Abstract
The presence of a single large site of disease or so-called tumor ‘bulk’ in lymphoma has been variably associated with outcomes and influenced management decisions. However, challenges arise in using bulk as a prognosticator due to varied definitions across different lymphoma subtypes but also within studies of each subtype, increased utility of positron emission tomography in decision-making and recent incorporation of novel therapies. We analyzed data from the Australasian Lymphoma Registry regarding presence and influence of bulk on outcomes and treatment decisions in six key subtypes: diffuse large B-cell, follicular, marginal zone, T-cell, Hodgkin and Burkitt lymphoma. Of the 5,090 eligible patients identified between 2016-2025, 88% had documented information on the presence of bulk (registry definition >5 cm). Patients with bulk were more likely to receive systemic chemotherapy alone, and less likely to have localized treatment alone (radiotherapy and/or surgery), compared to those without bulk. Bulk was associated with inferior overall survival in patients with diffuse large B-cell lymphoma, and superior overall survival in those with Hodgkin lymphoma, in the univariate analyses. Exploratory analyses using disease-specific bulk definitions from clinicians practicing in Australia and New Zealand showed inferior progression-free survival in patients with diffuse large B-cell lymphoma (bulk >7.5 cm) and inferior overall survival in those with Burkitt lymphoma (bulk >10 cm), but not other subtypes. We demonstrated real-world evidence of management heterogeneity for patients with bulk, with potential prognostic implications. International standardization of the definition of bulk is urged for uniform utility in positron emission tomography-based and molecular prognostication across clinical studies. Trial registered with the Australian New Zealand Clinical Trials Registry: ANZCTRN12617000050358.
Introduction
The measure of lymphoma tumor burden at the time of diagnosis, and specifically the presence of a single large site of disease or so-called tumor ‘bulk’ has, for decades, been incorporated into both prognostication and treatment decision-making across multiple lymphoma subtypes.1-6 Bulk has proven prognostic value in historical studies of T-cell lymphoma (TCL) and follicular lymphoma (FL).2, 7 Bulk is associated with local treatment failure in early diffuse large B-cell lymphoma (DLBCL) and supports treatment paradigms incorporating radiotherapy in Hodgkin lymphoma (HL).3, 8
The recent advent of molecular imaging, allowing more accurate detection of metabolically active disease at baseline and after therapy, raises questions regarding the value of using bulk as part of clinical evaluation and decision-making.9-11 In the current era of the use of positron emission tomography (PET), baseline bulk still dictates the management of limited-stage DLBCL, as well as early-stage HL treatment paradigms, but uncertainty arises in the use of bulk for treatment decisions relating to the added value of consolidative radiotherapy in patients with aggressive lymphoma with complete metabolic response on the post-chemotherapy PET.11-16 In the absence of validated prognostic indices which incorporate total metabolic tumor volume and other markers of tumor burden such as circulating tumor DNA, the presence of bulk remains a relevant measure influencing the treatment of indolent lymphomas such as FL,17 and as a risk factor for tumor lysis syndrome in aggressive diseases such as DLCBL and Burkitt lymphoma (BL).18
The use of baseline bulk in risk assessment and treatment decisions varies in clinical trials,19 attributed to the lack of a standard definition both within and across lymphoma subtypes.20 This variation is seen in the MabThera International Trial Group study in DLBCL examining rituximab (R) with CHOP (cyclophosphamide, doxorubicin, vincristine, and prednisone)-like chemotherapy in which participating hospitals were allowed to determine their own definitions (5, 7.5, or 10 cm).3,21 The tumor maximum diameter was used, but only a cut-off of 10 cm differentiated survival differences between patients with and without bulk in the study.3,21 While 10 cm was suggested as the threshold in the R-CHOP era, the study was unable to identify an optimal cut-off between 5 to 10 cm in a Martingale residual analsysis,3,21,22 demonstrating the difficulty in reliably applying a single cut-off for bulk in lymphoma.
The challenge of measuring bulk consistently and employing its presence as an independent risk tool is reflected by the absence of bulk as a risk factor from the majority of modern validated prognostic indices in which a combination of baseline clinical factors are utilized to stratify risk in lymphoma patients.4,6,19,23-31 The common DLBCL and FL prognostic scores do not incorporate bulk, including the International Prognostic Index (IPI),32 revised IPI (R-IPI),25 and National Comprehensive Cancer Network IPI,33 Follicular Lymphoma International Prognostic Index (FLIPI) and FLIPI2.6,26 Variations in data coding led to incomplete data regarding FL bulk precluding its inclusion as a potential variable in models.6,26 Large contemporary, real-world analyses are lacking to understand the characteristics of those patients presenting with disease bulk, its value in prognostication and utility in treatment decisions made by clinicians in routine care. Herein, we explore the presence of disease bulk in patients with lymphoma, with a focus on the prognostic value and influence on treatment decisions in Australian and New Zealand patients within the prospective Lymphoma and Related Diseases Registry (LaRDR).
Methods
In this multicenter registry study, newly diagnosed lymphoma patients aged ≥18 years were identified from the LaRDR. This is a clinical quality registry with 38 hospital sites, including tertiary and regional centers, across Australia and New Zealand. A detailed methodology of the LaRDR has been published elsewhere.34 We included patients with DLBCL, FL, marginal zone lymphoma (MZL), peripheral TCL, HL, and BL, according to the fourth edition of the World Health Organization (WHO) classification or its revisions captured at the time of data collection.35,36 Patients with primary mediastinal B-cell, mantle cell, and nodular lymphocyte-predominant Hodgkin lymphomas were excluded because of limited sample size. For analyses relevant to treatment type and outcome, patients on active surveillance alone (i.e. “watch and wait”) were excluded. Chronic lymphocytic leukemia/small lymphocytic lymphoma and cutaneous TCL patients were excluded from the analyses due to data unavailability in the LaRDR.
Definition of bulk
For our primary analysis, we extracted the presence of bulk, a single dimension of >5 cm for all disease subtypes, as defined by the LaRDR.34 The low threshold of 5 cm, along with the exact measurements were collected by the LaRDR to increase data capture due to large variations of cut-offs in different lymphoma subtypes.19 Given the discrepancies in the published definitions of bulk,9,20,37-43 we conducted exploratory analyses to evaluate the extent to which a different definition would affect the treatment selections, progression-free survival (PFS) and overall survival (OS) of patients with each lymphoma subtype.44 The most commonly used disease-specific bulk definitions identified on a survey of registry-affiliated clinicians were used. Provided options in this survey included 3 cm, 5 cm, 7 cm, 7.5 cm, 10 cm, one-third mediastinal mass ratio, or unknown across the lymphoma subtypes. Data on bulk diameter were categorized into groups according to the most frequently chosen cut-off for outcome analyses.
Data collection
Data extracted were patients’ demographics, disease characteristics including serum lactate dehydrogenase, B symptoms, extranodal involvement, staging, bulk (yes/no), maximum single dimension of bulk, and treatment protocols. R-IPI for DLBCL, FLIPI, MZL IPI and the Hasenclever international prognostic score (IPS) were derived.25,26,30,31 Frontline treatment selections were categorized into systemic therapy only, systemic therapy with consolidative radiotherapy, or localized treatment such as radiotherapy and/or surgical resection and/or Helicobacter pylori eradication therapy for patients with gastric MZL. Information on systemic therapy including chemotherapy and/or immunotherapy (e.g., rituximab) was collected. Given significant regulatory restrictions in accessing chimeric antigen receptor T-cell therapy and bispecific therapy in Australia and New Zealand, particularly during the period of this analysis, these were not available as options. Intensity for each therapeutic regimen delivered was categorized into low, standard, or high by consensus from the LaRDR investigators (Online Supplementary Table S1). Treatment responses reported include assessments by PET, computed tomography (CT), or PET-CT as collected by the LaRDR.
Statistical analyses
The patients’ characteristics, treatment selections and regimen intensity were described. Categorical variables were described in frequencies and percentages and compared using the χ2 test. Continuous variables were described with medians and ranges. We explicitly reported the number of evaluable records for each field. We performed Kaplan-Meier analyses on PFS and OS, and log-rank tests in the treated cohort for P values. PFS was defined as time from commencement of treatment to progression, relapse or death, while OS was defined as the interval from diagnosis to death from any cause. Hazard ratios (HR) were determined using Cox regression. Stage-specific analyses were applied to the HL patients as aligned with modern treatment paradigms regarding radiotherapy use, and risk stratification by bulk in clinical practice. Multivariate analyses on bulk, which applied to both the 5 cm and survey-defined cut-offs in the exploratory analysis, were conducted for DLBCL, FL and HL using disease-specific and validated prognostic indices. All analyses were conducted in Stata v17 (StatCorp LLC, College Station, TX, USA). This analysis is within the scope of the LaRDR protocol ethically approved by the Monash Health Human Research Ethics Committee (HREC/16/MonH/74).
Results
In total, 5,090 patients recruited to the LaRDR from 38 participating sites between January 1, 2016 and January 3, 2025 were included. A complete list of the participating sites of the LaRDR appears in the Online Supplementary Appendix. The median follow-up of the patients was 23.5 months.
Bulky disease
The presence of bulk according to the standardized LaRDR definition (>5 cm) was reported for 27.0% (1,372/5,090) of patients with available data (Table 1). Data on bulk were missing for 12.4% of the overall cohort and the rates differed across lymphoma subtypes (P=0.003) with the rate highest in MZL (16.4%) and lowest in BL (4.8%) (Table 1). The maximum dimension of bulk in a single site was reported in 86.7% (1,189/1,372) of cases (Table 1). Of these, 36.2% (431/1,189) had a diameter of >10 cm (8.5% of the total cohort). The anatomical site of bulky disease was available and documented in 99% (1,356/1,372) of cases with 72.4% (982/1,356) involving nodal areas and the remainder made up of extranodal sites with bone (10.8%, N=146) and gastrointestinal (5.8%, N=78) being the most common of these.
Patients’ characteristics
The patients’ characteristics according to the presence of bulk are presented in Table 2. Compared to patients without bulk, DLBCL patients with bulky disease were more likely to have advanced stage disease (P<0.001), elevated lactate dehydrogenase (P<0.001), B symptoms (P=0.004) and higher R-IPI (P<0.001); HL patients with bulk were more likely to be younger (P<0.001); FL patients with bulk were more likely to be male (P=0.003), and have advanced stage disease (P<0.001), elevated lactate dehydrogenase (P<0.001), B symptoms (P<0.001), and higher FLIPI (P<0.001); TCL and MZL patients with bulk were likely to have both advanced stage disease (P=0.011 and P=0.002, respectively) and B symptoms (P=0.026 and P=0.040, respectively).
Table 1.Details of bulk in all patients and each disease subtype.
Treatment selections
In patients who commenced any therapy, choice of frontline treatment employed was analyzed according to presence of bulk (Table 3). Compared to patients who did not present with bulk in the whole study cohort (P<0.001), patients with bulk were more likely to receive systemic chemotherapy alone, and less likely to have localized treatment alone. DLBCL patients with bulk were less likely to receive systemic chemotherapy alone, but more likely to receive chemotherapy with consolidative radiotherapy (P=0.017); FL and MZL patients with bulk were more likely to receive systemic chemotherapy alone, and less likely to receive localized treatment alone (P<0.001 and P=0.010, respectively).
Table 2.Patients’ characteristics according to presence of bulk in each disease subtype.
Table 3.Frontline treatment selection according to presence of bulk in each disease subtype.
Local radiotherapy and response assessment
Of the patients who received local radiotherapy alone (aggressive lymphoma, N=27; indolent lymphoma, N=221), there was no association between the presence of bulk and the aggressiveness of the lymphomas (P=0.40). No difference in the end-of-treatment response to radiotherapy was found between patients with or without bulk (P=0.53). Of the 29 patients who received local radiotherapy and were assessed by PET, 33.3% had bulk compared to 11.4% without bulk (P=0.002).
Systemic therapy treatment intensity
Presence of bulky disease in HL patients was associated with a higher likelihood of receiving systemic chemotherapy at high intensity, compared to absence of bulk (22.3% vs. 14.9%, respectively, P=0.047). No variations in the intensity of systemic chemotherapy were observed in patients with other lymphoma subtypes (Figure 1).
Figure 1.Systemic therapy treatment intensity according to the presence of bulk in each disease subtype. DLBCL: diffuse large B-cell lymphoma; HL: Hodgkin lymphoma; TCL: T-cell lymphoma; BL: Burkitt lymphoma; FL: follicular lymphoma; MZL: marginal zone lymphoma.
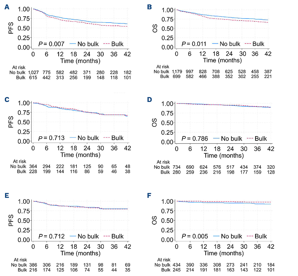
Figure 2.Survival outcomes of the patients according to the presence of bulky disease. (A) Progression-free survival (PFS) and (B) overall survival (OS) of patients with diffuse large B-cell lymphoma. (C) PFS and (D) OS of patients with follicular lymphoma. (E) PFS and (F) OS of patients with Hodgkin lymphoma.
Survival outcomes
Using the registry-defined presence of bulk, inferior OS was observed in DLBCL patients with bulk (HR=1.26, 95% confidence interval [95% CI]: 1.05-1.50, P=0.011) (Figure 2B). In all-stage HL patients, superior OS was observed in those with bulky disease, compared to those without bulk (HR=0.28, 95% CI: 0.11-0.73, P=0.009) (Figure 2F). This OS difference in HL patients did not persist when the subgroup analyses were restricted by stage into early-stage (HR not evaluable) or advanced-stage (HR=0.39, 95% CI: 0.15-1.02, P=0.056) disease cohorts. When adjusting for IPS, the OS of HL patients with bulk remained superior (adjusted HR=0.25, 95% CI: 0.10-0.64, P=0.004). However, when we further adjusted for IPS and age as a continuous variable, due to the strong association between age and bulky disease observed in Table 2, the difference in OS of HL patients was no longer sustained (adjusted HR=0.50, 95% CI: 0.16-1.54, P=0.23) (Table 4). The presence of bulk was not associated with any OS differences for FL (Figure 2D), MZL, TCL, or BL (Table 4, Online Supplementary Figure S1). Of note, the Kaplan-Meier curve for MZL showed a weak significant difference (Online Supplementary Figure S1F), but the estimate was not confirmed by the Cox proportional model in which the confidence intervals overlapped null (HR=2.04, 95% CI: 1.00-4.15), likely due to insufficient statistical power.
A statistical difference in PFS according to presence of bulk was only found in DLBCL (HR=1.27, 95%CI: 1.07-1.50, P=0.007) (Figure 2A, Table 4, Online Supplementary Figure S1) and not in FL (Figure 2C) or HL (Figure 2E).
Exploratory analyses
For the 56 participating registry-affiliated clinicians, the most common definitions of bulk used for each subtype were: FL, 7 cm; DLBCL, TCL and MZL, 7.5 cm; HL and BL, 10 cm (Online Supplementary Figure S2). Although both 7.5 cm and 10 cm were equally common selections for BL, we used 10 cm as this aligned with published literature.45,46 Analyses of the relationship between our survey-defined bulk and treatment selections for each disease subtype are described in Online Supplementary Table S2. Differences in treatment selections between bulky and non-bulky disease cohorts were observed for FL (N=232) using the 7 cm cut-off and MZL (N=38) using the 7.5 cm cut-off. Using these definitions of bulk, FL and MZL patients who had bulk and commenced treatments were more likely to receive systemic chemotherapy only, and less likely to have local treatment alone, compared to those who did not (P<0.001 and P=0.007, respectively).
When using survey-defined bulk cut-off, only inferior OS in BL (10 cm) and inferior PFS in DLBCL (7.5 cm) were found among all subtypes. However, upon adjusting for prognostic indices for DLBCL, HL and FL, the significant difference on PFS in DLBCL did not persist (Online Supplementary Table S3). To further investigate whether there was an optimal definition of bulk for survival prognostication, we generated hazard ratios for OS using the different size definitions of bulk employed by our three largest groups of lymphoma patients (DLBCL, FL and HL). Although the unadjusted hazard ratios for HL were demonstrating significant differences, the overlapping estimates indicated that no individual definitions were the optimal cut-off (Online Supplementary Table S4).
Discussion
This is the first registry analysis reporting the outcomes of tumor bulk in patients with six key subtypes of lymphoma. We found the presence of tumor bulk was associated with inferior PFS and OS in DLBCL, and superior OS in HL in the univariate analyses; however, only the difference of PFS in DLBCL was sustained in the multivariate analyses adjusting for prognostic indices. Compared to those without bulky disease, indolent lymphoma patients with bulk were less likely to receive local treatment alone; DLBCL patients with bulk were more likely to receive chemotherapy with consolidative radiotherapy; and HL patients with bulk were more likely to receive high-intensity systemic chemotherapy. The inferior OS of DLBCL patients with bulky disease in our cohort was consistent with that in the MabThera International Trial Group study who also received CHOP-like regimens.37 The superior OS in our all-stage HL cohort in the univariate analysis was similar to that in a multicenter study of advanced-stage HL patients with bulky disease (≥5 cm);47 further analysis of our advanced-stage HL was limited by the small sample size.
Table 4.Hazard ratios of progression-free survival and overall survival according to bulk in all patients and each disease subtype.
Associations between presence of bulk and frontline treatment selections were found in the overall cohort when using a pan-lymphoma definition (5 cm), and specifically in FL (7 cm) and MZL (7.5 cm) with the disease-based definitions. These indolent lymphoma data align with the Group d’ Etude des Lymphomes Folliculaires criteria recommendations,17 commencing treatment due to high tumor burden (7 cm). Mandated national guidelines on lymphoma diagnosis and treatments were not available in Australia and New Zealand, although recommendations from local expert groups were published to guide clinical practice.48-52 Among those, tumor bulk was mentioned in DLBCL.50 Future analyses to evaluate practice adherence to the consensus guidelines could be insightful in revealing the potential reasons for the choice of tumor bulk definitions.
We were able to assess bulk using one unified definition across the cases (5 cm) and also the disease-based definitions identified by clinicians. In the exploratory analyses using the survey-defined cut-offs on the single maximum dimensions collected by the LaRDR, OS differences in HL (10 cm) were no longer observed, whereas OS for BL (10 cm) became inferior. The PFS difference for DLBCL (7.5 cm), however, was sustained. The sample size in the exploratory analyses was restricted by the availability of the maximum dimensions, which may have led to these varied findings. Nonetheless, the heterogeneity in observed outcomes suggests prognostic significance between bulky disease and its definitions. We welcome international collaboration to undertake further evaluation to inform a data-driven consensus for definitions of bulk. Forming a larger cohort of patients from international registry datasets would also enable validation of our findings.
Similar to our exploratory analysis in DLBCL, extranodal disease bulk (7.5 cm) was prognostic for PFS in a Korean clinical trial of patients with bulky DLBCL receiving R-CHOP.53 Further subgroup analysis by nodal or extranodal bulk was unavailable in our study because the reported bulky disease was pre-defined by hospitals participating in the LaRDR. As for our HL cohort, the OS differences did not persist using a 10 cm cut-off, contrary to a multicenter retrospective study suggesting a U-shaped relationship between bulk and superior OS pivoting at 10 cm.47 Future studies concentrating on the prognosis of HL would be desirable as long-term follow-up data become available.
We are limited by the small sample sizes of subgroups such as the rarer lymphomas in our cohort, and relatively short follow-up data for patients with indolent lymphoma, potentially reducing the statistical power. In particular, the sample sizes for TCL, MZL and BL were too small to perform multivariate analyses to assess the true effect of tumor bulk on prognosis. Infrastructure to collect measurements of bulky disease centrally with graphics representation, interim PET scans, tumor lysis syndrome, and indications for regimen choice were unavailable in the LaRDR. In addition, the absence of a standardized timepoint for performing interim PET in Australian and New Zealand clinical practice precludes inclusion of the ensuing data in the results. Furthermore, we noted variability in rates of missing data according to histology and specific diameters of largest lesions were missing in 12.4% of the overall cases, indicating the challenges of obtaining accurate data in routine care. Potential variation in using a standard measure of bulk by unidimensional parameters in trials may be reflected in clinical practice,54 and this variation extends to different LaRDR participating sites and individual radiologists. Other limitations of registry data include the difficulties in determining how sites determined the definition of bulky disease (as bulky disease is a binary yes/no option and the size of the largest node provided), whether the presence of extranodal disease dictated or contributed to decisions to treat or the reasons for clinicians’ decisions in choosing particular treatment paradigms. Finally, the inclusion of the cohort of patients who received localized therapy was intended to provide an accurate representation of real-world patients though noting that localized therapy itself may not be standard of care for certain lymphomas, particularly the aggressive subtypes.
While our study focuses on the absolute size of bulk, we do recognize from a clinical perspective that the associated disease and location of bulk, rather than the threshold, can also be significant in dictating treatments and anticipating complications. Superior vena cava obstruction, airway compromise and nerve impingements are often presenting symptoms of large mediastinal lymphomas. BL and other high-grade B-cell lymphomas confer a risk of perforation at extranodal sites such as the gastrointestinal tract given their propensity for rapid proliferative invasion. Additionally, in splenic MZL, treatment is indicated for clinical symptom burden of bulk rather than a pre-defined threshold.
The choice of focusing on survival outcomes such as PFS or OS, rather than response to treatment (while appreciating this is key determinant of outcomes), relates to the latter being heavily impacted or confounded by treatment-specific factors (including intensity of regimen, deliverability and timing of imaging after therapy). Survival outcomes may reflect more stable indicators of baseline prognosis. Bulk did not demonstrate independent prognostic value in our study in a multivariate analysis with other baseline features; therefore, we avoided including other variables that are heavily influenced by treatment (such as disease-free intervals, intensity of treatment, disease response). This is partly due to the registry not collecting robust data on reasons for particular treatment paradigms, which can influence response as mentioned earlier.
The uncertainties in determining the parameters for bulk assessment, and its values in prognostication and treatment decisions continue to challenge the clinical trials which rely on tumor burden as a measure of disease, stratification and enrolment. Other measures of tumor burden such as novel PET metrics,9 harnessing artificial intelligence and genomic techniques, are likewise challenged by the lack of validated algorithms and standard definitions.
In summary, we found associations between tumor bulk and outcomes in DLBCL and all-stage HL cohorts using a pan-lymphoma definition of bulk (>5 cm) in the univariate analyses, but these did not retain significance in multivariate testing. The presence of bulk was associated with greater use of systemic treatment and lesser use of localized treatment alone in the study cohort, but did not influence the intensity of chosen regimen except in HL. Clinical use of bulky disease in management approaches is more consistent with international guidelines in indolent lymphoma than in other subtypes with respect to definition and treatment choice. The presence, or absence, of bulk and its definition are fraught with high variation in the contributing factors. Thus, determining the optimal definition of disease bulk for each subtype, the associations with underlying biology, and evaluating the utility of this metric in the modern PET era, are priorities for future research.
Footnotes
- Received March 28, 2025
- Accepted September 15, 2025
Correspondence
Disclosures
AB has received honoraria from and/or participated in advisory boards for Beigene, Novartis, Gilead and Roche. BAC has sat on an advisory board for and received an honorarium (paid to her institution) from Kyowa Kirin. AMJ has received honoraria from and/or participated in advisory boards for Beigene, Merck Sharp & Dohme, Roche and Takeda. PDC has received honoraria from Janssen, Gilead/Kite and AstraZeneca and held advisory roles for Gilead/Kite and Specialised Therapeutics. GPG has received research funding (paid to his institution) from Merck, BeiGene, AbbVie and AstraZeneca; and has performed consultancy or advisory roles for Roche, Merck, Gilead, Novartis, Janssen and Prelude Therapeutics. CST has received honoraria from Janssen, AbbVie, LOXO, BeiGene and AstraZeneca; and research funding from Janssen, AbbVie and BeiGene. SO has received research funding (paid to his institution) from AbbVie, AstraZeneca, BeiGene, Gilead, Janssen, Pharmacyclics, Roche and Takeda; and has acted in an advisory role and received honoraria from Abbvie, AstraZeneca, BeiGene, Gilead, Janssen, Merck, Roche and Takeda. EMW and ZKM have received research funding (paid to their institution) from AbbVie, Amgen, Antengene, AstraZeneca, BeiGene, Bristol Myers Squibb, Celgene, CSL Behring, Gilead, Janssen, Novartis, Roche, Sandoz, Sanofi and Takeda, and product support for a clinical trial from Sobi. EAH has received research funding (paid to her institution) from Roche, Bristol Myers Squibb, Merck KgA, AstraZeneca, TG Therapeutics and Merck; has performed consultant or advisory roles (*paid to her institution) for Roche*, Merck Sharpe & Dohme*, AstraZeneca*, Gilead, Antengene*, Novartis*, Regeneron, Janssen*, Specialised Therapeutics* and Sobi*; and received travel expenses from AstraZeneca. EC, LW, CW, GC and GH have no conflicts of interest to disclose.
Contributions
EC, LW, CW, ZKM and EAH designed the study analysis. EC, CW, and EAH conducted the analysis and wrote the manuscript with LW. AB, BAC, GC, PDC, GPG, GH, AMJ, CST, SO, EMW and ZKM contributed to data interpretation. All authors approved the final manuscript.
Acknowledgements
We acknowledge the additional contributing registry management team, LaRDR participants, site staff and site Principal Investigators. EC acknowledges support from an Australian Government Research Training Program (RTP) Scholarship.
References
- Bröckelmann PJ, Müller H, Casasnovas O. Risk factors and a prognostic score for survival after autologous stem-cell transplantation for relapsed or refractory Hodgkin lymphoma. Ann Oncol. 2017; 28(6):1352-1358. Google Scholar
- Janikova A, Chloupkova R, Campr V. First-line therapy for T cell lymphomas: a retrospective population-based analysis of 906 T cell lymphoma patients. Ann Hematol. 2019; 98(8):1961-1972. Google Scholar
- Pfreundschuh M, Ho AD, Cavallin-Stahl E. Prognostic significance of maximum tumour (bulk) diameter in young patients with good-prognosis diffuse large-B-cell lymphoma treated with CHOP-like chemotherapy with or without rituximab: an exploratory analysis of the MabThera International Trial Group (MInT) study. Lancet Oncol. 2008; 9(5):435-444. Google Scholar
- Rodday AM, Parsons SK, Upshaw JN. The Advanced-Stage Hodgkin Lymphoma International Prognostic Index: development and validation of a clinical prediction model from the HoLISTIC Consortium. J Clin Oncol. 2023; 41(11):2076-2086. Google Scholar
- Tubiana M, Henry-Amar M, Carde P. Toward comprehensive management tailored to prognostic factors of patients with clinical stages I and II in Hodgkin’s disease. The EORTC Lymphoma Group controlled clinical trials: 1964-1987. Blood. 1989; 73(1):47-56. Google Scholar
- Federico M, Bellei M, Marcheselli L. Follicular Lymphoma International Prognostic Index 2: a new prognostic index for follicular lymphoma developed by the International Follicular Lymphoma Prognostic Factor Project. J Clin Oncol. 2009; 27(27):4555-4562. Google Scholar
- Yahalom J. Radiotherapy of follicular lymphoma: updated role and new rules. Curr Treat Options Oncol. 2014; 15(2):262-268. Google Scholar
- Dreyling M, Ghielmini M, Marcus R. Newly diagnosed and relapsed follicular lymphoma: ESMO Clinical Practice Guidelines for diagnosis, treatment and follow-up. Ann Oncol. 2014; 25(Suppl 3):iii76-iii82. Google Scholar
- Delaby G, Hubaut MA, Morschhauser F. Prognostic value of the metabolic bulk volume in patients with diffuse large B-cell lymphoma on baseline (18)F-FDG PET-CT. Leuk Lymphoma. 2020; 61(7):1584-1591. Google Scholar
- Zanoni L, Bezzi D, Nanni C. PET/CT in non-Hodgkin lymphoma: an update. Semin Nucl Med. 2023; 53(4):320-351. Google Scholar
- Freeman CL, Savage KJ, Villa DR. Long-term results of PET-guided radiation in patients with advanced-stage diffuse large B-cell lymphoma treated with R-CHOP. Blood. 2021; 137(7):929-938. Google Scholar
- Aviles A, Delgado S, Nambo MJ, Alatriste S, Diaz-Maqueo JC. Adjuvant radiotherapy to sites of previous bulky disease in patients stage IV diffuse large cell lymphoma. Int J Radiat Oncol Biol Phys. 1994; 30(4):799-803. Google Scholar
- Held G, Murawski N, Ziepert M. Role of radiotherapy to bulky disease in elderly patients with aggressive B-cell lymphoma. J Clin Oncol. 2014; 32(11):1112-1118. Google Scholar
- Held G, Thurner L, Poeschel V. Radiation and dose-densification of R-CHOP in primary mediastinal B-cell lymphoma: subgroup analysis of the UNFOLDER trial. Hemasphere. 2023; 7(7):e917. Google Scholar
- Johnson PW, Sydes MR, Hancock BW, Cullen M, Radford JA, Stenning SP. Consolidation radiotherapy in patients with advanced Hodgkin’s lymphoma: survival data from the UKLG LY09 randomized controlled trial (ISRCTN97144519). J Clin Oncol. 2010; 28(20):3352-3359. Google Scholar
- Horning SJ, Hoppe RT, Breslin S, Bartlett NL, Brown BW, Rosenberg SA. Stanford V and radiotherapy for locally extensive and advanced Hodgkin’s disease: mature results of a prospective clinical trial. J Clin Oncol. 2002; 20(3):630-637. Google Scholar
- Brice P, Bastion Y, Lepage E. Comparison in low-tumor-burden follicular lymphomas between an initial no-treatment policy, prednimustine, or interferon alfa: a randomized study from the Groupe d’Etude des Lymphomes Folliculaires. Groupe d’Etude des Lymphomes de l’Adulte. J Clin Oncol. 1997; 15(3):1110-1117. Google Scholar
- Coiffier B, Altman A, Pui CH, Younes A, Cairo MS. Guidelines for the management of pediatric and adult tumor lysis syndrome: an evidence-based review. J Clin Oncol. 2008; 26(16):2767-2778. Google Scholar
- Wang L, Chung E, Wellard C. Definitions and use of tumor bulk in phase 3 lymphoma trials: a comprehensive literature review. Blood Adv. 2025; 9(9):2275-2284. Google Scholar
- Cheson BD, Fisher RI, Barrington SF. Recommendations for initial evaluation, staging, and response assessment of Hodgkin and non-Hodgkin lymphoma: the Lugano classification. J Clin Oncol. 2014; 32(27):3059-3068. Google Scholar
- Pfreundschuh M, Trumper L, Osterborg A. CHOP-like chemotherapy plus rituximab versus CHOP-like chemotherapy alone in young patients with good-prognosis diffuse large-B-cell lymphoma: a randomised controlled trial by the MabThera International Trial (MInT) group. Lancet Oncol. 2006; 7(5):379-391. Google Scholar
- Klein JP, Moeschberger ML. Survival analysis: techniques for censored and truncated data. 2003. Google Scholar
- Bachy E, Maurer MJ, Habermann TM. A simplified scoring system in de novo follicular lymphoma treated initially with immunochemotherapy. Blood. 2018; 132(1):49-58. Google Scholar
- Gallamini A, Stelitano C, Calvi R. Peripheral T-cell lymphoma unspecified (PTCL-U): a new prognostic model from a retrospective multicentric clinical study. Blood. 2004; 103(7):2474-2479. Google Scholar
- Sehn LH, Berry B, Chhanabhai M. The Revised International Prognostic Index (R-IPI) is a better predictor of outcome than the standard IPI for patients with diffuse large B-cell lymphoma treated with R-CHOP. Blood. 2007; 109(5):1857-1861. Google Scholar
- Solal-Celigny P, Roy P, Colombat P. Follicular Lymphoma International Prognostic Index. Blood. 2004; 104(5):1258-1265. Google Scholar
- Zhou Z, Sehn LH, Rademaker AW. An enhanced International Prognostic Index (NCCN-IPI) for patients with diffuse large B-cell lymphoma treated in the rituximab era. Blood. 2014; 123(6):837-842. Google Scholar
- Went P, Agostinelli C, Gallamini A. Marker expression in peripheral T-cell lymphoma: a proposed clinical-pathologic prognostic score. J Clin Oncol. 2006; 24(16):2472-2479. Google Scholar
- Weisenburger DD, Savage KJ, Harris NL. Peripheral T-cell lymphoma, not otherwise specified: a report of 340 cases from the International Peripheral T-cell Lymphoma Project. Blood. 2011; 117(12):3402-3408. Google Scholar
- Hasenclever D, Diehl V. A prognostic score for advanced Hodgkin’s disease. International Prognostic Factors Project on Advanced Hodgkin’s Disease. N Engl J Med. 1998; 339(21):1506-1514. Google Scholar
- Arcaini L, Bommier C, Alderuccio JP. Marginal zone lymphoma International Prognostic Index: a unifying prognostic index for marginal zone lymphomas requiring systemic treatment. EClinicalMedicine. 2024; 72:102592. Google Scholar
- The International Non-Hodgkin’s Lymphoma Prognostic Factors Project. A predictive model for aggressive non-Hodgkin’s lymphoma. N Engl J Med. 1993; 329(14):987-994. Google Scholar
- Zhou Z, Sehn LH, Rademaker AW. An enhanced International Prognostic Index (NCCN-IPI) for patients with diffuse large B-cell lymphoma treated in the rituximab era. Blood. 2014; 123(6):837-842. Google Scholar
- Lymphoma and Related Diseases Registry Investigators. Improving outcomes for patients with lymphoma: design and development of the Australian and New Zealand Lymphoma and Related Diseases Registry. BMC Med Res Methodol. 2022; 22(1):266. Google Scholar
- Swerdlow SH, Campo E, Harris NL. World Health Organization Classification of Tumours of Haematopoietic and Lymphoid Tissues. 2008. Google Scholar
- Swerdlow SH, Campo E, Harris NL. World Health Organization Classification of Tumours of Haematopoietic and Lymphoid Tissues. 2017. Google Scholar
- Pfreundschuh M, Ho AD, Cavallin-Stahl E. Prognostic significance of maximum tumour (bulk) diameter in young patients with good-prognosis diffuse large-B-cell lymphoma treated with CHOP-like chemotherapy with or without rituximab: an exploratory analysis of the MabThera International Trial Group (MInT) study. Lancet Oncol. 2008; 9(5):435-444. Google Scholar
- Hiddemann W, Kneba M, Dreyling M. Frontline therapy with rituximab added to the combination of cyclophosphamide, doxorubicin, vincristine, and prednisone (CHOP) significantly improves the outcome for patients with advanced-stage follicular lymphoma compared with therapy with CHOP alone: results of a prospective randomized study of the German Low-Grade Lymphoma Study Group. Blood. 2005; 106(12):3725-3732. Google Scholar
- Coiffier B, Osmanov EA, Hong X. Bortezomib plus rituximab versus rituximab alone in patients with relapsed, rituximab-naive or rituximab-sensitive, follicular lymphoma: a randomised phase 3 trial. Lancet Oncol. 2011; 12(8):773-784. Google Scholar
- Simon A, Peoch M, Casassus P. Upfront VIP-reinforced-ABVD (VIP-rABVD) is not superior to CHOP/21 in newly diagnosed peripheral T cell lymphoma. Results of the randomized phase III trial GOELAMS-LTP95. Br J Haematol. 2010; 151(2):159-166. Google Scholar
- Schmitz N, Truemper L, Bouabdallah K. A randomized phase 3 trial of autologous vs allogeneic transplantation as part of first-line therapy in poor-risk peripheral T-NHL. Blood. 2021; 137(19):2646-2656. Google Scholar
- Borchmann P, Plutschow A, Kobe C. PET-guided omission of radiotherapy in early-stage unfavourable Hodgkin lymphoma (GHSG HD17): a multicentre, open-label, randomised, phase 3 trial. Lancet Oncol. 2021; 22(2):223-234. Google Scholar
- Federico M, Luminari S, Iannitto E. ABVD compared with BEACOPP compared with CEC for the initial treatment of patients with advanced Hodgkin’s lymphoma: results from the HD2000 Gruppo Italiano per lo Studio dei Linfomi trial. J Clin Oncol. 2009; 27(5):805-811. Google Scholar
- Thabane L, Mbuagbaw L, Zhang S. A tutorial on sensitivity analyses in clinical trials: the what, why, when and how. BMC Med Res Methodol. 2013; 13(1):92. Google Scholar
- Mead GM, Sydes MR, Walewski J. An international evaluation of CODOX-M and CODOX-M alternating with IVAC in adult Burkitt’s lymphoma: results of United Kingdom Lymphoma Group LY06 study. Ann Oncol. 2002; 13(8):1264-1274. Google Scholar
- Barnes JA, Lacasce AS, Feng Y. Evaluation of the addition of rituximab to CODOX-M/IVAC for Burkitt’s lymphoma: a retrospective analysis. Ann Oncol. 2011; 22(8):1859-1864. Google Scholar
- Qi S, Milgrom S, Dabaja B. Two distinct prognostic groups in advanced-stage Hodgkin lymphoma revealed by the presence and site of bulky disease. Blood Adv. 2020; 4(9):2064-2072. Google Scholar
- Cochrane T, Campbell BA, Gangatharan SA. Assessment and management of newly diagnosed classical Hodgkin lymphoma: a consensus practice statement from the Australasian Lymphoma Alliance. Intern Med J. 2021; 51(12):2119-2128. Google Scholar
- Hapgood G, Latimer M, Lee ST. Diagnosis, management and follow up of peripheral T-cell lymphomas: a consensus practice statement from the Australasian Lymphoma Alliance. Intern Med J. 2022; 52(10):1806-1817. Google Scholar
- Wight J, Hamad N, Campbell BA. Diffuse large B-cell lymphoma: a consensus practice statement from the Australasian Lymphoma Alliance. Intern Med J. 2022; 52(9):1609-1623. Google Scholar
- Cochrane T, Campbell BA, Gangatharan SA. Assessment and management of newly diagnosed classical Hodgkin lymphoma: a consensus practice statement from the Australasian Lymphoma Alliance. Intern Med J. 2021; 51(12):2119-2128. Google Scholar
- Lasica M, Anderson MA, Boussioutas A. Marginal zone lymphomas: a consensus practice statement from the Australasian Lymphoma Alliance. Intern Med J. 2024; 54(6):1017-1030. Google Scholar
- Song MK, Chung JS, Sung-Yong O. Clinical impact of bulky mass in the patient with primary extranodal diffuse large B cell lymphoma treated with R-CHOP therapy. Ann Hematol. 2010; 89(10):985-991. Google Scholar
- Buteau JP, Seymour JF, Hofman MS. The evolving definition of bulky disease for lymphoma. Leuk Lymphoma. 2020; 61(7):1525-1528. Google Scholar
Data Supplements
Figures & Tables
Article Information

This work is licensed under a Creative Commons Attribution-NonCommercial 4.0 International License.