Abstract
Hepatitis E virus (HEV) is an under-recognized cause of viral hepatitis, with rising incidence in high-income countries largely driven by zoonotic transmission. Patients with multiple myeloma (MM) are especially vulnerable to HEV, yet there have been no recommendations for antiviral treatment or on its impact on the management of myeloma treatment. Here, we describe 7 patients (5 males, 2 females) with MM who were diagnosed with HEV infection at a tertiary care center in Western Europe within less than one year. All cases were confirmed by positive HEV RNA PCR in peripheral blood. Although no instances of fulminant hepatitis were observed, HEV prompted clinically relevant interruptions: autologous stem cell transplantation was postponed, lymphocyte apheresis for CAR T-cell manufacturing was delayed, and bispecific antibody regimens were suspended for up to five months. Ribavirin was initiated in 4 cases. The 3 patients undergoing T-cell-redirecting therapies, including one with prior ciltacabtagene autoleucel and 2 on bispecific antibodies, progressed to chronic infection despite ribavirin treatment. One patient, despite clearing HEV from peripheral blood, developed persistent vertigo and tested positive for HEV RNA in cerebrospinal fluid, indicating neuroinvasion. As the largest reported cohort of MM patients with HEV infections and the first to document chronic infection during treatment with T-cell-redirecting therapies, this study emphasizes the urgent need to increase awareness of HEV as an emerging threat, refine screening protocols at baseline or during unexplained aminotransferase flares, and to establish standardized therapeutic strategies in the era of novel immunotherapeutic approaches.
Introduction
Hepatitis E virus (HEV) is a significant yet frequently under-recognized cause of viral hepatitis globally, with an estimated 20 million new infections annually and approximately 44,000 deaths in 2015 alone.1 HEV, also known as Pasla-hepevirus balayani, a member of the Hepeviridae family, is transmitted via various routes depending on geographic and socio-economic conditions. In low-income countries, HEV is primarily transmitted through contaminated water, with genotypes 1 and 2 responsible for large outbreaks. Conversely, genotypes 3 and 4 are more common in high-income nations due to zoonotic transmission through undercooked pork or offal.2,3 HEV IgG seroprevalence among adults in Germany was estimated to be almost 17% in a nationwide study conducted in 2012.4 Environmental contamination through excretions from infected pigs, wildlife, and humans is a recognized potential source of HEV infections. A preliminary German study detected HEV RNA in wastewater and river water, and these findings correlate with subtypes previously identified in patients from the same region.5 Additionally, transmission through blood products has been reported, posing a particular risk for hematologic patients undergoing transfusions.6 However, since January 1, 2020, mandatory routine testing for HEV in blood products in Germany has significantly reduced this risk.7
In immunocompetent individuals, HEV generally presents with a spectrum from asymptomatic courses to, in rare cases (0.5-4%), fulminant hepatitis.8 Cases of fulminant hepatitis leading to acute liver failure or acute-on-chronic liver failure occur in patients with pre-existing liver disease or during pregnancy.9,10 Furthermore, immunosuppressed patients (such as solid organ transplant recipients, HIV-infected individuals, or patients who have undergone hematopoietic stem cell transplantation) are at significant risk of progression to chronic hepatitis E, which carries a long-term risk of liver cirrhosis.6,11-14
The course of HEV infection in patients with hematologic malignancies remains poorly understood and clinically challenging. Limited data underscore the importance of reporting cases to better understand the specific challenges of managing HEV in hematologic patients, including its effects on treatment modifications and patient outcomes. In published, retrospective cohort studies involving hematologic patients with HEV infection, an HEV-related mortality rate of 5-8% has been reported. Acute hepatitis in these vulnerable patients was associated with an acute liver failure rate of 8-11% and a progression to chronic infection rate ranging from 37% to 62%.6,13,15,16 Across all reported cohorts, approximately half of the patients received ribavirin treatment, with HEV clearance rates ranging from 27.0% to 79.2%. Ribavirin treatment was associated with reduced mortality and tended to lower chronicity rates, mainly when initiated within 12 to 24 weeks after the HEV diagnosis.6,16 The current European Conference of Infections in Leukemia (ECIL) guidelines on viral hepatitis, which will be updated soon, address the management of HEV infections in hematologic patients, including the feasibility of off-label ribavirin treatment for both acute and chronic HEV infection.6,17,18
Reported data on required modifications of antitumor therapy vary widely. von Felden et al. noted that 12% of patients experienced treatment adjustments due to hepatitis E, including delays in planned autologous hematopoietic stem cell transplantation (ASCT).5 In contrast, Ghandili et al. reported therapy modifications in 60% of cases, including delays of 6-8 weeks in administering high-dose chemotherapy and ASCT.16 Therapy modifications can significantly impact disease control and prognosis, making it critical to understand how often they are needed and which strategies are most effective.
Patients with multiple myeloma (MM), the second most common hematologic malignancy, are particularly vulnerable due to their immunocompromised state and the prolonged use of highly immunosuppressive therapies, including CD38 antibodies, proteasome inhibitors, immunomodulatory agents, high-dose dexamethasone, and medications targeting B-cell maturation antigen (BCMA). Additionally, these patients are often at an increased risk of ribavirin-induced anemia because of their advanced age and concomitant medications, further complicating treatment decisions and management strategies.
In this retrospective cohort study, we report a series of HEV cases among MM patients occurring in a notably short period between March 2024 and January 2025. This is unusual, as previous cohorts reported only a few cases of hepatitis E in MM patients, typically over much longer periods.16 We describe how treatment adjustments were made, balancing the risks of delaying cancer therapy against the need to manage HEV infection effectively. This study also highlights an unusual case involving a strictly vegan patient, underscoring the need to consider alternative transmission routes beyond the consumption of contaminated meat. This paper is also the first to report 3 cases of chronic HEV infection in MM patients receiving T-cell-redirecting therapies.
Methods
Study design and data collection
This is a retrospective analysis of 7 patients (5 males, 2 females) aged 48 to 78 years, who were diagnosed with HEV infections between March 2024 and January 2025. All patients were identified through positive HEV RNA PCR results from blood samples obtained at the university outpatient clinic of a tertiary center (University Medical Center Hamburg-Eppendorf, Hamburg, Germany), where approximately 300 MM patients are treated on an outpatient basis annually.
HEV PCR testing was performed for elevated transaminase levels (5 patients) or as part of routine screening prior to lymphocyte or stem cell apheresis (2 patients). Clinical information, including treatment details and disease characteristics, was abstracted from the patients’ electronic health records. Electronic medical records were reviewed to assess baseline patient characteristics, laboratory findings, including liver enzyme levels and HEV RNA levels, as well as treatment details and outcomes.
Data cutoff was March 31, 2025. The assessment of toxicities followed the Common Terminology Criteria for Adverse Events, version 5. Myeloma remission status was assessed according to the International Myeloma Working Group (IMWG) criteria.19 Figures were created with GraphPad Prism version 9 for macOS, GraphPad Software, Boston, MA, USA. Monocentric data acquisition was conducted in accordance with local requirements as per the Hamburg Hospital Act (HmbKHG) §12. Data collection complied with local legal requirements, and was reviewed and approved by the Ethics Committee of the Medical Council of Hamburg (Approval: 2025-300583-WF). The ethics committee waived the requirement for informed consent, as only anonymized data were analyzed and published.
Virological assessments
HEV RNA detection was performed using the automated Cobas® HEV assay on the Roche Cobas 6800 platform (Roche Diagnostics, Mannheim, Germany) in accordance with the manufacturer’s instructions. Peripheral blood samples were tested for clinical HEV detection, with a lower limit of approximately 20 IU/mL.
In addition to blood, HEV RNA was also assessed, when available, in urine, stool, and cerebrospinal fluid (CSF) samples to confirm systemic infection and investigate the presence in extrahepatic tissue. Stool samples, when collected, underwent pretreatment to extract viral RNA before analysis, following protocols validated for Cobas® HEV performance. HEV RNA in CSF was tested only in cases where neurological symptoms suggested potential neuroinvasion. Sustained virological response (SVR) was defined as the absence of detectable HEV RNA in peripheral blood across two consecutive samples taken at least four weeks apart, with additional confirmation from HEV RNA-negative results in stool, urine, or CSF where available. In patients receiving antiviral therapy, virological monitoring was performed at baseline, during treatment, and at follow-up to assess treatment efficacy and detect any recurrence of viremia.
Results
Patient characteristics
HEV infection was detected after a median of 46.7 months (range, 4.4–177.3 months) following the initial MM diagnosis. At the time of acute HEV diagnosis, 6 patients were receiving active anti-myeloma therapy, while one patient had undergone BCMA-targeted chimeric antigen receptor (CAR) T-cell therapy with ciltacabtagene-autoleucel (ciltacel) six months earlier. Five of the 7 patients had received multiple prior lines of therapy (range, 1-6). Detailed patient characteristics are summarized in Table 1.
Virological findings
Patients were asymptomatic except for atypical vertigo in one patient. HEV infection was detected after routine blood tests showed elevated liver transaminases. Median glutamate-pyruvate transaminase (GPT) and gamma-glutamyl transferase (GGT) levels at diagnosis were 200 U/L (range, 19-1,220 U/L) and 340 U/L (range, 16-901 U/L), respectively. Median HEV RNA viral loads in EDTA-anticoagulated whole blood samples, as determined by PCR, were 48,865 IU/mL (range, 363-20,577,850 IU/mL). Concomitant infections with other hepatitis viruses or herpesvirus reactivations were ruled out through comprehensive serological and PCR testing. Characteristics of HEV infection and HEV-related laboratory parameters are shown in Table 2.
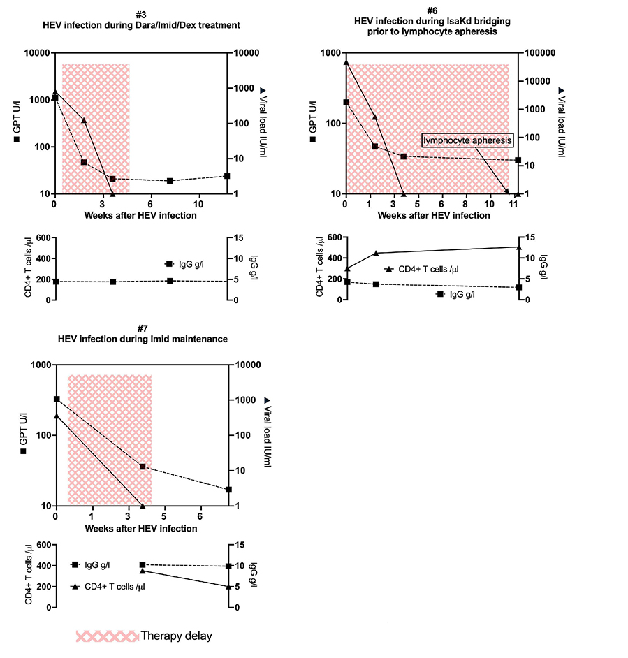
Up to the time of this report, 3 patients (cases #3, #6, #7) achieved spontaneous viral clearance after 16-36 days without the use of ribavirin, all of whom subsequently maintained SVR. In case #3, CD38 antibody-based MM treatment was paused for a total of 26 days without affecting the remission status (ongoing stringent complete response). In cases #6 and #7, treatment with lenalidomide maintenance and bridging therapy with isatuximab/carfilzomib/ dexamethasone has remained paused for 44 and 46 days, respectively, to allow for the resolution of HEV infection. No changes in remission status have occurred.
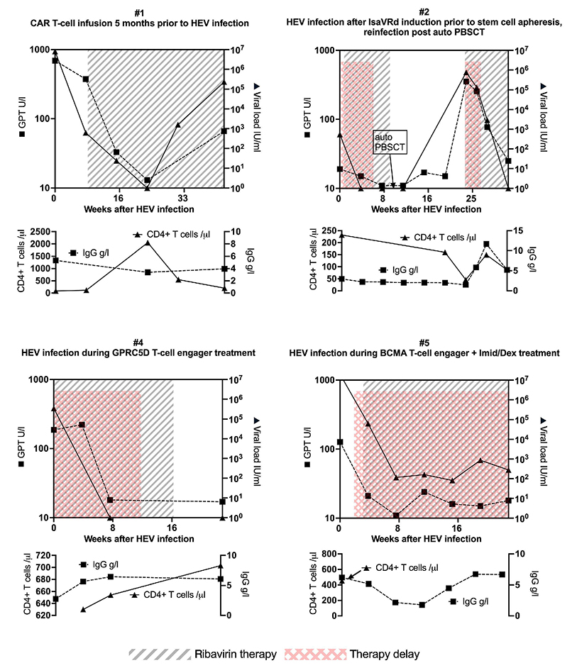
Three patients (cases #1, #4 and #5), all of them receiving T-cell-redirecting therapy, one with a history of treatment with cilta-cel (6 months prior) and 2 with ongoing treatment with bispecific antibodies targeting BCMA and GPRC5D, developed chronic infection, confirmed by persistent viremia detected by HEV PCR for more than three months despite ribavirin. Bispecific antibody treatment was interrupted for five months (case #4) and three months (case #5).
Patient #4 developed severe treatment-refractory vertigo at the time of HEV diagnosis, which was subsequently linked to the detection of HEV RNA in the CSF. The vertigo persisted despite clearance of HEV from peripheral blood under ribavirin treatment, indicating neuroinvasion. Cytomorphological and immunophenotypic CSF analyses, as well as MRI, showed no evidence of cerebral extramedullary myeloma manifestation. In this patient, at the time of initial diagnosis of HEV infection, a reactivation of a formerly known immune thrombocytopenia (ITP) was observed despite a history of splenectomy performed 15 years ago. Concurrently with the decline in viral load, platelet recovery was noted, indicating HEV infection as the underlying cause of ITP relapse. At the time of this report, the vertigo is still ongoing. Given the clinical course, persistent viral replication and chronic infection of the central nervous system is suspected.
The clinical course and laboratory parameters of the individual patients are presented in Figure 1 for patients who received ribavirin treatment and in Figure 2 for patients who have not been treated with ribavirin.
Ribavirin treatment and adverse effects
The decision as to whether to initiate ribavirin treatment was made by infectious disease specialists according to the criteria proposed in the ECIL guidelines and the guidelines of the European Association for the Study of the Liver (EASL).20 Specifically, HEV infections lasting longer than three months were interpreted as chronic, and chronic courses were treated with ribavirin whenever feasible. In cases of acute HEV infection, the urgency of antiviral therapy was assessed. Upfront ribavirin treatment was initiated in highly immunocompromised patients undergoing T-cell-redirecting therapy (cases #1, #4, #5) or quadruplet induction therapy with planned autologous stem cell transplantation (ASCT) (case #2), while in the other 3 cases (cases #3, #6, #7), the initial course of infection was monitored, leading to spontaneous viral clearance without antiviral therapy.
Initial doses ranged from 800 mg to 1,000 mg daily during the 3-month induction phase, depending on tolerability. The treatment was generally well tolerated, except for 3 patients with grade 3 anemia requiring red blood cell transfusions. In patients who developed chronic HEV infection, a maintenance dose of 200 mg once daily was administered.
Impact of hepatitis E virus infection on myeloma treatment
Active myeloma treatment was interrupted in all patients under active therapy for at least 26 days and up to five months due to concerns regarding liver toxicity and HEV-associated risks.
Table 1.Patient characteristics and clinical course of hepatitis E virus infections.
Table 2.Baseline and peak laboratory parameters and immune function markers in multiple myeloma patients with hepatitis E virus infections.
One patient (case #2) acquired HEV infection during induction with isatuximab, bortezomib, lenalidomide, and dexamethasone and achieved transient viral clearance after 24 days of ribavirin. The infection caused a 6-week delay in cyclophosphamide mobilization and subsequent ASCT, accompanied by a rise in serum free light chains that did not meet IMWG progression criteria. Although the patient remained HEV RNA-negative during high-dose melphalan and ASCT, relapse was detected on day +121 post ASCT by blood-based HEV RNA PCR, coinciding with elevated GPT and GGT. Ribavirin was re-initiated at 800 mg/day; HEV RNA became undetectable by week 8. At data cutoff, confirmation of SVR by repeat testing was pending.
Notably, in patient #6, who received isatuximab / carfilzomib / dexamethasone as bridging therapy before CAR T-cell treatment, planned lymphocyte apheresis needed to be postponed for almost three months due to the diagnosis of HEV infection and the risk of a subsequent product contamination.
Despite these treatment interruptions, HEV-related deaths or changes in remission status have not yet been observed. Additionally, no HEV-associated acute liver failure or chronic liver disease has been documented to date.
Discussion
The paradigms of MM therapy have radically evolved in recent years, leading to significantly improved patient outcomes. However, these advances come at the cost of profound immunosuppression, caused both by the disease itself and by intensive, prolonged immunosuppressive treatments. Despite the high incidence of HEV infection in the Western world, detailed data on the course of infection and outcomes in patients with hematologic malignancies, particularly MM, remain scarce. This study highlights the challenges and clinical implications of managing HEV infections in MM patients, a population uniquely vulnerable due to their immunocompromised state and extensive exposure to immunosuppressive therapies. In our cohort, acute HEV infections were often asymptomatic or presented with only mild hepatic involvement, detected incidentally through routine blood tests. Although elevated liver enzymes and high viral loads were common, severe hepatic complications like acute liver failure did not occur. However, relevant delays in MM treatment were observed due to HEV infection, including the postponement of an ASCT in one patient (case #2), a delay in lymphocyte apheresis prior to CAR T-cell therapy in another patient (case #6), and therapy interruptions of three to five months in patients receiving bispecific antibodies (cases #4 and #5). Three patients (cases #1, #4 and #5), all of them undergoing novel T-cell-redirecting therapies, developed chronic HEV infection, underscoring its potential severity in this highly immunocompromised subgroup.
Figure 1.Clinical course and laboratory parameters of hepatitis E virus infection in 4 multiple myeloma patients (cases #1, #2, #4, #5) treated with ribavirin. Glutamate-pyruvate transaminase (GPT) levels (black squares) and hepatitis E virus (HEV) viral load (black triangles) are shown in relation to ribavirin treatment (gray shaded area) and therapy delays (pink shaded area). Lower panels depict CD4+ T-cell counts and immunoglobulin G serum levels over time. autoPBSCT: autologous peripheral blood stem cell transplantation; BCMA: B-cell maturation antigen; CAR: chimeric antigen receptor; Dex: dexamethasone; GPRC5D: G protein-coupled receptor class C group 5 member D; GPT: glutamate-pyruvate transaminase; IgG: immunoglobulin G; Imid: immunomodulatory drug.
Importantly, the observed case yield of 7 infections among approximately 300 MM outpatients within less than 12 months likely underestimates the true burden of HEV in this population. Testing was performed only in patients with elevated transaminases or before planned apheresis. We, therefore, speculate that the real incidence is higher, as asymptomatic infections would have remained undetected.
Transmission
In 3 out of 6 patients, the consumption of raw minced pork was reported as a potential source of HEV infection, suggesting a foodborne origin. Previous studies support this possible transmission route, having detected HEV RNA in various commercial pork products, including 20% of liver sausages purchased from supermarkets in Berlin, Germany, almost half of pork pâtés sampled in Canada, and 4% of pork livers from butcher shops and supermarkets in southern Germany.21-23
Figure 2.Clinical course and laboratory parameters of hepatitis E virus infection in 3 multiple myeloma patients (cases #3, #6, #7) not treated with ribavirin. Glutamate-pyruvate transaminase (GPT) levels (black squares) and hepatitis E virus (HEV) viral load (black triangles) are shown in relation to therapy delays (pink shaded area). Lower panels depict CD4+ T-cell counts and immunoglobulin G serum levels over time. Dara: daratumumab; Dex: dexamethasone; GPT: glutamate-pyruvate transaminase; HEV: hepatitis E virus; IgG: immunoglobulin G; Imid, immunomodulatory drug; IsaKd: isatuximab, carfilzomib, dexamethasone.
However, the sources of infection in the remaining patients are unclear. Transmission through contaminated blood products can be ruled out due to routine HEV PCR testing in Germany, and none of the patients had a history of international travel prior to the diagnosis of HEV infection. The occurrence of HEV infection in a vegan patient suggests alternative transmission routes beyond dietary exposure to undercooked pork or offal, potentially through contaminated food products exposed to infected manure or fertilizers. In Germany, HEV-3 RNA is frequently detected in urban surface waters, with identified subtypes sometimes matching those found in local patients, supporting environmental circulation.5 This hypothesis is supported by findings from case-control studies, which identified associations between HEV infection and the consumption of raw vegetables and fruits. An association was also identified with contact with wastewater, indicating that environmental contamination may mediate transmission, including in individuals who do not consume pork (e.g., in the case of our vegan patient).23-25
Neuroinvasion and extrahepatic manifestations
The detection of HEV in cerebrospinal fluid in one patient with refractory dizziness and vertigo, along with the reactivation of immune thrombocytopenia (ITP), highlights the potential for extrahepatic manifestations of HEV. While neuroinvasion and immune dysregulation by HEV are rare, cases of thrombotic thrombocytopenic purpura, glomerulonephritis, Guillain-Barré syndrome, neuralgic amyotrophy, and acute pancreatitis have been described in recent literature.26-28 Although acute and chronic infection with hepatitis A, B and C are a well-characterized cause of ITP,29,30 our work suggests that HEV may also be the underlying trigger. In line with 3 case reports describing acute HEV infection as the cause of ITP in a young and otherwise healthy girl from India,31 a 34-year-old male,32 and a 72-year-old French woman,33 all of them without any history of prior hematologic illness, the observed recovery of thrombopoiesis with HEV load reduction underlines the causal link between HEV infection and reactivation of ITP in our patient as well, warranting further investigation into the interplay between HEV and hematologic conditions.
B-cell depletion, T-cell exhaustion, hypogammaglobulinemia, and hepatitis E virus infection risks
CD20-directed therapies, such as rituximab, have been significantly associated with the development of chronic HEV infection, likely due to the impact of B-cell depletion on the immune system’s capacity to control HEV.16 This effect is similar to the role of B-cell responses in hepatitis B and C control; indeed, various B-cell-directed therapies are known to increase the risk of hepatitis B reactivation.34,35 In contrast, Ingwersen et al. reported sustained viral responses in a patient with B-cell chronic lymphocytic leukemia who, despite profound hypogammaglobulinemia, maintained normal CD4+ T-cell counts.17 This finding suggests that while B-cell response may not be the only essential factor for viral clearance, CD4+ T-cell presence could be more critical. Further supporting this, lymphopenia and low CD4+ T-cell counts have been associated with chronic HEV infections in solid organ transplant recipients.14 Observations in HIV/HEV-co-infected patients similarly indicate that HEV clearance is associated with higher CD4+ T-cell counts. Additionally, in patients with low CD4+ T-cell counts, the time from solid organ transplantation to HEV diagnosis was shorter, with these patients more likely to develop chronic hepatitis E.14 Ingwersen et al. also observed that recovery from CD4+ lymphopenia and an increase in CD4+ T-cell counts correlate with viral response, likely reflecting recovery from T-cell exhaustion.17
In our cohort, 3 out of 7 patients received novel T-cell engaging immunotherapies that may induce T-cell exhaustion, such as bispecific T-cell engagers (TCE) or CAR T-cell treatment, which could have heightened the risk of HEV infection due to profound humoral and cellular immune suppression.
Intravenous immunoglobulin (IVIG) supplementation, routinely administered in the context of T-cell-engaging immunotherapies to address immunoglobulin deficiency, helps reduce the risk of severe infections in this highly immunocompromised population. However, it is not clear if IVIG supplementation could reduce the likelihood of chronic HEV infection. Immunoglobulin products have been found to contain anti-HEV antibodies capable of neutralizing HEV antigens, suggesting the possibility of a passive seroprotection provided by anti-HEV antibodies in IVIG products.36 However, in our patient cohort, 2 patients (cases #3 and #5) received routine IVIG supplementation (30 grams monthly) with immunoglobulin G plasma levels well above 4 g/L before HEV diagnosis, suggesting a limited efficacy in preventing infection.
Navigating ribavirin treatment
The management of HEV infection in immunocompromised patients presents a significant therapeutic challenge. Two key considerations underscore the need for timely initiation of ribavirin off-label treatment in this context.
Challenges in HEV treatment guidance - Ribavirin treatment has been shown to reduce mortality and lower chronicity rates. Although spontaneous but unpredictable HEV clearance may occur in some cases, this outcome cannot be reliably anticipated.6 Prolonged viremia not only increases the risk of chronic infection but may also interfere with planned therapeutic schedules for the underlying tumor disease if spontaneous viral clearance does not occur.15
Currently, there are no established guidelines regarding the optimal timing for initiating ribavirin therapy, reliable predictors of treatment response, or the recommended duration needed to achieve a sustained virological response. Additionally, it remains uncertain whether and when immunosuppressive therapy can be safely resumed during ribavirin treatment. Ribavirin dosing poses further challenges due to inter-individual differences in drug metabolism, the lack of routine therapeutic drug monitoring, and the frequent occurrence of anemia among responders.20,37,38
Avoiding delays in oncologic therapies - HEV infection poses a risk of acute or chronically evolving hepatitis, which can delay or even disrupt critical oncologic therapies. Delays in cancer treatment while awaiting viral clearance can compromise disease control, particularly in patients with progressive myeloma and poor prognostic indicators. Such delays may influence the long-term prognosis of these patients.
In this case series, HEV-related delays significantly impacted myeloma therapy, including the postponement of an ASCT, delays in lymphocyte apheresis prior to CAR T-cell therapy, and interruptions exceeding three months during bispecific antibody treatment targeting BCMA. However, the impact of HEV-related treatment delays extends beyond this study. von Felden et al. reported that 33.3% of hematopoietic stem cell transplant recipients with HEV required reductions in immunosuppressive therapy, a modification linked to a mortality rate of 28.6%.6 Such findings emphasize the potential for HEV infection to precipitate adverse outcomes, not only through its direct effects but also by forcing alterations to critical oncologic or immunosuppressive treatments.
Mechanisms of ribavirin treatment failure in chronic hepatitis E virus infection
In heavily pretreated patients, particularly those exposed to T-cell–redirecting therapies, ribavirin failure is biologically plausible via three, often overlapping, mechanisms.
Firstly, T-cell exhaustion, affecting both the CD4+ compartment (with low CD4+ counts associated with chronic HEV in solid-organ transplant recipients) and HEV-specific T cells that, under persistent antigen exposure, acquire PD-1high CD127low exhausted phenotypes with waning CD8+ responses, reduces antiviral pressure, and may contribute to virological non-response.14,39
Secondly, HEV can persist in extrahepatic sanctuary compartments, such as renal epithelium, peripheral blood mononuclear cells, the CNS, and bone marrow. In these compartments, ribavirin penetration or intracellular phosphorylation may be suboptimal, permitting low-level viral replication, subsequent rapid viral rebound and dissemination into other organs upon discontinuation of treatment.40-42 Thirdly, pharmacokinetic limitations frequently arise in this clinical context. Dose adjustments of ribavirin are often required due to renal impairment, common among MM patients. Additionally, ribavirin-induced hemolytic anemia frequently necessitates dose reductions. Both factors reduce systemic exposure to the active nucleoside analogue, thus increasing the likelihood of virological non-response.43 Finally, prolonged sub-therapeutic exposure to ribavirin can facilitate the gradual emergence of resistance-associated substitutions in the HEV RNA-dependent RNA polymerase, most commonly Y1320H, K1383N, and the replication-enhancing G1634R mutations. These mutations can confer resistance to ribavirin or enhance viral fitness, and have been identified in up to one-third of patients experiencing virological relapse after treatment cessation.44
Recommendations for preventive measures and testing
Preventing HEV infections among patients undergoing treatment for hematologic malignancies requires a combination of dietary precautions, kitchen hygiene, and proactive medical management. Although there are no official recommendations advising immunocompromised patients to avoid consuming undercooked meat completely, we, like the Robert Koch Institute (RKI), support the recommendation that meat be heated to ≥71°C for at least 20 minutes to inactivate HEV45 Additionally, adequate kitchen hygiene should be observed to prevent cross-contamination. Early diagnosis is critical for preventing complications, including liver damage or interference with ongoing therapy. For patients undergoing treatment for MM, a high degree of vigilance is required in cases of an otherwise unexplained increase in liver enzymes, which should prompt PCR-based blood testing. This is especially important for patients on T-cell-directing therapies, as our study has demonstrated a high risk of chronic HEV infections, including a CNS manifestation, in this patient population. These findings align with recent reports highlighting the increased susceptibility to opportunistic infections, such as cytomegalovirus (CMV) infections and reactivations, in MM patients undergoing treatment with bispecific antibodies and CAR T cells.46,47 Due to this emerging issue, the International Myeloma Working Group (IMWG), the European Myeloma Network (EMN), and an international expert consensus panel have recently published consensus guidelines on managing infections in myeloma patients undergoing T-cell-redirecting therapies. (See summary in Table 3.)48-50 These recommendations have been expanded by our group’s proposal to incorporate HEV into routine preventive algorithms.
Our findings indicate that close infection monitoring in these patients should be expanded beyond the usual screenings for hepatitis B, hepatitis C, HIV, and CMV to include HEV Given the high risk of chronic HEV infections observed in this patient population, systematic screening should be incorporated into routine monitoring protocols, such as at initial MM diagnosis and prior to initiating T-cell-redirecting therapy, and in the event of rising liver enzyme levels, to ensure early detection and timely intervention.
To the best of our knowledge, we here report on the largest cohort of MM patients treated with state-of-the- art regimens (including T-cell-redirecting therapies) at a tertiary center in Western Europe who were diagnosed with concomitant HEV infections within a notably short period of less than 12 months. The detection of 7 cases among approximately 300 MM outpatients during this period likely underestimates the true burden of HEV in this population, as testing was restricted to patients with elevated transaminases or prior to planned apheresis. The actual incidence is probably higher, given that asymptomatic infections would have remained undetected. Importantly, we report on the first 3 cases of chronic HEV infection in patients with MM, all occurring in patients receiving T-cell-redirecting therapies. While this study highlights favorable outcomes, with no cases of fulminant hepatitis or acute liver failure following timely diagnosis and management, it also revealed significant delays in oncologic treatments like CAR T-cell therapy or ASCT, as well as treatment interruptions with unclear prognostic implications. These findings underscore the need for increased awareness of the rising incidence of HEV infections in hematologic patients, alongside improved diagnostic protocols and standardized therapeutic strategies. Future research should aim to refine antiviral therapies, elucidate transmission routes, and explore the broader implications of HEV infections on treatment modifications and outcomes in hematologic malignancies in the era of emerging immunotherapeutic approaches such as CAR T-cell therapy and bispecific T cell engagers.
Table 3.Guidance on viral infection management in T-cell-redirecting therapy.
Footnotes
- Received June 3, 2025
- Accepted September 15, 2025
Correspondence
Disclosures
CS reports consultancy for Acus Health, AstraZeneca, Janssen-Cilag, Menarini Stemline, and Pfizer, honoraria from AbbVie, AstraZeneca, and Janssen-Cilag, and travel support from Acus Health, AstraZeneca, Menarini Stemline, Oncopeptides, and Sanofi; WA reports advisory roles for Janssen, and Immatics, honoraria from GSK, Astellas, and AstraZeneca, research funding from Biontech and Affimed (both to the institution), and traveling expanses from Biontech, and Immatics; LL reports consultancy for GSK, Sanofi, and Janssen, honoraria from Adaptive, AbbVie, Janssen, BMS/ Celgene, Pfizer, Sanofi, and GSK, research funding from AbbVie and GSK (both to the institution), and travel support from Sanofi and Oncopeptides; JA reports travel grants from Sanofi and Stemline; CB reports honoraria from AOK Germany, AstraZeneca, Bayer, Berlin Chemie, BMS, GSO Research Organisation, Janssen-Cilag, med update, Merck Serono, MSD, Novartis, Roche, and Sanofi Aventis; KW reports consultancy for AbbVie, Adaptive Biotech, Amgen, BeiGene, GSK, Johnson&Johnson, Karyopharm, Menarini, Oncopeptides, Pfizer, Regeneron, Roche, Sanofi, and Takeda, honoraria from AbbVie, Amgen, AstraZeneca, BeiGene, Bristol Myers Squibb, Celgene, GSK, Janssen, Novartis, Oncopeptides, Sanofi, Stemline, and Takeda, Board of Directors or advisory committees for AbbVie, Adaptive Biotech, Amgen, BeiGene, BMS, Celgene, GSK, Johnson&Johnson, Karyopharm, Menarini, Novartis, Oncopeptides, Pfizer, Regeneron, Roche, Sanofi, and Takeda, and research funding from AbbVie, Amgen, GSK, Johnson&Johnson, Pfizer, BMS/Celgene, Novartis, Sanofi, and Takeda; RK reports consultancy for Stemline, and travel support from Amgen, Sanofi, BeiGene and Stemline. All of the other authors have no conflicts of interest to disclose.
Contributions
MA-B and RK designed the research, analyzed and interpreted data, visualized the data, and wrote the paper; MA-B, SP, WA, SP, LL, JA, SC, JSZW, CS, AK, KW, CB and RK contributed and interpreted data. All authors revised and edited the manuscript, and approved the final version for publication.
Funding
This work was supported by the German Center for Infection Research (to JSZW and SP) and the German Research Foundation (DFG grant CRC1648C4) (to JSZW).
References
- World Health Organization (WHO). Hepatitis E factsheet. 2025. Publisher Full TextGoogle Scholar
- Donnelly MC, Scobie L, Crossan CL. Review article: hepatitis E-a concise review of virology, epidemiology, clinical presentation and therapy. Aliment Pharmacol Ther. 2017; 46(2):126-141. Google Scholar
- Kamar N, Izopet J, Pavio N. Hepatitis E virus infection. Nat Rev Dis Primer. 2017; 3(1):1-16. Google Scholar
- Faber MS, Wenzel JJ, Jilg W. Hepatitis E virus seroprevalence among adults, Germany. Emerg Infect Dis. 2012; 18(10):1654-1657. Google Scholar
- Beyer S, Szewzyk R, Gnirss R, Johne R, Selinka HC. Detection and characterization of hepatitis E virus genotype 3 in wastewater and urban surface waters in Germany. Food Environ Virol. 2020; 12(2):137-147. Google Scholar
- von Felden J, Alric L, Pischke S. The burden of hepatitis E among patients with haematological malignancies: a retrospective European cohort study. J Hepatol. 2019; 71(3):465-472. Google Scholar
- Cordes AK, Goudeva L, Lütgehetmann M. Risk of transfusion-transmitted hepatitis E virus infection from pooltested platelets and plasma. J Hepatol. 2022; 76(1):46-52. Google Scholar
- Kumar S, Ratho RK, Chawla YK, Chakraborti A. The incidence of sporadic viral hepatitis in North India: a preliminary study. Hepatobiliary Pancreat Dis Int. 2007; 6(6):596-599. Google Scholar
- Hamid SS, Atiq M, Shehzad F. Hepatitis E virus superinfection in patients with chronic liver disease. Hepatol Baltim Md. 2002; 36(2):474-478. Google Scholar
- Patra S, Kumar A, Kumar A. Maternal and fetal outcomes in pregnant women with acute hepatitis E virus infection. Ann Intern Med. 2007; 147(1):28-33. Google Scholar
- Haagsma EB, Niesters HGM, van den Berg AP. Prevalence of hepatitis E virus infection in liver transplant recipients. Liver Transpl. 2009; 15(10):1225-1228. Google Scholar
- Mikulska M, Penack O, Wendel L. HEV infection in stem cell transplant recipients-retrospective study of EBMT Infectious Diseases Working Party. Bone Marrow Transplant. 2022; 57(2):167-175. Google Scholar
- Versluis J, Pas SD, Agteresch HJ. Hepatitis E virus: an underestimated opportunistic pathogen in recipients of allogeneic hematopoietic stem cell transplantation. Blood. 2013; 122(6):1079-1086. Google Scholar
- Kamar N, Selves J, Mansuy JM. Hepatitis E virus and chronic hepatitis in organ-transplant recipients. N Engl J Med. 2008; 358(8):811-817. Google Scholar
- Tavitian S, Peron JM, Huguet F. Ribavirin for chronic hepatitis prevention among patients with hematologic malignancies. Emerg Infect Dis. 2015; 21(8):1466-1469. Google Scholar
- Ghandili S, Lindhauer C, Pischke S. Clinical features of hepatitis E infections in patients with hematologic disorders. Haematologica. 2022; 107(12):2870-2883. Google Scholar
- Ingwersen V, Hofmann J, Muche M. Variable outcomes of hepatitis E infections in patients with hemato-oncologic diseases. Oncol Res Treat. 2023; 46(7-8):296-302. Google Scholar
- Mallet V, van Bömmel F, Doerig C. Management of viral hepatitis in patients with haematological malignancy and in patients undergoing haemopoietic stem cell transplantation: recommendations of the 5th European Conference on Infections in Leukaemia (ECIL-5). Lancet Infect Dis. 2016; 16(5):606-617. Google Scholar
- Kumar S, Paiva B, Anderson KC. International Myeloma Working Group consensus criteria for response and minimal residual disease assessment in multiple myeloma. Lancet Oncol. 2016; 17(8):e328-e346. Google Scholar
- Dalton HR, Kamar N, Baylis SA. EASL Clinical Practice Guidelines on hepatitis E virus infection. J Hepatol. 2018; 68(6):1256-1271. Google Scholar
- Mykytczuk O, Harlow J, Bidawid S, Corneau N, Nasheri N. Prevalence and molecular characterization of the hepatitis E virus in retail pork products marketed in Canada. Food Environ Virol. 2017; 9(2):208-218. Google Scholar
- Wenzel JJ, Preiss J, Schemmerer M. Detection of hepatitis E virus (HEV) from porcine livers in Southeastern Germany and high sequence homology to human HEV isolates. J Clin Virol. 2011; 52(1):50-54. Google Scholar
- Faber M, Askar M, Stark K. Case-control study on risk factors for acute hepatitis E in Germany, 2012 to 2014. Euro Surveill. 2018; 23(19):17-00469. Google Scholar
- Kokkinos P, Kozyra I, Lazic S. Harmonised investigation of the occurrence of human enteric viruses in the leafy green vegetable supply chain in three European countries. Food Environ Virol. 2012; 4(4):179-191. Google Scholar
- Maunula L, Kaupke A, Vasickova P. Tracing enteric viruses in the European berry fruit supply chain. Int J Food Microbiol. 2013; 167(2):177-185. Google Scholar
- Lv F, Zhao Y, Yang XD. Acute hepatitis E induced the first episode of immune-mediated thrombotic thrombocytopenic purpura: the first case report. Infect Drug Resist. 2023; 16:5149-5154. Google Scholar
- Bazerbachi F, Haffar S, Garg SK, Lake JR. Extra-hepatic manifestations associated with hepatitis E virus infection: a comprehensive review of the literature. Gastroenterol Rep. 2016; 4(1):1-15. Google Scholar
- Abravanel F, Pique J, Couturier E. Acute hepatitis E in French patients and neurological manifestations. J Infect. 2018; 77(3):220-226. Google Scholar
- Nobuhara C, Cardona DM, Arcasoy MO, Berg CL, Barbas AS. Immune thrombocytopenia associated with hepatitis B virus and autoimmune hepatitis and recovery of platelet count following liver transplantation. Case Rep Transplant. 2021; 2021:8484106. Google Scholar
- García-Suárez J, Burgaleta C, Hernanz N. HCV-associated thrombocytopenia: clinical characteristics and platelet response after recombinant alpha2b-interferon therapy. Br J Haematol. 2000; 110(1):98-103. Google Scholar
- Abhinandan HS, Dewan V, Choudhary M. Hepatitis E: a rare cause of immune thrombocytopenic purpura. Indian J Case Rep. 2020; 6(6):310-311. Google Scholar
- Singh NK, Gangappa M. Acute immune thrombocytopenia associated with hepatitis E in an adult. Am J Hematol. 2007; 82(10):942-943. Google Scholar
- Colson P, Payraudeau E, Leonnet C. Severe thrombocytopenia associated with acute hepatitis E virus infection. J Clin Microbiol. 2008; 46(7):2450-2452. Google Scholar
- Herishanu Y, Katchman H, Polliack A. Severe hepatitis B virus reactivation related to ibrutinib monotherapy. Ann Hematol. 2017; 96(4):689-690. Google Scholar
- Ogawa E, Wei MT, Nguyen MH. Hepatitis B virus reactivation potentiated by biologics. Infect Dis Clin North Am. 2020; 34(2):341-358. Google Scholar
- Ankcorn M, Moreira F, Ijaz S. Absence of persistent hepatitis E virus infection in antibody-deficient patients is associated with transfer of antigen-neutralizing antibodies from immunoglobulin products. J Infect Dis. 2019; 219(2):245-253. Google Scholar
- Kamar N, Abravanel F, Behrendt P. Ribavirin for hepatitis E virus infection after organ transplantation: a large European retrospective multicenter study. Clin Infect Dis. 2020; 71(5):1204-1211. Google Scholar
- Kamar N, Del Bello A, Abravanel F, Pan Q, Izopet J. Unmet needs for the treatment of chronic hepatitis E virus infection in immunocompromised patients. Viruses. 2022; 14(10):2116. Google Scholar
- Kemming J, Gundlach S, Panning M. Mechanisms of CD8+ T-cell failure in chronic hepatitis E virus infection. J Hepatol. 2022; 77(4):978-990. Google Scholar
- Wahid A, Meyer N, Wundes C. Extrahepatic replication and genomic signatures of the hepatitis E virus in the kidney. Liver Int. 2025; 45(7):e70183. Google Scholar
- Wang L, Yan L, Jiang J. Presence and persistence of hepatitis E virus RNA and proteins in human bone marrow. Emerg Microbes Infect. 2020; 9(1):994-997. Google Scholar
- Sayed IM, Abd Elhameed ZA, Abd El-Kareem DM. Hepatitis E virus persistence and/or replication in the peripheral blood mononuclear cells of acute HEV-infected patients. Front Microbiol. 2021; 12:696680. Google Scholar
- K. Gupta S, Kantesaria B, Glue P. Exploring the influence of renal dysfunction on the pharmaco-kinetics of ribavirin after oral and intravenous dosing. Drug Discov Ther. 2014; 8(2):89-95. Google Scholar
- Debing Y, Ramière C, Dallmeier K. Hepatitis E virus mutations associated with ribavirin treatment failure result in altered viral fitness and ribavirin sensitivity. J Hepatol. 2016; 65(3):499-508. Google Scholar
- Barnaud E, Rogée S, Garry P, Rose N, Pavio N. Thermal inactivation of infectious hepatitis E virus in experimentally contaminated food. Appl Environ Microbiol. 2012; 78(15):5153-5159. Google Scholar
- Mazahreh F, Mazahreh L, Schinke C. Risk of infections associated with the use of bispecific antibodies in multiple myeloma: a pooled analysis. Blood Adv. 2023; 7(13):3069-3074. Google Scholar
- Cani L, Scott SA, Joseph NS. Risk of infections in multiple myeloma patients treated with bispecific antibodies. Blood. 2024; 144(Suppl 1):3311. Google Scholar
- Raje N, Anderson K, Einsele H. Monitoring, prophylaxis, and treatment of infections in patients with MM receiving bispecific antibody therapy: consensus recommendations from an expert panel. Blood Cancer J. 2023; 13(1):116. Google Scholar
- Rodriguez-Otero P, Usmani S, Cohen AD. International Myeloma Working Group immunotherapy committee consensus guidelines and recommendations for optimal use of T-cell-engaging bispecific antibodies in multiple myeloma. Lancet Oncol. 2024; 25(5):e205-e216. Google Scholar
- Ludwig H, Terpos E, van de Donk N. Prevention and management of adverse events during treatment with bispecific antibodies and CAR T cells in multiple myeloma: a consensus report of the European Myeloma Network. Lancet Oncol. 2023; 24(6):e255-e269. Google Scholar
Figures & Tables
Article Information

This work is licensed under a Creative Commons Attribution-NonCommercial 4.0 International License.