Abstract
There are conflicting data on the impact of mismatched unrelated donor (MMUD) compared to matched unrelated donor (MUD) in hematopoietic cell transplantation (HCT) with post-transplant cyclophosphamide (PTCy), highlighting the need for disease-specific research. We conducted a retrospective analysis of donor characteristics in 350 patients with acute lymphoblastic leukemia (ALL) in complete remission (CR) who received 8/8 human leukocyte antigen (HLA)-matched MUD and 7/8 HLA-matched MMUD. The primary endpoint was leukemia-free survival (LFS). The median age was 37 years (range, 18- 76), with 231 (66%) in first CR, and 280 (80%) diagnosed with B-cell ALL. The median donor age was 28 years (range, 18-57), with 237 (68%) MUD and 113 (32%) MMUD. The use of MUD or MMUD did not have a significant impact on LFS or other transplant outcomes. Among other donor-related variables, cytomegalovirus (CMV)-negative donor for a CMV-negative recipient was associated with improved LFS (Hazard Ratio [HR] 0.55; 95% Confidence Interval [CI]: 0.32-0.96) and overall survival (HR 0.52; 95% CI: 0.28-1), while older donor age showed an increased risk of acute graft-versus-host disease (aGvHD) grade III-IV (HR 1.7; 95% CI: 1.1-2.64) and female donor to male recipient combination increased the risk of grade II-IV aGvHD (HR 1.78; 95% CI: 1.05-3). In conclusion, non-HLA donor characteristics rather than HLA matching should be prioritized to guide unrelated donor selection for ALL patients in the PTCy HCT setting.
Introduction
Hematopoietic cell transplantation (HCT) offers potent antileukemic efficacy in acute lymphoblastic leukemia (ALL).1 However, its use is often limited by donor availability and specific toxicities, such as graft-versus-host disease (GvHD). Over the last decades, efforts to overcome these limitations have yielded improved outcomes.2-4
One of the most relevant advances in the field of transplantation has been the use of post-transplant cyclophosphamide (PTCy) for GvHD prevention. Initially introduced in haploidentical transplants,5 PTCy has since become the standard of care in the human leukocyte antigen (HLA)-matched setting, showing advantages over calcineurin inhibitor-based prophylaxis in randomized clinical trials6 and registry data.7 In fact, these may have an important impact on donor selection algorithms. Recent registry-based studies from both the European Society of Blood & Marrow Transplantation (EBMT)8 and the Center for International Blood & Marrow Transplant Research (CIBMTR)7 reported comparable outcomes for matched and mismatched unrelated donors (MUD and MMUD), potentially expanding access to HCT for patients in need. However, the Cellular Therapy and Immunobiology Working Party of the EBMT reported somewhat contradictory results, finding that HLA mismatching was associated with increased mortality in PTCy transplantation within a large cohort of patients with a variety of hematologic malignancies.9 These findings underline the need for disease-specific studies. In this context, the information available regarding the outcomes of ALL patients receiving unrelated donor transplants with PTCy is limited.
Our study aims to investigate key patient, disease, and transplant characteristics, particularly donor-related factors, that could impact on transplant outcomes in ALL patients receiving PTCy as GvHD prophylaxis. We analyzed data from the EBMT database with the objective of refining criteria for guiding donor selection within this specific context.
Methods
Study design and data source
This is a retrospective, registry-based analysis conducted on behalf of the Acute Leukemia Working Party (ALWP) of the EBMT. The EBMT is a voluntary working group of more than 650 transplantation centers, all of which are required to report all consecutive HCT and follow-up data annually.
The EBMT registry maintains an internal quality control program to ensure data accuracy and consistency, with regular audits performed to address missing or incorrect data and to prompt follow-up. All transplantation centers are required to obtain written informed consent before data submission to the EBMT, in accordance with the 1975 Declaration of Helsinki. The scientific board of the ALWP of EBMT approved this study. All patients gave written informed consent for the use of their data.
Patient eligibility
The study included all adults (age ≥18 years) with ALL in first, second or subsequent complete remission (CR1 or CR≥2) reported to the EBMT database. Eligible patients underwent a first allogeneic HCT from an 8/8 MUD or a 7/8 MMUD between January 2010 and December 2021, using an unmanipulated peripheral blood graft with standard dose PTCy (50 mg/kg/day for 2 days) for GvHD prophylaxis and no in vivo T-cell depletion.
Endpoints and definitions
The primary end point was leukemia-free survival (LFS). Secondary endpoints included acute and chronic GvHD, disease relapse, non-relapse mortality (NRM), GvHD-free and relapse-free survival (GRFS), and overall survival (OS). OS was defined as the time from transplant to death. LFS was defined as survival without relapse or progression, calculated from transplant to the date of first relapse, death from any cause, or last follow-up. Relapse was defined as morphological recurrence of leukemia at any site, and NRM was defined as death from any cause without prior relapse. GvHD grading was performed according to published criteria for acute GvHD10 and chronic GvHD (categorized as limited or extensive).11 GRFS was defined as survival without disease relapse or severe acute or chronic extensive GvHD.12
Statistical analysis
Estimations of LFS, OS and GRFS were obtained using the Kaplan-Meier method.13 Survival probabilities are given at two years as percentages and 95% Confidence Intervals (CI). Cumulative incidence functions were used to estimate acute GvHD, chronic GvHD, relapse incidence, and NRM.14,15 Competing risks were death for relapse incidence and relapse for NRM, relapse or death for acute GvHD and chronic GvHD. Multivariate analyses were performed using the Cox proportional hazard method.16 The following patient, disease and transplant characteristics were included in the final model: patient´s age at transplantation, type of ALL, CR1 or CR≥2, transplantation year, conditioning regimen,17 GvHD prophylaxis (PTCy plus one vs. two additional immunosuppressive agents), performance status. The following donor and graft characteristics were also included in the final model: donor age, MUD or MMUD, donor-recipient cytomegalovirus (CMV) serostatus and donor-recipient gender mismatch. To take into account the heterogeneity in the effect of a characteristic or a treatment across centers, we introduced a random effect in Cox multivariate models.18 The significance level was fixed at 0.05, and P values were two-sided. P values for secondary endpoints should be interpreted with caution due to multiple comparisons. Statistical analyses and adjusted survival curves were performed using the R statistical software version 4.2.3 (R Foundation for Statistical Computing, Austria, Vienna).
Results
Patient and transplant characteristics
Patient and transplant characteristics are summarized in Table 1. A total of 350 patients were included, with a median age of 37 years (range, 18-76). Seventy patients (20%) had T-cell ALL (T-ALL), while 280 (80%) had B-cell ALL (B-ALL) of whom 101 (29%) were Philadelphia chromosome-positive (Ph+). Transplants were performed in CR1 in 231 (66%) patients. Regarding conditioning regimen, 66 (19%) patients received reduced intensity conditioning (RIC), while the remaining 284 (81%) received a myeloablative conditioning (MAC) regimen. Total body irradiation (TBI)-based conditioning was administered to 181 patients (52%), most commonly in combination with fludarabine (150 patients, 83%) or, less frequently, with cyclophosphamide (31 patients, 17%). The remaining 169 patients (48%) received chemotherapy-based regimens, with fludarabine in 162 cases (96%) and cyclophosphamide in 7 cases (4%). For GvHD prophylaxis, 56 (16%) patients received PTCy combined with a calcineurin inhibitor alone, while 277 (79%) received a triple drug combination of PTCy, mycophenolate mofetil, and either a calcineurin inhibitor or sirolimus. Patient and transplant characteristics were comparable between the 7/8 and 8/8 cohorts, except for a higher proportion of male recipients and a lower use of chemotherapy-based MAC regimens in the 7/8 group. The median follow-up for surviving patients was two years (interquartile range [IQR]: 1.4-2.3), 1.6 years (IQR: 1.4-2.7) for the 7/8 cohort, and 2.1 years (IQR: 1.4-2.7) for the 8/8 cohort.
Donor characteristics
Donor characteristics are summarized in Table 2. Considering HLA-A, -B, -C and DRB1, 237 (68%) were 8/8 MUD and 113 (32%) were 7/8 MMUD. When considering HLA-DQ matching, 219 (63%) were 10/10 allele MUD, 112 (32%) were 9/10 allele MMUD, and the remaining 9 (3%) were 8/10 allele MMUD. Other donor characteristics were comparable between the 7/8 and 8/8 cohorts, except that donors in the 7/8 group were slightly older. The median age of all donors was 28 years (range, 18-57). Among the 103 (29%) female donors, 57 (16%) donated to male recipients. CMV serostatus was negative in 164 (47%) donors, of which 60 (17%) were used for CMV-negative recipients.
Transplant outcomes
Transplant outcomes are shown in Table 3. In the overall cohort, LFS at two years was 62% (95% CI: 56-67). OS and GRFS were 73% (95% CI: 67-78) and 48% (95% CI: 42-54), respectively. The 180-day cumulative incidence of acute GvHD grade II-IV was 28% (95% CI: 23-33) and grade III-IV was 9% (95% CI: 6-12). The 2-year cumulative incidence of chronic and chronic extensive GvHD was 28% (95% CI: 23-34) and 12% (95% CI: 9-17), respectively. The 2-year cumulative incidence of relapse was 24% (95% CI: 19-29) and NRM was 15% (95% CI: 11-19).
Analysis of risk factors
Donor-related factors
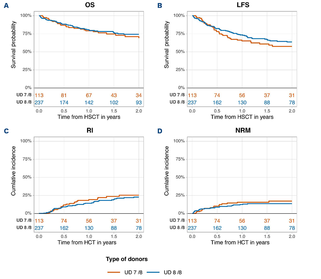
Unadjusted univariate analysis of transplant outcomes, together with multivariable analyses by donor HLA match, are shown in Table 4. Comparisons between 8/8 MUD or 7/8 MMUD showed no significant differences in risk of NRM or relapse, nor in probabilities of LFS, OS, or GRFS (Figure 1). Similar results were obtained when comparing 10/10 MUD with 8-9/10 MMUD. The impact of 8/8 MUD compared to 7/8 MMUD on LFS was consistent across subgroups defined by patient, disease, and transplant characteristics, including conditioning intensity, GvHD prophylaxis (PTCy plus one vs. two additional immunosuppressive agents) and the year in which HCT was performed (Figure 2). Risks of acute GvHD grades II-IV and III-IV, as well as any grade of chronic GvHD were similar between the groups. We observed an increased risk of chronic extensive GvHD in patients receiving 8/8 MUD (hazard ratio [HR]: 2.9; 95% Confidence Interval [CI]: 1.14-7.38, P=0.03).
Regarding other donor characteristics, the multivariate analyses of non-HLA donor-related variables are shown in Table 5. Older age per ten years was associated with increased risk of acute GvHD grades II-IV (HR: 1.3; 95% CI: 1-1.67) and severe acute GvHD (HR: 1.66; 95% CI: 1.06-2.59), female donors to male recipient combination increased the risk of grade II-IV acute GvHD (HR: 1.74; 95% CI: 1.03-2.94), and donor CMV-negative to CMV-negative recipient improved LFS (HR: 1.8; 95% CI: 1.03-3.14).
Patient, disease, and transplant factors
Patients in CR≥2 at the time of HCT had a higher risk of relapse (HR: 2.13; 95% CI: 1.22-3.69) and worse LFS (HR: 1.84; 95% CI: 1.12-2.81), OS (HR: 1.74; 95% CI: 1.08-2.79), and GRFS (HR: 1.5; 95% CI: 1.03-2.18) compared to those transplanted in CR1. Older patient age per ten years was associated with an increased risk of NRM (HR: 1.3; 95% CI: 1.05-1.63) and worse GRFS (HR: 1.17; 95% CI: 1.03-1.33). Transplants performed more recently (per 5-year increment) showed a lower risk of chronic GvHD (HR: 0.45; 95% CI: 0.23-0.89).
Discussion
This study shows that for ALL patients undergoing unrelated donor HCT with PTCy-based GvHD prophylaxis, HLA mismatch did not determine transplant outcomes. In contrast, older donor age and female donor to male recipient combination were associated with an increased risk of acute GvHD, while CMV-negative matching between donor and recipient improved survival. These findings may significantly influence clinical practice by expanding the availability of unrelated donors and guiding donor selection through non-HLA donor characteristics, potentially increasing access to HCT for more patients in need.
The most important finding of our study is that HLA compatibility between donor and recipient was not a determinant of transplant outcomes, with the exception of an unexpectedly higher risk of chronic extensive GvHD in MUD, the cause of which remains unclear. High-resolution HLA matching has historically been the most important criterion in unrelated donor selection, since pivotal papers have demonstrated its important impact on outcomes.19,20 However, this paradigm has been challenged since the advent of PTCy, with its ability to mitigate the adverse effects of HLA mismatching observed in other transplant settings.21-24 As PTCy use has increased in matched sibling donor and MUD transplants, questions remain whether HLA matching should still be prioritized over other donor characteristics in unrelated donor selection. Previous registry-based studies have explored this, producing somewhat contradictory results. The ALWP of the EBMT first reported comparable outcomes with either MUD or MMUD transplants in a large cohort of patients with acute myeloid leukemia (AML).8 The CIBMTR later confirmed these findings in a study including AML, myelodysplastic syndrome, and ALL patients.7 However, another report by the Cellular Therapy and Immunobiology Working Party of the EBMT found that HLA mismatching increased mortality in PTCy transplants.9 Although this study also originates from the EBMT Registry, key methodological differences may account for the seemingly contradictory findings. The research by Arrieta-Bolaños focused on only 178 patients with ALL receiving PTCy, primarily due to a shorter inclusion period and the requirement for 6-locus high-resolution HLA typing for both donors and recipients. More importantly, the analysis encompassed a range of hematologic malignancies, including acute myeloid leukemia, non-Hodgkin lymphoma, chronic lymphocytic leukemia, chronic myeloid leukemia, Hodgkin lymphoma, multiple myeloma, and myeloproliferative neoplasms, among others. A preliminary, unpublished sub-analysis suggested that the impact of HLA mismatch might vary depending on the underlying diagnosis. These findings indicate that HLA matching, along with other non-HLA factors, could influence transplant outcomes differently based on the specific disease, highlighting the need for disease-specific analyses.
Table 1.Patient, disease and transplant characteristics.
Table 2.Donor characteristics.
Table 3.Transplant outcomes of the entire cohort.
Table 4.Transplantation outcomes according to the donor's HLA match.
Figure 1.Adjusted transplant outcomes for 8/8 matched or 7/8 mismatched unrelated donors. (A) Probability of overall survival (OS). (B) Probability of leukemia-free survival (LFS). (C) Cumulative incidence of relapse (RI). (D) Cumulative incidence non-relapse mortality (NRM). HSCT: hematopoietic stem cell transplantation; UD: unrelated donor.
Non-HLA donor characteristics have also been shown to influence transplant outcomes and may warrant giving more weight to these characteristics in donor selection algorithms. For example, matching CMV-negative serostatus between donor and recipient was associated with improved survival, as previously described.25,26 However, most patients in this cohort were transplanted before the introduction of letermovir, which seems to have reduced the impact of CMV status on HCT outcomes.27 The role of CMV serostatus in the letermovir era will require further evaluation with more recent cohorts. Another important variable was older donor age, which was associated with a higher risk of severe acute GvHD. Younger donor age has long been recognized as beneficial, reducing the incidence of GvHD and potentially improving NRM and survival in unrelated donor HCT.8,28-30 Although female donor to male recipient had only moderate effect on outcomes, and only affected grade II acute GvHD, this finding may have practical implications, given the high representation of female donors in international registries.
This study is the largest to date involving adult ALL patients undergoing unrelated donor HCT with PTCy and confirms the safety and efficacy of the procedure.4,31 It also confirms the adverse impact of well-established patient- and disease-related risk factors, such as more advanced disease stage and older age at transplant.32 This study helps clarify the still-debated impact of HLA mismatch in UD-HCT with PTCy in the specific setting of ALL, while also confirming previously published findings on the influence of other donor-related variables. However, these results should be interpreted with caution due to several limitations. First, the number of cases involving this specific transplant modality remains relatively small, which may limit the statistical power and generalizability of the findings. Second, the cohort was heterogeneous, including patients transplanted in different disease stages (CR1 and CR2), treated with varying conditioning intensities, and diverse PTCy regimens. These factors could confound the observed outcomes. As the use of PTCy-based HCT continues to expand, future studies with larger, more homogeneous cohorts are needed to validate our findings and explore in greater depth the role of specific HLA mismatches and other donor-related or recipient-specific variables. In conclusion, when selecting the most appropriate unrelated donor for ALL patients undergoing HCT with PTCy, based on this study, HLA matching might not be the most important variable to consider. Other non-HLA donor characteristics, such as donor age, as well as donor/recipient sex and CMV matching, seem to play an important role. Further research is needed to refine and validate these recommendations.
Figure 2.Forest plot of leukemia-free survival for 8/8 matched or 7/8 mismatched unrelated donors within subgroups of patient, disease or transplant characteristics. HR: Hazard Ratio; HCT: hematopoietic cell transplantation; LFS: leukemia-free survival; MAC: myeloablative conditioning; N: number; Ph: Philadelphia; RIC: reduced intensity conditioning; yr: years.
Table 5.Multivariate analysis of transplant outcomes according to non-HLA donor-related variables.
Footnotes
- Received March 3, 2025
- Accepted July 21, 2025
Correspondence
Disclosures
No conflicts of interest to disclose.
Contributions
JS, SP, MM and FC designed the study. ATF performed the statistical analysis and helped with the interpretation of the results. JS wrote the manuscript. AK, NK, MR, LL, MA, JM, JV, PR, SS, DB, MAS, JV, FF, EN, SG and AN provided cases for the study. All authors reviewed and approved the manuscript.
References
- Marks DI, Clifton-Hadley L, Copland M. In-vivo T-cell depleted reduced-intensity conditioned allogeneic haematopoietic stem-cell transplantation for patients with acute lymphoblastic leukaemia in first remission: results from the prospective, single-arm evaluation of the UKALL14 trial. Lancet Haematol. 2022; 9(4):e276-e288. Google Scholar
- Giebel S, Labopin M, Socié G. Improving results of allogeneic hematopoietic cell transplantation for adults with acute lymphoblastic leukemia in first complete remission: an analysis from the Acute Leukemia Working Party of the European Society for Blood and Marrow Transplantation. Haematologica. 2017; 102(1):139-149. Google Scholar
- Nagler A, Labopin M, Arat M. Posttransplant cyclophosphamide-based anti-graft-vs-host disease prophylaxis in patients with acute lymphoblastic leukemia treated in complete remission with allogeneic hematopoietic cell transplantation from human leukocyte antigenmismatched unrelated donors versus haploidentical donors: a study on behalf of the ALWP of the EBMT. Cancer. 2022; 128(22):3959-3968. Google Scholar
- Sanz J, Galimard J-E, Labopin M. Post-transplant cyclophosphamide containing regimens after matched sibling, matched unrelated and haploidentical donor transplants in patients with acute lymphoblastic leukemia in first complete remission, a comparative study of the ALWP of the EBMT. J Hematol Oncol. 2021; 14(1):84. Google Scholar
- Luznik L, O’Donnell PV, Symons HJ. HLA-haploidentical bone marrow transplantation for hematologic malignancies using nonmyeloablative conditioning and high-dose, posttransplantation cyclophosphamide. Biol Blood Marrow Transplant. 2008; 14(6):641-650. Google Scholar
- Bolaños-Meade J, Hamadani M, Wu J. Posttransplantation cyclophosphamide-based graft-versus-host disease prophylaxis. N Engl J Med. 2023; 388(25):2338-2348. Google Scholar
- Shaffer BC, Gooptu M, DeFor TE. Post-transplant cyclophosphamide–based graft-versus-host disease prophylaxis attenuates disparity in outcomes between use of matched or mismatched unrelated donors. J Clin Oncol. 2024; 42(28):3277-3286. Google Scholar
- Sanz J, Labopin M, Choi G. Younger unrelated donors may be preferable over HLA match in the PTCy era: a study from the ALWP of the EBMT. Blood. 2024; 143(24):2534-2543. Google Scholar
- Arrieta-Bolaños E, Bonneville EF, Crivello P. Human leukocyte antigen mismatching and survival in contemporary hematopoietic cell transplantation for hematologic malignancies. J Clin Oncol. 2024; 42(28):3287-3299. Google Scholar
- Harris AC, Young R, Devine S. International, multicenter standardization of acute graft-versus-host disease clinical data collection: a report from the Mount Sinai Acute GVHD International Consortium. Biol Blood Marrow Transplant. 2016; 22(1):4-10. Google Scholar
- Lee SJ, Vogelsang G, Flowers MED. Chronic graft-versus-host disease. Biol Blood Marrow Transplant. 2003; 9(4):215-233. Google Scholar
- Ruggeri A, Labopin M, Ciceri F, Mohty M, Nagler A. Definition of GvHD-free, relapse-free survival for registry-based studies: an ALWP-EBMT analysis on patients with AML in remission. Bone Marrow Transplant. 2016; 51(4):610-611. Google Scholar
- Kaplan EL, Meier P. Nonparametric estimation from incomplete observations. J Am Stat Assoc. 1958; 53(282):457-481. Google Scholar
- Fine JP, Gray RJ. A proportional hazards model for the subdistribution of a competing risk. J Am Stat Assoc. 1999; 94(446):496-509. Google Scholar
- Gooley TA, Leisenring W, Crowley J, Storer BE. Estimation of failure probabilities in the presence of competing risks: new representations of old estimators. Stat Med. 1999; 18(6):695-706. Google Scholar
- Cox DR. Regression models and life tables (with discussion). J R Stat Soc B. 1972; 34(2):187-220. Google Scholar
- Bacigalupo A, Ballen K, Rizzo D. Defining the intensity of conditioning regimens: working definitions. Biol Blood Marrow Transplant. 2009; 15(12):1628-1633. Google Scholar
- Biard L, Labopin M, Chevret S, Resche-Rigon M. Investigating covariate-by-centre interaction in survival data. Stat Methods Med Res. 2018; 27(3):920-932. Google Scholar
- Lee SJ, Klein J, Haagenson M. High-resolution donorrecipient HLA matching contributes to the success of unrelated donor marrow transplantation. Blood. 2007; 110(13):4576-4583. Google Scholar
- Woolfrey A, Klein JP, Haagenson M. HLA-C antigen mismatch is associated with worse outcome in unrelated donor peripheral blood stem cell transplantation. Biol Blood Marrow Transplant. 2011; 17(6):885-892. Google Scholar
- Robinson TM, Fuchs EJ, Zhang MJ. Related donor transplants: has posttransplantation cyclophosphamide nullified the detrimental effect of HLA mismatch?. Blood Adv. 2018; 2(11):1180-1186. Google Scholar
- Nagler A, Labopin M, Dholaria B. Comparison of haploidentical bone marrow versus matched unrelated donor peripheral blood stem cell transplantation with posttransplant cyclophosphamide in patients with acute leukemia. Clin Cancer Res. 2021; 27(3):843-851. Google Scholar
- Sanz J, Galimard J-E, Labopin M. Post-transplant cyclophosphamide after matched sibling, unrelated and haploidentical donor transplants in patients with acute myeloid leukemia: a comparative study of the ALWP EBMT. J Hematol Oncol. 2020; 13(1):46. Google Scholar
- Ambinder A, Jain T, Tsai HL, Horowitz MM, Jones RJ, Varadhan R. HLA-matching with PTCy: a reanalysis of a CIBMTR dataset with propensity score matching and donor age. Blood Adv. 2022; 6(14):4335-4346. Google Scholar
- Ljungman P. The role of cytomegalovirus serostatus on outcome of hematopoietic stem cell transplantation. Curr Opin Hematol. 2014; 21(6):466-469. Google Scholar
- Shaw BE, Mayor NP, Szydlo RM. Recipient/donor HLA and CMV matching in recipients of T-cell-depleted unrelated donor haematopoietic cell transplants. Bone Marrow Transplant. 2017; 52(5):717-725. Google Scholar
- Marty FM, Ljungman P, Chemaly RF. Letermovir prophylaxis for cytomegalovirus in hematopoietic-cell transplantation. N Engl J Med. 2017; 377(25):2433-2444. Google Scholar
- Kollman C, Howe CWS, Anasetti C. Donor characteristics as risk factors in recipients after transplantation of bone marrow from unrelated donors: the effect of donor age. Blood. 2001; 98(7):2043-2051. Google Scholar
- Shaw BE, Logan BR, Spellman SR. Development of an unrelated donor selection score predictive of survival after HCT: donor age matters most. Biol Blood Marrow Transplant. 2018; 24(5):1049. Google Scholar
- Wang Y, Wu DP, Liu QF. Donor and recipient age, gender and ABO incompatibility regardless of donor source: validated criteria for donor selection for haematopoietic transplants. Leukemia. 2018; 32(2):492-498. Google Scholar
- Giebel S, Labopin M, Salmenniemi U. Posttransplant cyclophosphamide versus antithymocyte globulin in patients with acute lymphoblastic leukemia treated with allogeneic hematopoietic cell transplantation from matched unrelated donors: a study from the Acute Leukemia Working Party of the European Society for Blood and Marrow Transplantation. Cancer. 2023; 129(23):3735-3745. Google Scholar
- DeFilipp Z, Advani AS, Bachanova V. Hematopoietic cell transplantation in the treatment of adult acute lymphoblastic leukemia: updated 2019 evidence-based review from the American Society for Transplantation and Cellular Therapy. Biol Blood Marrow Transplant. 2019; 25(11):2113-2123. Google Scholar
Figures & Tables
Article Information

This work is licensed under a Creative Commons Attribution-NonCommercial 4.0 International License.