (30.6%) patients developed new lytic lesions, 23 (63.9%) exhibited increased tumor burden (including elevated serum free light chain or M-protein levels), and 13 (36.1%) presented with new plasmacytomas. However, only eight out of 36 patients who progressed (22.2%) advanced to typical MM, which is defined by having BMPC >10%. This suggests that MFMM follows a relatively indolent growth pattern and may evolve via a metastatic pattern rather than intramedullary expansion.8
To investigate molecular underpinnings, whole-exome sequencing was performed on nine bone marrow samples from nine MFMM patients (baseline characteristics in Online Supplementary Table S1) meeting Definition 1 and four matched normal peripheral blood samples (Figure 2A). For comparison, 50 typical MM samples with corresponding peripheral blood samples were included. CD138 magnetic beads were used to sort bone marrow MM cells, and cellular DNA from normal peripheral blood samples was studied. We identified three mutational signatures in nine patients with MFMM (Figure 2B), including SBSA and SBSB, which closely resembled COSMIC v2 Signature 1 (cosine similarities: 0.74 and 0.79). This signature is an age-related mutational signature, primarily caused by spontaneous deamination of 5-methylcytosine.9 Additionally, we identified a novel signature, Signature 6-like, which strongly matched COSMIC v2 Signature 6 (cosine similarity: 0.82). This mutational signature is caused by defective DNA mismatch repair. Initially, we examined the distribution of the 67 previously reported MM driver genes10-12 in MFMM (N=9) and found that the vast majority of these genes (62/67) were absent in MFMM, suggesting that this group may have a unique mutational gene profile (Online Supplementary Figure S3A). We then proceeded to identify highly mutated genes in MFMM and identified eight gene mutations occurring at a frequency of 10% or greater (Figure 2C). To pinpoint the specific mutated genes within this group, we further investigated the mutation frequency of the aforementioned eight genes in patients with typical MM (N=50) and found that three genes were also present in this cohort. The other five genes, ANK-RD26, CDHR1, PNMA3, CENPO, and UBR5, were exclusive to MFMM (Figure 2C, Online Supplementary Figure S3B), with specific mutations detailed in Online Supplementary Table S1. The ANKRD26 mutation has been linked to hematologic malignancies, including MM.13 CENPO is abnormally overex-pressed in a variety of malignancies.14 UBR5 mutations are associated with mantle cell lymphoma.15
Figure 1.Factors impacting progression-free survival or overall survival in macrofocal multiple myeloma. (A) Forest plot showing the factors impacting progression-free survival according to univariate Cox regression analysis. (B) Forest plot showing the factors impacting overall survival according to univariate Cox regression analysis. PFS: progression-free survival; HR: hazard ratios; CI: confidence interval; R-ISS: Revised International Staging System; LDH: lactate dehydrogenase; EMD: extramedullary multiple myeloma; PBSCT: peripheral blood stem cell transplantation; PI: proteasome inhibitor; OS: overall survival.
Figure 2.Genomic characteristics of macrofocal multiple myeloma. (A) Schematic workflow of the whole-exome sequencing strategy for the nine bone marrow samples and four matched peripheral blood samples. (B) Mutational signature identified in patients with macro-focal multiple myeloma (MFMM, N=9). A novel signature termed ‘Signature 6-like’ was identified. (C) Waterfall chart of gene mutations in MFMM patients. All genes are mutated at a high frequency (>10%). The five genes in bold are unique to MFMM patients, and are absent in patients with typical multiple myeloma. Figure 5A was created with BioRender.com. BM: bone marrow; TMB: tumor mutational burden.
The limitations of this study include its single-center, retrospective design, which may result in potential selection bias and incomplete data. In addition, the modest sample size may impact the generalizability of our findings.
In conclusion, our 12-year retrospective analysis not only corroborates the existing research but also deepens our understanding of MFMM as a distinct entity within MM, with clear diagnostic criteria, indolent clonal behavior (evidenced by post-relapse diagnostic persistence), and unique metastatic progression patterns. These findings support developing MFMM-specific management strategies and warrant further molecular investigation.
Footnotes
- Received June 23, 2025
- Accepted October 17, 2025
Correspondence
Disclosures
No conflicts of interest to disclose.
Contributions
Funding
This work was supported by the National Natural Science Foundation of China (82370206, 82170198), 2024 Shanghai Talents Plan, and leading talents in Huangpu District.
Acknowledgments
We thank Professor Shaji K. Kumar from the Mayo Clinic for his valuable comments.
References
- Dimopoulos MA, Pouli A, Anagnostopoulos A. Macrofocal multiple myeloma in young patients: a distinct entity with favorable prognosis. Leuk Lymphoma. 2006; 47(8):1553-1556. https://doi.org/10.1080/10428190600647723Google Scholar
- Goranova-Marinova V, Yaneva M, Deneva T, Goranov S, Muzina Misic D. Multiple myeloma with advanced bone disease and low tumor burden - different clinical presentation but similar outcome after bortezomib-based therapy and radiotherapy. Acta Clin Croat. 2017; 56(2):262-269. https://doi.org/10.20471/acc.2017.56.02.09Google Scholar
- Katodritou E, Kastritis E, Gatt M. Real-world data on incidence, clinical characteristics and outcome of patients with macrofocal multiple myeloma (MFMM) in the era of novel therapies: a study of the Greco-Israeli Collaborative Myeloma Working Group. Am J Hematol. 2020; 95(5):465-471. https://doi.org/10.1002/ajh.25755Google Scholar
- Yan WW, Fan HS, Xu JY. [Clinical characteristics and prognosis of 46 patients with macrofocal multiple myeloma]. Zhonghua Nei Ke Za Zhi. 2022; 61(7):801-805. Google Scholar
- Hewell GM, Alexanian R. Multiple myeloma in young persons. Ann Intern Med. 1976; 84(4):441-443. https://doi.org/10.7326/0003-4819-84-4-441Google Scholar
- Blade J, Kyle RA, Greipp PR. Multiple myeloma in patients younger than 30 years. Report of 10 cases and review of the literature. Arch Intern Med. 1996; 156(13):1463-1468. https://doi.org/10.1001/archinte.1996.00440120125014Google Scholar
- Rajkumar SV, Dimopoulos MA, Palumbo A. International Myeloma Working Group updated criteria for the diagnosis of multiple myeloma. Lancet Oncol. 2014; 15(12):e538-e548. https://doi.org/10.1016/S1470-2045(14)70442-5Google Scholar
- Ghobrial IM. Myeloma as a model for the process of metastasis: implications for therapy. Blood. 2012; 120(1):20-30. https://doi.org/10.1182/blood-2012-01-379024Google Scholar
- Alexandrov LB, Nik-Zainal S, Wedge DC. Signatures of mutational processes in human cancer. Nature. 2013; 500(7463):415-421. https://doi.org/10.1038/nature12477Google Scholar
- Chapman MA, Lawrence MS, Keats JJ. Initial genome sequencing and analysis of multiple myeloma. Nature. 2011; 471(7339):467-472. https://doi.org/10.1038/nature09837Google Scholar
- Lohr JG, Stojanov P, Carter SL. Widespread genetic heterogeneity in multiple myeloma: implications for targeted therapy. Cancer Cell. 2014; 25(1):91-101. https://doi.org/10.1016/j.ccr.2013.12.015Google Scholar
- Walker BA, Mavrommatis K, Wardell CP. Identification of novel mutational drivers reveals oncogene dependencies in multiple myeloma. Blood. 2018; 132(6):587-597. https://doi.org/10.1182/blood-2018-03-840132Google Scholar
- Husnain M, Wang T, Valdes M, Hoffman J, Lekakis L. Multiple myeloma in a patient with ANKRD26-related thrombocytopenia successfully treated with combination therapy and autologous stem cell transplant. Case Rep Hematol. 2019; 2019:9357572. https://doi.org/10.1155/2019/9357572Google Scholar
- Shi T, Hu Z, Tian L, Yang Y. Pan-cancer landscape of CENPO and its underlying mechanism in LUAD. Respir Res. 2023; 24(1):113. https://doi.org/10.1186/s12931-023-02408-3Google Scholar
- Meissner B, Kridel R, Lim RS. The E3 ubiquitin ligase UBR5 is recurrently mutated in mantle cell lymphoma. Blood. 2013; 121(16):3161-3164. https://doi.org/10.1182/blood-2013-01-478834Google Scholar
Data Supplements
Figures & Tables
Article Information

This work is licensed under a Creative Commons Attribution-NonCommercial 4.0 International License.