Despite improvements in cancer survival overall, disparities in multiple myeloma (MM) outcomes remain, particularly for rural and minority populations.1-3 These populations face several barriers that intensify health disparities, including lower education levels; higher rates of poverty and unemployment as well as employment in low-wage occupations; lower rates of health insurance coverage (especially among individuals under age 65 who are not eligible for Medicare); and limited health care access due to lack of provide in rural areas.4 In Arkansas, these disparities are amplified by racial and geographical segregation, which, coupled with the state’s high rural population, creates significant barriers to healthcare access and contributes to poorer outcomes across various health conditions, including MM.
We analyzed 4,713 MM patients who underwent autologous stem cell transplant at the University of Arkansas for Medical Sciences (UAMS), the state’s sole transplant center, to assess the impact of race, geography, clinical risk, and socioeconomic factors on overall survival (OS) and progression-free survival (PFS). Black metro patients had the best outcomes, however, rural patients, particularly those from the Arkansas’s Lower Delta region, had worse survival and delayed diagnosis. These disparities were larger in PFS for Black patients and OS in White patients. Social vulnerability - such as poverty, unemployment and lack of transportation - was strongly associated with poorer PFS. These findings highlight persistent and widening gaps between outcomes based on geography, race and socioeconomic status.
Figure 1.Analysis overview. (A) The initial dataset contained patients that came from all 50 states (N=4,713). The initial stratification was based on biological sex and then we performed comparisons on Black/White, metro/non-metro and Arkansas/Other. (B) A subset of the dataset that had microarray gene expression which provides the ability to calculate risk and multiple myeloma (MM) subtype (N=1,808). Stratified by risk, MM subtype and biological sex. (C) Subset of only patients that reside in Arkansas with the state divided into 6 regions (N=1,027). SVI: Social Vulnerability Index.
We leveraged data from the Arkansas 4000 (AR4000) cohort (1989-2018), after excluding non-residents and those with missing race information (Online Supplementary Table S1).5 This study received approval from the UAMS Institutional Review Board (IRB #239657). The dataset includes patients from all 50 US states, the District of Columbia, and all 75 Arkansas counties. We analyzed a subset of 1,027 Arkansan residents and 1,808 patients with gene expression profiling (GEP70 risk scores) (Figure 1). The Arkansas subpopulation had a higher proportion of Black patients (20.4% vs. 10.4% overall) and non-metro residents (37.7% vs. 23.1% overall). The gene expression subpopulation had a significantly longer median OS (116 months vs. 74 months for the entire cohort and 69 months for the Arkansas subpopulation), likely reflecting that this group primarily includes patients enrolled after 2007, when gene expression profiling became more common.
Patients were classified as residing in metro or non-metro areas based on residential ZIP codes, using SEER’s Rural-Urban Continuum Codes. We evaluated demographic factors (race, sex, age ≥65 years), geographic location, biological risk, and county-level socioeconomic indicators from the CDC’s Social Vulnerability Index (SVI). For the Arkansas subset, we further analyzed six regional clusters: Northwest, North Central, Upper Delta, Central, Southwest, and Lower Delta. Survival analyses were performed using Cox proportional hazards models, Kaplan-Meier estimates, and log-rank tests, with statistical significance defined as P≤0.05.
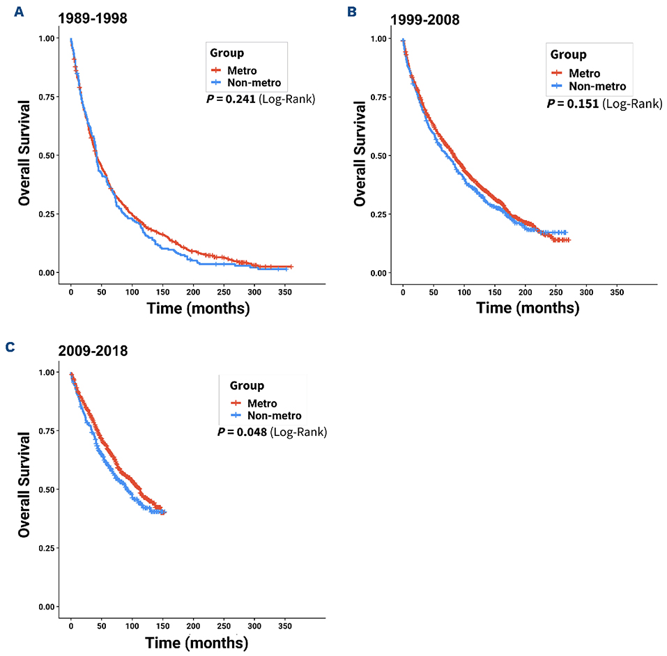
Firstly, we performed univariate survival analyses across the full cohort and Arkansas subpopulations. Hispanic (hazard ratio [HR]=2.66; P<0.01) and Native American patients (HR=1.98; P<0.01) had significantly worse PFS compared to White patients. Older age (≥65 years; HR=1.15; P=0.02) and Arkansas residency (HR=1.19; P<0.01) were also associated with inferior PFS. These findings remained significant in multivariable models. For OS, Asian patients had better outcomes (HR=0.54; P<0.01), while Hispanic patients again fared worse (HR=2.72; P<0.0001). Male sex (HR=1.15; P<0.001), age ≥65 years (HR=1.37; P<0.0001), and non-metro residence (HR=1.08; P=0.048) were associated with worse OS, though the non-metro effect did not remain significant (P=0.162). As expected, survival improved over time across the cohort. However, metro and non-metro disparities widened in later years, reaching statistical significance among patients diagnosed between 2009 and 2018 (P=0.048) (Figure 2). Notably, among GEP70-classified low-risk patients, Arkansans had significantly worse outcomes than their out-of-state counterparts (PFS: P=0.018; OS: P<0.0001), a disparity not observed among high-risk patients (Figure 3A). Additionally, female Arkansan patients had poorer outcomes than non-Arkansan females (OS: HR=1.16; P=0.028; PFS: HR=1.24; P=0.019).
Figure 2.Survival over time. Overall survival comparing metro and non-metro patients in 10-year increments by diagnosis data: (A) 1989-1998, (B) 1999-2008, and (C) 2009-2018.
Among Arkansans, patients in the Lower Delta region had significantly worse PFS (HR=1.59; P<0.01) and OS (HR=1.35; P=0.022) compared to those in Central Arkansas (Figure 3B). While no survival differences were observed across all six state regions collectively, direct comparison of the best- and worst-performing regions revealed a stark contrast. Surprisingly, we observed that White patients in the Lower Delta had the poorest OS, while Black patients had the poorest PFS.
Figure 3.Age at diagnosis. (A) Overall survival of all patients stratified by from Arkansas or other state and GEP70 risk high and low. (B) Overall survival between the Central and Lower Delta regions. (C) Age at diagnosis for the full dataset stratified by race and compared by region (Metro vs. Non-metro). (D) Age at diagnosis for Arkansas stratified by race and compared by region. (E) Age of diagnosis of females stratified by race comparing Arkansas and other states. MM: multiple myeloma; NS: not significant; AR: Arkansas.
Secondly, we found that age at diagnosis varied significantly by race, geography, and sex. Black patients were diagnosed at a younger mean age than White patients (55 vs. 58 years; P≤0.001) (Figure 2C). Among White patients, metro versus non-metro residence had a small but significant effect on age at diagnosis (60 vs. 61 years; P<0.001), though this was not observed in White Arkansans. By contrast, non-metro Black patients in Arkansas were diagnosed much later than their urban counterparts (61 vs. 54 years; P<0.001), with the largest gap seen in non-metro Black males compare to metro Black males (62 vs. 54 years; P<0.01) (Figure 2D). We also observed older age at diagnosis among White female Arkansans compared to their out-of-state peers (62 vs. 59 years; P<0.001) (Figure 2E).
To evaluate whether non-metro patients were diagnosed at more advanced disease stages, we compared the distribution of International Staging System6 (ISS) stages at diagnosis between metro and non-metro patients. ISS stage distribution differed significantly by geographical location (X2 test; P=0.02), with non-metro patients less likely to present with stage I disease (45.4% vs. 50.1%) and more likely to present with stage III (26.5% vs. 23.3%) compared to their metro counterparts.
To further explore social and structural contributors to these disparities, we incorporated the CDC’s SVI.7 While there was a trend of worse OS, it was not significantly different across SVI strata, but PFS was significantly worse in counties with higher poverty (P=0.017), unemployment (P=0.0088), minority population density (P=0.024), and lack of vehicle access (P=0.0025) (Online Supplementary Figure S1). These findings suggest that social determinants of health, including transportation and economic hardship, may play a role in initiation of treatment or interrupting maintenance therapy, which impacts PFS but may not be as important to OS. Additionally, previous studies have observed that Black patients, who are overrepresented in the most socially vulnerable group, have lower high-risk genetic abnormalities,8 which may contribute to improved OS. There are several limitations to our study. First, this analysis reflects a single-center experience spanning three decades, during which referral patterns and treatment protocols, including multiple iterations of Total Therapy, have evolved substantially. These changes may introduce outcome heterogeneity that is not fully accounted for, particularly as treatment intensity, access to novel agents, and transplant eligibility criteria have shifted over time. Additionally, the dataset lacks consistent documentation of maintenance therapy following autologous stem cell transplant, limiting our ability to assess whether post-transplant treatment differences contributed to the observed disparities in survival outcomes. While efforts were made to address these changes through the modeling approach, temporal trends remain an important consideration when interpreting the association to PFS and OS. We also relied on county-level SVI data as a proxy for individual socioeconomic status, which may not reflect patient-level barriers with sufficient granularity. Finally, due to sample size limitations, racial subgroup analyses in Arkansas were restricted to Black and White patients. These factors highlight the need for future studies with more diverse and uniformly treated cohorts, as well as improved individual-level data, to better understand disparities in multiple myeloma outcomes. In conclusion, our analysis reveals persistent and widening disparities in MM outcomes, with rural and socially vulnerable Arkansan patients disproportionately affected. Importantly, Black patients receiving consistent care in metro regions had the best outcomes, reinforcing that access, not biology, is the primary driver of disparities. We advocate for targeted outreach in rural communities, earlier screening, and expanded access to therapy.
Footnotes
- Received March 11, 2025
- Accepted August 7, 2025
Correspondence
Disclosures
SAH reports receiving consulting fees from Jansen, Pfizer and Sanofi as well as research funding from Pfizer, Jansen and Alexion. CL received research support from AstraZeneca on unrelated projects. All other authors have no conflicts of interest to disclose.
Contributions
Funding
FZ was supported by the National Cancer Institute (NCI) of the National Institutes of Health (NIH) under award number R01CA236814, the Leukemia Lymphoma Society (LLS 6702-25), the Paula and Rodger Riney Foundation, the Myeloma Solution Fund, the UAMS Winthrop P. Rockefeller Cancer Institute Fund, and the Veterans Administration under Award Number I01 BX006235. MAB was supported by the NCI of the NIH under Award Number 3R01-CA236814-03S1. CA was supported by National Center for Advancing Translational Sciences of the NIH under award numbers UL1TR003107 and TL1TR003109. Both FZ and CA were also supported by the NCI under award number U54CA272691.
References
- Salafian K, Mazimba C, Volodin L. The impact of social vulnerability index on survival following autologous stem cell transplant for multiple myeloma. Bone Marrow Transplant. 2024; 59(4):459-465. Google Scholar
- Waxman AJ, Mink PJ, Devesa SS. Racial disparities in incidence and outcome in multiple myeloma: a population-based study. Blood. 2010; 116(25):5501-5506. Google Scholar
- Mateos M-V, Ailawadhi S, Costa LJ. Global disparities in patients with multiple myeloma: a rapid evidence assessment. Blood Cancer J. 2023; 13(1):109. Google Scholar
- Ganguly S, Mailankody S, Ailawadhi S. Many shades of disparities in myeloma care. Am Soc Clin Oncol Educ Book. 2019; 39:519-529. Google Scholar
- Pineda-Roman M, Barlogie B, Anaissie E. High-dose melphalan-based autotransplants for multiple myeloma. Cancer. 2008; 112(8):1754-1764. Google Scholar
- Greipp PR, San Miguel J, Durie BGM. International staging system for multiple myeloma. J Clin Oncol. 2005; 23(15):3412-3420. Google Scholar
- Hyer JM, Tsilimigras DI, Diaz A. High social vulnerability and “Textbook outcomes” after cancer operation. J Am Coll Surg. 2021; 232(4):351-359. Google Scholar
- Kanapuru B, Fernandes LL, Fashoyin-Aje LA. Analysis of racial and ethnic disparities in multiple myeloma US FDA drug approval trials. Blood Adv. 2022; 6(6):1684-1691. Google Scholar
Data Supplements
Figures & Tables
Article Information

This work is licensed under a Creative Commons Attribution-NonCommercial 4.0 International License.