Sickle cell disease (SCD) is an invalidating hereditary red cell disorder distributed worldwide. It is characterized by the synthesis of the pathological hemoglobin S (HbS) and its main clinical manifestations are chronic hemolysis and acute vaso-occlusive crises (VOC). These crises are the main cause of hospitalization for young adults with SCD. Up to now the standard of care for acute VOC has been based on intravenous fluid hydration, analgesia, and red cell transfusion as either simple transfusion or manual/ automatized exchange.
Acute VOC in special circumstances, such as in Jehovah’s Witnesses with SCD, is one of the most challenging experiences that hematologists/internal medicine doctors and Emergency Department physicians might encounter. Jehovah’s Witnesses refuse blood transfusion on religious grounds, but they might accept fractions of plasma or blood substitutes. Indeed, recent changes in the policy of the Jehovah’s Witness community have led to plasma components, such as immunoglobulins, being considered acceptable.1,2 Since blood transfusion is a cornerstone in the treatment of acute severe sickle cell-related events, alternative therapeutic strategies might be adopted to manage acute SCD-related events before they become life-threatening conditions. Up to now, the treatment of severe VOC in Jehovah’s Witnesses with SCD has been based mainly on supportive measures (e.g., erythropoietin, folate supplementation, hypothermia, pharmacological coma) and/ or infusion of blood substitutes (e.g., hemoglobin-based oxygen carriers such as HBOC-201).3-5
Here, we report the cases of two Jehovah’s Witnesses with SCD admitted to our department for acute chest syndrome (ACS). This study was conducted in accordance with the Declaration of Helsinki, under ethical committee approval (FGFRITA13). The patients’ characteristics and biochemistry findings are shown in Table 1.
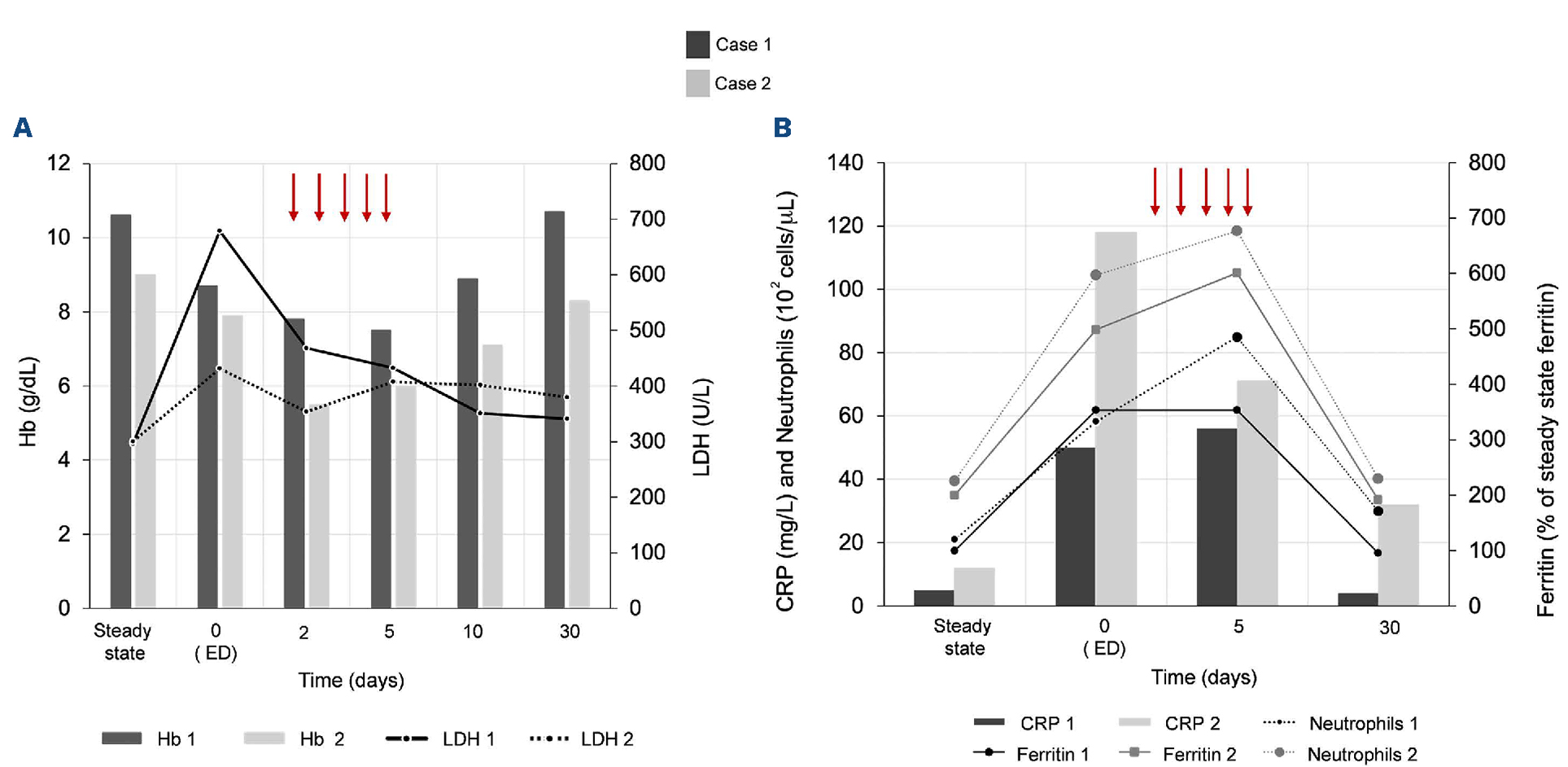
Patient 1. A 46-year-old female with Sβ0 SCD was admitted to the Emergency Department because of chest and back pain associated with a positive chest X-ray for a new pulmonary infiltrate and reduced peripheral saturation (SpO2: 88%). The complete cell count showed anemia with a hemoglobin concentration of 8.7 g/dL, leukocytosis (white blood cell count, 15x109/L), a marked increase in neutrophils, and thrombocytosis (platelet count, 468x109/L) associated with increased markers of hemolysis (lactate dehydrogenase, 679 U/L; total bilirubin, 1.5 mg/dL) and of acute-phase proteins (Figure 1).
Patient 2. An 18-year-old female with SS SCD was admitted because of respiratory failure and chest pain with the appearance of a new pulmonary infiltrate on a chest X-ray and reduced peripheral saturation (SpO2: 82%). The complete blood count showed anemia with a hemoglobin of 7.9 g/dL, leukocytosis (white blood cell count, 19.52x109/L), a marked increase in neutrophils associated with increased markers of hemolysis (lactate dehydrogenase, 395 U/L) and of a systemic inflammatory response (Figure 1). On the second day after admission, both patients showed a drop in hemoglobin to 7.5 g/dL (26.4% reduction of steady-state hemoglobin) and 5.5 g/dL (30.3% reduction of steady-state hemoglobin) in cases 1 and 2, respectively, which was associated with a worsening of blood gas exchange (SpO2 case 1, 84% and case 2, 82%; both under high-flow oxygen therapy). Both patients received the standard of care for ACS: intravenous fluids, broad-spectrum antibiotic therapy (second-generation cephalosporins), prophylaxis with low molecular weight heparin, and high-flux oxygen. Pain was controlled by multimodal analgesia with the simultaneous infusion of tramadol (7.2 mg/kg/day) and ketorolac (0.86 mg/ kg/day) and metoclopramide (0.57 mg/kg/day) in combination with buccal tablet fentanyl (200 μg), as breakthrough pain medication for the first 48 hours of hospitalization. Erythropoietin (20,000 U, 3 times/week until the patients’ discharge) and folate supplementation were also started and phlebotomy was minimized. We then considered alternative treatments to interrupt the vicious cycle sustaining ACS and to prevent a possible worsening of clinical manifestations. We decided to infuse immunoglobulins based on the reported observations that immunoglobulins attenuate the progression of ACS and reduce the duration of hospitalization of patients with SCD experiencing VOC.6-9 Indeed, previous studies in mice and patients with SCD have shown that the infusion of immunoglobulins has an anti-inflammatory effect, with improvement of endothelial cell-cell interactions, and an immunomodulatory effect, targeting overactivated neutrophils.7-9 In our cases, intravenous immunoglobulins were administered at the dosage of 400 mg/kg/day for 5 days, considering the patients’ features (no renal or hepatic dysfunction) and ACS associated with a hyperinflammatory state, as indicated by the marked increases of C-reactive protein, fibrinogen and ferritin10 (Figure 1A, B). The infusion of immunoglobulins was well tolerated without major adverse events, as found in previous clinical studies on immunoglobulins in patients with SCD.6 Although the daily dose of immunoglobulins was concordant with the doses used in previous studies in patients with SCD, we decided to maintain the infusions for a longer time, for a period similar to that used in other disorders characterized by an auto-inflammatory/ hyperinflammatory landscape related to an intense cytokine storm, such as macrophage activation syndrome, primary and secondary hemophagocytic lymphohistiocytosis, and multisystem inflammatory syndrome associated with coronavirus disease 2019.11 As shown in Figure 1, the infusion of immunoglobulins allowed a steady rise in hemoglobin concentration associated with a decrease in markers of hemolysis and reductions in neutrophil counts and C-reactive protein levels. In both patients, intravenous analgesia was switched to oral analgesia at day 5 of hospitalization. The patients’ gas exchange improved such that cases 1 and 2 no longer required high-flow oxygen at days 5 and 6, respectively. The patients were discharged after 12 and 10 days of hospitalization, respectively, with hemoglobin levels of 8.9 g/dL for case 1, and 7.1 g/dL for case 2 (Figure 1). At 30 days after discharge, both patients showed sustained hemoglobin levels of 10.7 g/dL (case 1) and 8.3 g/dL (case 2) associated with decreases in ferritin and fibrinogen concentrations, which reached values similar to baseline (Figure 1).
We believe that our cases are clinically relevant in the management of severe ACS in Jehovah’s Witnesses with SCD. Although the mechanisms of action of intravenous immunoglobulins are not fully understood, immunoglobulins might act in both an Fc receptor dependent and independent manner mediated by the Fab fragment.12 An attractive additional effect of immunoglobulins is their ability to inhibit neutrophil extracellular trap (NET) formation, as demonstrated in a murine model of myeloperoxidase-specific antineutrophil cytoplasmic antibody-associated vasculitis. NET might enhance endothelial activation, increasing VCAM-1 and ICAM-1 expression.13 They may also play a role in vessel occlusion by providing a scaffold for platelets and red cells. Of note, we recently showed an impairment of pro-resolving mechanisms in patients with SCD, promoting abnormal NETosis and sustaining autoimmunity and autoinflammation in SCD.14,15 In addition, NET have been shown to contribute to the pathogenesis of acute sickle cell-related lung damage.16 Manwani et al. reported a reduction in overactivation of neutrophils in a phase II, randomized, double-blind study of immunoglobulins infused in SCD patients during VOC.6 This further supports the role of immunoglobulins in tackling the biocomplexity of sickle cell-related inflammatory vasculopathy. Of note, infusion of immunoglobulins has been reported to neutralize pro-inflammatory cytokines and to scavenge C3a and C5a complement fractions.17 This is of interest since growing evidence highlights the contribution of heme-mediated activation of the alternative complement pathway in the pathogenesis of severe acute VOC and ACS. Thus, the multimodal action of intravenous immunoglobulins supports their use in the clinical management of severe
Table 1.The patients’ clinical characteristics and biochemistry values at time of arrival at the Emergency Department.
VOC in special populations such as SCD patients who might refuse transfusion for religious reasons or who might be not eligible for transfusion because of alloimmunization or previous delayed hemolytic reactions.18 Our observation is important in the setting of Jehovah’s Witnesses with SCD since HBOC-201, a cell-free polymerized bovine hemoglobin or polymerized hemoglobin, might not always be available.3 In addition, in SCD a major limitation of this therapeutic approach is the detrimental effect of free hemoglobin overload on inflammatory vasculopathy during sickle cell-related acute VOC. Indeed, this might contribute to amplifying the endothelial vascular activation/damage by reducing nitric oxide viability and increasing a pro-oxidant intravascular environment. In a few cases of patients treated with a free hemoglobin formulation, increased methemoglobin formation and arterial blood hypertension were reported as adverse events, but no deaths related to free hemoglobin formulation were recorded for SCD patients.4,19
Figure 1.Graphical representation of the two cases of Jehovah’s Witnesses with sickle cell disease and acute chest syndrome. (A) Hemoglobin and lactate dehydrogenase at the patients’ admission to the Emergency Department (time 0), during hospitalization and at 30 days after hospital discharge. (B) Markers of systemic inflammation, C-reactive protein, neutrophils and ferritin. The red arrows indicate the days of immunoglobulin intravenous administration. Immunoglobulins were administered at the dosage of 400 mg/kg/day for 5 days. Hb: hemoglobin; ED: Emergency Department; LDH: lactate dehydrogenase; CRP: C-reactive protein.
In steady state, hydroxyurea remains the main long-term therapeutic approach also in Jehovah’s Witnesses SCD patients. However, closer monitoring of the complete blood count might be considered for this special population of SCD patients compared to the monitoring schedule for the general SCD population. In our patients, we observed worsening of anemia with a hydroxyurea dosage higher than 15 mg/kg/day at steady state (Table 1). Although our cases were from a special population of SCD patients (Jehovah’s Witnesses), infusion of immunoglobulins might also be considered as adjuvant rescue therapy in the general population of patients with SCD with severe, complicated ACS.17
In conclusion, this is the first report on Jehovah’s Witness patients with SCD and ACS treated with intravenous immunoglobulins, which were well tolerated without adverse events. Although immunoglobulins do not directly affect hemoglobin levels, they might play a pivotal role during acute severe sickle cell-related VOC. Indeed, immunoglobulins might: (i) block the entrapment of red cells, neutrophils, and platelets in the microcirculation; (ii) reduce the cytokine storm; and (iii) attenuate the overactivation of neutrophils with possible beneficial effects on NET and complement activation.
In summary, our encouraging data support the use of 5 days of treatment with immunoglobulins in special populations such as Jehovah’s Witness SCD patients and patients at risk of a severe hemolytic transfusion reaction.
Footnotes
- Received April 15, 2025
- Accepted September 24, 2025
Correspondence
Disclosures
No conflicts of interest to disclose.
Contributions
Funding
This work was supported by FURUNIVR (to LDF).
References
- Muramoto O. Bioethical aspects of the recent changes in the policy of refusal of blood by Jehovah’s Witnesses. BMJ. 2001; 322(7277):37-39. Google Scholar
- Sagy I, Jotkowitz A, Barski L. Reflections on cultural preferences and internal medicine: the case of Jehovah’s Witnesses and the changing thresholds for blood transfusions. J Relig Health. 2017; 56(2):732-738. Google Scholar
- Vadehra D, Davino T, Datta D. Treating a patient with your hands tied: acute chest syndrome in a Jehovah’s Witness. Cureus. 2020; 12(4):e7769. Google Scholar
- Davis JM, El-Haj N, Shah NN. Use of the blood substitute HBOC-201 in critically ill patients during sickle crisis: a three-case series. Transfusion. 2018; 58(1):132-137. Google Scholar
- Fortier J, Pang S, Schutte S, Zumberg MS, Rajasekhar A. Use of cell salvage and HBOC-201 in a pregnant Jehovah’s Witness with sickle beta+thalassaemia undergoing emergency Caesarean section. BMJ Case Rep. 2022; 15(11):e251368. Google Scholar
- Manwani D, Xu C, Lee SK. Randomized phase 2 trial of intravenous gamma globulin (IVIG) for the treatment of acute vast-occlusive crisis in patients with sickle cell disease: lessons learned from the midpoint analysis. Complement Ther Med. 2020; 52:102481. Google Scholar
- Manwani D, Chen G, Carullo V. Single-dose intravenous gammaglobulin can stabilize neutrophil Mac-1 activation in sickle cell pain crisis. Am J Hematol. 2015; 90(5):381-385. Google Scholar
- Chang J, Shi PA, Chiang EY, Frenette PS. Intravenous immunoglobulins reverse acute vaso-occlusive crises in sickle cell mice through rapid inhibition of neutrophil adhesion. Blood. 2008; 111(2):915-923. Google Scholar
- Turhan A, Jenab P, Bruhns P, Ravetch J V, Coller BS, Frenette PS. Intravenous immune globulin prevents venular vasoocclusion in sickle cell mice by inhibiting leukocyte adhesion and the interactions between sickle erythrocytes and adherent leukocytes. Blood. 2004; 103:2397-2400. Google Scholar
- Porritt RA, Binek A, Paschold L. The autoimmune signature of hyperinflammatory multisystem inflammatory syndrome in children. J Clin Invest. 2021; 131(20):e151520. Google Scholar
- Batu ED, Ozen S. Other immunomodulatory treatment for cytokine storm syndromes. Adv Exp Med Biol. 2024; 1448:601-609. Google Scholar
- Conti F, Moratti M, Leonardi L. Anti-inflammatory and immunomodulatory effect of high-dose immunoglobulins in children: from approved indications to off-label use. Cells. 2023; 12(19):2417. Google Scholar
- Uozumi R, Iguchi R, Masuda S. Pharmaceutical immunoglobulins reduce neutrophil extracellular trap formation and ameliorate the development of MPO-ANCA-associated vasculitis. Mod Rheumatol. 2020; 30(3):544-555. Google Scholar
- Recchiuti A, Federti E, Matte A. Impaired pro-resolving mechanisms promote abnormal NETosis, fueling autoimmunity in sickle cell disease. Am J Hematol. 2023; 98(3):E45-E48. Google Scholar
- Vats R, Kaminski TW, Brzoska T. Liver-to-lung microembolic NETs promote gasdermin D–dependent inflammatory lung injury in sickle cell disease. Blood. 2022; 140(9):1020-1037. Google Scholar
- Chen G, Zhang D, Fuchs TA, Manwani D, Wagner DD, Frenette PS. Heme-induced neutrophil extracellular traps contribute to the pathogenesis of sickle cell disease. Blood. 2014; 123(24):3818-3827. Google Scholar
- Romero-Legro I, Kadaria D, Murillo LC, Freire AX. Intravenous gammaglobulin as rescue therapy in a patient with sickle cell and septic shock. Tenn Med. 2013; 106(9):29-31. Google Scholar
- Coleman S, Westhoff CM, Friedman DF, Chou ST. Alloimmunization in patients with sickle cell disease and underrecognition of accompanying delayed hemolytic transfusion reactions. Transfusion. 2019; 59(7):2282-2291. Google Scholar
- Lanzkron S, Moliterno AR, Norris EJ. Polymerized human Hb use in acute chest syndrome: a case report. Transfusion. 2002; 42(11):1422-1427. Google Scholar
Figures & Tables
Article Information

This work is licensed under a Creative Commons Attribution-NonCommercial 4.0 International License.