Acute myeloid leukemia (AML) is an aggressive cancer with poor outcomes. Prior studies suggest non-white patients have inferior survival. This could be due to differences such as mutations in genes not previously associated with AML, higher rates of inflammation, and differences in transcriptomics.1 Multiple studies have shown Hispanic ethnicity is associated with decreased overall survival (OS).2,3 Female sex has improved OS.4 Whether this is applicable to community practice and the extent to which differences are due to biological or environmental factors is unclear. We utilized the Flatiron Health database and analyzed AML outcomes by factors such as race, ethnicity, sex, and socioeconomic status (SES). Given most AML patients are treated in the community, our goal was to re-examine AML outcomes by demographic factors using a real-world dataset of academic and community centers. Our goal was to expand upon previously investigated differences in clinical outcomes for AML patients given that half of AML patients are cared for in non-academic centers.5,6
Institutional Review Board approval was obtained through The University of Colorado. Data were obtained from Flatiron Health. The nationwide Flatiron Health electronic health record (EHR)-derived database is a longitudinal database, comprising de-identified patient-level structured and unstructured data, curated via technology-enabled abstraction.7, 8 The de-identified data originated from approximately 280 US-based cancer clinics (800 sites of care). Most patients in the database originate from community oncology settings. The data are de-identified and subject to obligations to prevent re-identification and protect patient confidentiality. Flatiron Health’s proprietary variable for SES is created using data from the American Community Survey (2015-2019) in conjunction with the Yost Index. The SES variable is then divided into quintiles for the population based on residential address.9 The lowest SES quintile is denoted with a 1 and the highest SES quintile is denoted with a 5.
All patients meeting study criteria were included. Inclusion criteria required patients to be age 18 years or greater and carry a diagnosis of AML diagnosed via bone marrow biopsy. Patients with a diagnosis other than AML, a diagnosis of treatment related AML, or a diagnosis of acute promyelocytic leukemia were excluded. Treatment-related AML was excluded given that it portends a higher risk disease state, and we were interested in examining outcomes for de novo AML. A minimum of 2 months of follow-up data were required. A data cuffoff date of June 30, 2022 was used for analysis. The variable AML risk status is abstracted from chart review based on treating physician documentation. Race is a variable provided with options of White, Black, Asian, or other.
Ethnicity is a variable provided with options of Hispanic or non-Hispanic. Sex is biologic sex with options for male or female. Treatment categorization is provided in Online Supplementary Table S1.
The primary objective was OS stratified by demographic characteristics. OS was examined by first-line treatment. OS was defined as time between date of diagnosis of AML and death. Date of last visit was used for censored patients. Cox regression survival analysis was performed for univariate and multivariate analysis. Secondary objectives included examining the effect of novel AML treatments on outcomes and assessing rate of allogenic stem cell transplantation.
Three thousand and 333 patients were included (Table 1). The population was predominantly over 60 years old (70.4%), male sex (58.2%), non-Hispanic ethnicity (93.4%), and White race (75.2%). Black patients were more likely to have low SES. Asian patients had lower rates of high-risk disease. White patients had higher rates of NPM1 mutations.
With a median follow-up of 3.34 years, the median OS (mOS) for the population was 15.8 months (95% confidence interval [CI]: 15-16.9). Older age was associated with decreased survival (Figure 1). OS was assessed by race, ethnicity, sex, and SES quintile for the population (Online Supplementary Table S2). Patient race was not associated with a statistically significant difference in mOS. Female sex was associated with improved OS, which is consistent with prior studies. Hispanic ethnicity was associated with improved OS compared to non-Hispanic ethnicity (22.7 months vs. 15.2 months). When examining OS by race and ethnicity, Hispanic White patients had improved OS at 28.5 months (95% CI: 16.7-98) versus non-Hispanic White patients OS at 15.4 months (95% CI: 14.3-16.7) (P=0.006). Samples sizes were not sufficient to analyze by Black race and ethnicity.
Lower SES was associated with inferior OS. mOS by SES showed improved OS for patients with high SES status (quintile 4 or 5) at 17.2 months (95% CI: 15.7-18.6) compared to patients with low SES (quintile 1 or 2) at 16.1 months (95% CI: 14.1-18.0) (P=0.03).
First line treatment analysis showed greater use of 7+3 in Black versus White patients (44.7% vs. 42.7%) (Table 1). This could be confounded by the younger median age of the Black patient population versus white population (58.9 years vs. 65.7 years).
First-line treatment by SES quintile was significant for low SES having higher rates of 7+3 (SES 1 9.7%, SES 2 8.8%) versus high SES (SES 4 5.4%, SES 5 5.2%) (P=0.0010). The median age for SES 1 was 66 years and SES 2 was 67 years versus SES 4 and 5 with median age of 69 years. High SES had higher clinical trial enrollment versus low SES (SES 1 3.6%, SES 2 6.3% vs. SES 4 8.3%, SES 5 9.9%; P=0.0003). Given a difference in outcomes by SES, we questioned whether outcomes were impacted by access to novel therapies introduced in 2017. We hypothesized that low SES would result in decreased access to novel therapies given high out of pocket cost.
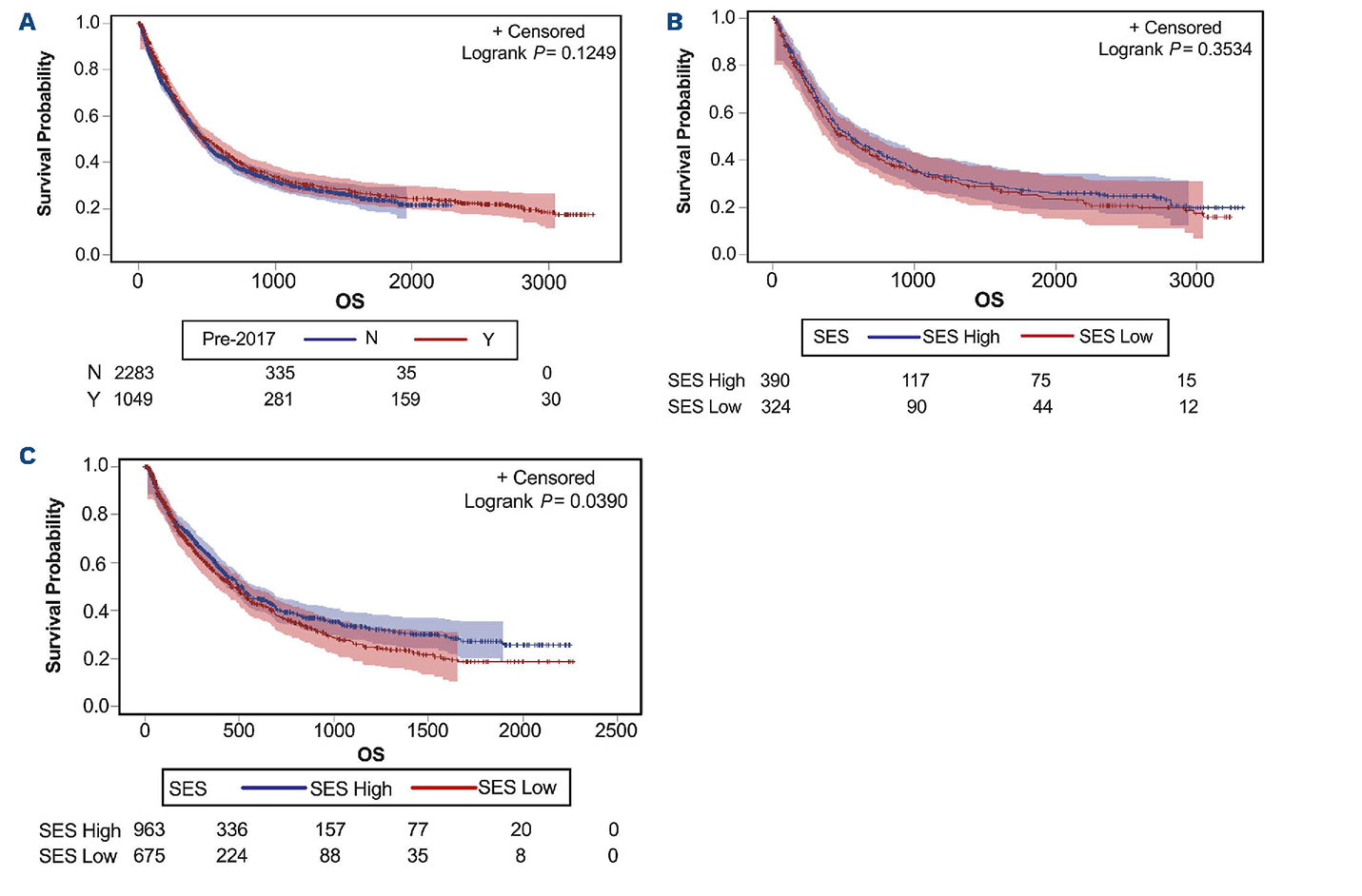
mOS for all patients was 16.5 months pre-2017 versus 15.7 months post-2017 (Figure 2A). When pre-2017 patients were assessed by SES, mOS was similar. For low SES, mOS was 17.2 months (95% CI: 13.7-21.5) and high SES mOS was 18.2 months (95% CI: 14.7-22.9) (P=0.3534) (Figure 2B). After 2017, low SES was associated with decreased OS. mOS for low SES post-2017 was 15.2 months (95% CI: 13.2-17.7) versus high SES at 17 months (95% CI: 15.3-18.4) (P=00390) (Figure 2C). To determine what impacted OS for low SES before and after 2017 we examined the use of intensive induction therapy, novel AML agents, clinical trial enrollment and allogeneic bone marrow transplant. Pre-2017 low SES patients were less likely to receive 7+3 chemotherapy (31.2% vs. 35.9%; P=0.0052), less likely to enroll in a clinical trial (4.9% vs. 11.0%; P=0.0081), and less likely to undergo an allogeneic stem cell transplant (33.6% vs. 66.4%; P=<0.0001) compared to high SES patients. Post-2017 low SES patients had higher rates of intensive induction chemotherapy, lower rates of clinical trial enrollment and had lower rates of allogeneic stem cell transplant (Online Supplementary Table S3). Rates of novel AML agent use were not statistically significant (24% vs. 28.3%) but could be clinically significant.
Table 1.Demographic factors of study population.
This is a real world study of AML patients treated at academic and community centers. Prior studies demonstrated Black AML patients have worse OS versus White patients. Our study did not find a difference in OS by race which could have been due to small sample size. Hispanic ethnicity had improved OS, a novel finding.10 The lower rate of CHIP among Hispanic patients may contribute to decreased incidence of MDS and subsequently, AML.11 Female sex was associated with improved outcomes which is consistent with prior research.
The study demonstrates low SES impacts outcomes. Low SES patients had worse OS, decreased utilization of novel agents, lower rates of clinical trial enrollment and transplant which impact survival. Even in the era of post-transplant cytarabine allowing for greater donor mismatch, rates of allogenic transplant were still lower. Consistent with our findings, a study of English patients showed low SES had a negative impact on OS for AML.12 In an analysis of Danish residents with AML, low SES status was associated with worse outcomes for AML.13 This suggests access to insurance is not the only factor affecting outcomes. For our patient cohort, the differences in transplant and clinical trials may have impacted OS.
Figure 1.Median overall survival by age group. Median overall survival (mOS) was assessed by pre-specified age groups. mOS for patients age 18-39 years (blue) was 90.3 months (95% confidence interval [CI]: 51.9-not reached), for patients aged 40-59 years (red) was 35.3 months (95% CI: 27.4-51.9) and for patients aged ≥ 60 (green) was 11.9 months (95% CI: 11.2-12.6)
Figure 2.Median overall survival by year of diagnosis and socioeconomic status. (A) Median overall survival (mOS) was assessed by year of diagnosis for either before 2017 (red) or after 2017 (blue). mOS for diagnosis before 2017 was 16.5 months (95% confidence interval [CI]: 14.6-18.9) compared to mOS for diagnosis after 2017 which was 15.7 months (95% CI: 14.7-16.8); P=0.1249. (B) mOS by low (blue) versus high (red) socioeconomic status (SES) pre-2017. (C) mOS by low (blue) versus high (red) SES post-2017.
This analysis has its limitations. This is a retrospective review of real-world data and the analysis is impacted by patient sample sizes and data limitations. The study population was predominantly White and may not be representative of the US population. Race and SES may be confounded by other risk factors not included in the dataset. Analysis was not stratified by prior hematologic malignancy which could impact outcomes. Requiring 2 months of follow-up could introduce bias as patients with early death may be excluded. This analysis demonstrates the need to continue investigation on the impact of ethnicity, SES, and access to care on outcomes for AML patients.
Footnotes
- Received April 29, 2025
- Accepted September 1, 2025
Correspondence
Disclosures
CD discloses advisory board roles with EMD Serono and Cogent Biosciences. All other authors have no conflicts of interest to disclose.
Contributions
Funding
The authors would like to acknowledge Flatiron Health for sponsoring this research through grant funding.
References
- Stiff A, Fornerod M, Kain BN. Multiomic profiling identifies predictors of survival in African American patients with acute myeloid leukemia. Nat Genet. 2024; 56(11):2434-2446. Google Scholar
- Abraham IE, Rauscher GH, Patel AA. Structural racism is a mediator of disparities in acute myeloid leukemia outcomes. Blood. 2022; 139(14):2212-2226. Google Scholar
- Abraham IE, Patel AA, Wang H. Impact of race on outcomes in intermediate-risk acute myeloid leukemia. Cancer Causes Control. 2021; 32(7):705-712. Google Scholar
- Hossain MJ, Xie L. Sex disparity in childhood and young adult acute myeloid leukemia (AML) survival: evidence from US population data. Cancer Epidemiol. 2015; 39(6):892-900. Google Scholar
- Bhatt VR, Shostrom V, Giri S. Early mortality and overall survival of acute myeloid leukemia based on facility type. Am J Hematol. 2017; 92(8):764-771. Google Scholar
- Zeidan AM, Podoltsev NA, Wang X. Patterns of care and clinical outcomes with cytarabine-anthracycline induction chemotherapy for AML patients in the United States. Blood Adv. 2020; 4(8):1615-1623. Google Scholar
- Birnbaum B, Nussbaum N, Seidl-Rathkopf K. Model-assisted cohort selection with bias analysis for generating large-scale cohorts from the EHR for oncology research. arXiv. 2020. Google Scholar
- Ma X, Long L, Moon S, Adamson BJS, Baxi SS. Comparison of population characteristics in real-world clinical oncology databases in the US: Flatiron Health, SEER, and NPCR. medRxiv. 2023. Google Scholar
- Guadamuz JS, Wang X, Ryals CA. Socioeconomic status and inequities in treatment initiation and survival among patients with cancer, 2011-2022. JNCI Cancer Spectr. 2023; 7(5):pkad058. Google Scholar
- Darbinyan K, Shastri A, Budhathoki A. Hispanic ethnicity is associated with younger age at presentation but worse survival in acute myeloid leukemia. Blood Adv. 2017; 1(24):2120-2123. Google Scholar
- Wen S, Kuri-Morales P, Hu F. Comparative analysis of the Mexico City Prospective Study and the UK Biobank identifies ancestry-specific effects on clonal hematopoiesis. Nat Genet. 2025; 57(3):572-582. Google Scholar
- Liu H, Stanworth SJ, McPhail S. Impact of patient demographics on treatment outcomes in AML: a population-based registry in England, 2013-2020. Blood Adv. 2024; 8(17):4593-4605. Google Scholar
- Nielsen LH, Kristensen DT, Jakobsen LH. Socioeconomic status and overall survival among patients with hematological malignant neoplasms. JAMA Netw Open. 2024; 7(3):e241112. Google Scholar
Data Supplements
Figures & Tables
Article Information

This work is licensed under a Creative Commons Attribution-NonCommercial 4.0 International License.