Chronic lymphocytic leukemia (CLL) is the most common leukemia in the western world with a median age at diagnosis of 70 years. CLL is characterized by accumulation of monoclonal immune-disrupted B cells in peripheral blood, bone marrow, spleen, and lymph nodes. A family history of CLL is a risk factor to developing the disease.1 Familial CLL is defined as the presence of at least one first degree relative with CLL. The prevalence of familiarity for blood diseases, and more specifically for CLL, reported in the literature is 13% and 7%, respectively.2 A study investigating clinical features of familial CLL showed a 10-year survival probability similar to sporadic cases (67% vs. 66%);3 however, no data regarding molecular characteristics or genetic predisposition were provided. Genetic anticipation is the phenomenon of earlier onset or increased severity when a disease is passed to the next generation. Some studies on familial CLL showed a 10-20 year earlier onset and a more severe phenotype in younger generations,2,4,5 while some subsequent evidence refuted these results.3 Regarding molecular characteristics of sporadic and familial CLL, a study showed higher frequency of mutated IgHV in familial CLL, with intrafamilial concordance of the mutation status.6 Another study showed that 86% of familial CLL cases carried a chromosome 13q deletion,7 compared with 50-60% of patients with sporadic CLL from large case series,7 but no further association with somatic mutations has been described.
The primary aim of our study is to determine the prevalence of familial CLL and to confirm the phenomenon of anticipation. Novel topics of investigation include the comparison of clinical features, molecular biomarkers, survival analysis, and response to treatment in familial CLL compared to sporadic CLL cases.
Our retrospective monocentric study consists of collection of clinical and biological data from all patients with familial CLL. It was approved by the local ethical committee (protocol n. 0014904/22; approved on April 29, 2022) and has been carried out according to the principles of the Declaration of Helsinki. All patients gave signed informed consent. Patients’ characteristics were described by frequency tables for qualitative variables and position indicators for quantitative variables. The associations with clinical-biological parameters were analyzed using χ2 or Fisher's exact test for the qualitative variables and Wilcoxon or Kruskal-Wallis test for quantitative variables.
For the monocentric phase of the study described here, 500 patients were recruited: 46 familial CLL and 454 sporadic CLL. All patients were initially diagnosed in our center; no patient was referred from other hospitals on the grounds of known familiarity or dismal prognostic features. The prevalence of familial CLL in our population was 9.4%, while the prevalence of familiarity for any other hemopathy was 20%.
Median age at diagnosis was 65 years in sporadic CLL and 59 years in familial CLL (P=0.018). Considering only familial CLL, the median age of the first generation of affected patients at diagnosis was 69 years (range 50-90). For the second generation of affected patients, the median age at diagnosis was 57 years (range 31-83), a statistically significant mean difference between these two populations of 12.6 years (range 17.5-7.7, 95%CI) (t test, P=0.00003) (Figure 1).
Concerning the IgHV mutational status, sporadic CLL showed mutated IgHV in 65% of cases and unmutated IgHV in 35%, while familial CLL showed mutated IgHV in 35% of cases and unmutated IgHV in 65% (P<0.001). In contrast, no statistically significant difference was found for either FISH or for molecular biomarkers. FISH was negative in 31% of patients with sporadic CLL and 24% with familial CLL; del17p: 4.2% of sporadic CLL and 8.7% of familial CLL; del13q: 27% of sporadic CLL and 37% of familial CLL; del11q: 5.3% of sporadic CLL and 6.5% of familial CLL; trisomy 12: 8.4% of sporadic CLL and 4.3% of familial CLL; other alterations or combinations of the above were found in 24% of patients with sporadic CLL and 20% of patients with familial CLL (P=0.38). TP53 was mutated in 15% of patients with sporadic CLL (291 unknown) and 16% with familial CLL (14 unknown) (P>0.99); NOTCH1 was mutated in 23% of patients with sporadic CLL (241 unknown) and 37% with familial CLL (16 unknown) (P=0.18); SF3B1 was mutated in 16% of patients with sporadic CLL (246 unknown) and 11% of patients with familial CLL (19 unknown) (P=0.67); BIRC3 was mutated in 7.7% of patients with sporadic CLL (246 unknown) and 15% of patients with familial CLL (19 unknown) (P=0.38). The molecular characteristics of our patient population are reported in Table 1.
No difference was found in clinical or laboratory parameters. The prevalence of Richter syndrome was 1.7% in sporadic CLL and 1.4% in familial CLL (P=0.46). The prevalence of a second neoplasia was 15% in sporadic CLL and 18% in familial CLL (P>0.99).
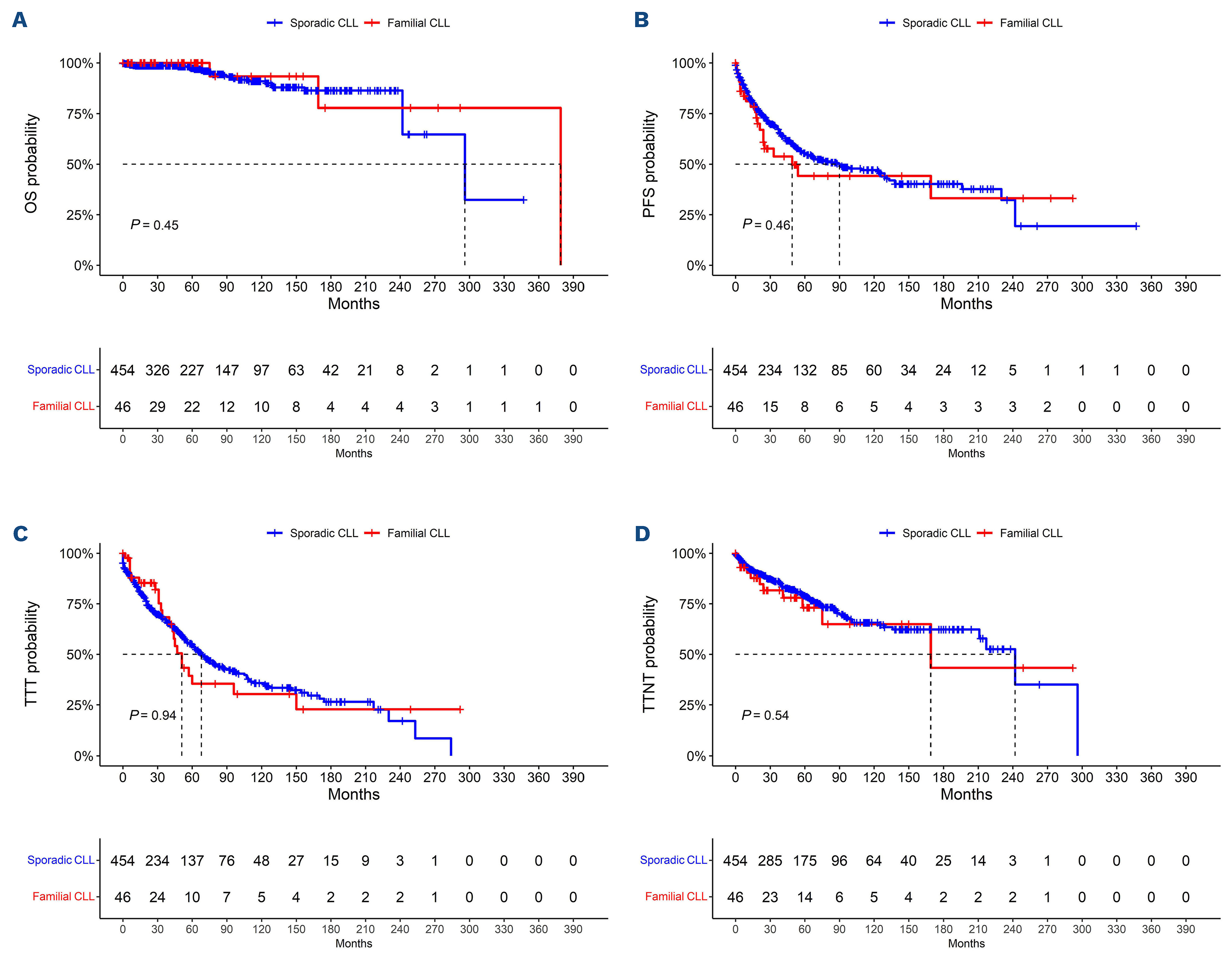
Median follow-up time was 61 months (range 0-383). Median overall survival (OS) for familial CLL was 379 months and 296 months for the control group (P=0.45). At the univariate analysis, family history for CLL did not significantly impact OS (HR=0.73, 95%CI: 0.17-3.27; P=0.68).
Progression-free survival (PFS) was calculated from the date of start of first-line treatment to the date of disease progression or death, whichever was reported first. Patients still alive without signs of progression were censored at the last date of follow up as free from progression or lost at follow-up. Median PFS was 24 months for sporadic CLL and 18 months for familial CLL (P=0.093). Univariate analysis showed family history for
CLL did not significantly impact PFS (HR=1.46, 95%CI: 0.89-2.40; P=0.13).
There was no statistically significant difference in median time to treatment (TTT) between patients with sporadic CLL (68 months) and patients with familial CLL (51 months) (P=0.94). Univariate analysis showed family history for CLL (HR=0.98, P=0.92) did not significantly impact TTT. The median time to next treatment (TTNT) was 242 months for patients with sporadic CLL and 169 months for patients with familial CLL; nevertheless, log-rank test showed this difference was not statistically significant (P=0.54) (Figure 2).
Table 1.Biological characteristics in terms of IgHV mutational status, FISH, and molecular lesions (TP53, NOTCH1, SF3B1, BIRC3) of patients with familial chronic lymphocytic leukemia (CLL) compared to sporadic CLL.
Figure 1.Mean difference in terms of age at diagnosis between first and second generation of patients with familial chronic lymphocytic leukemia. The mean difference in terms of age at diagnosis between first and second generations of patients with familial chronic lymphocytic leukemia was 12.6 years (range 17.5-7.7, 95%CI, P=0.00003). (A) Histogram of age difference. (B) Probability plot of age difference.
Regarding treatment regimens, 203 out of 454 patients from the sporadic CLL and 20 out of 46 patients from the familial CLL groups underwent treatment: 72% and 70% of them received chemo-immunotherapy (CIT), and 28% and 30% received new drugs, respectively. There was no difference in the treatment received by the two groups (P>0.99). Overall response rate (ORR) was 87% for sporadic CLL and 68% for familial CLL, showing that patients with familial CLL obtained significantly lower rates of overall response (P=0.034), despite the fact that the proportion of patients treated with CIT and with new drugs was similar.
Our result shows a 9.4% prevalence of familial CLL in our population, similar to the 7% reported in the literature. Patients with familial CLL are younger at diagnosis, but, and more importantly, our data confirmed the phenomenon of anticipation: the second generation has a markedly earlier onset of disease, as reported in the literature (mean difference in our population was 12.6 years compared with 10-20 years in the literature),5,8 suggesting an additive mutational effect mediated by one or a group of defective genes.
Our analysis did not identify any significant molecular biomarker. The only statistically significant finding was a higher rate of unmutated IgHV in familial cases (65% of patients with unmutated IgHV) conferring a worse prognostic profile, the opposite trend to that previously observed in the literature (68% of patients with mutated IgHV).6 FISH analysis showed slightly higher rates of 17p and 13q deletions and lower rates of trisomy 12 in familial cases, without statistical significance.
Figure 2.Survival analysis did not show any statistically significant difference between patients with familial and sporadic chronic lymphocytic leukemia. (A) Curves of overall survival (OS) for familial (blue) and sporadic (red) chronic lymphocytic leukemia (CLL). (B) Curves of progression-free survival (PFS) for familial (blue) and sporadic (red) CLL. (C) Curves of time to treatment (TTT) for familial (blue) and sporadic (red) CLL. (D) Curves of time to next treatment (TTNT) for familial (blue) and sporadic (red) CLL.
Rai/Binet staging, laboratory parameters and clinical characteristics were substantially identical among the two groups, confirming that, from a clinical point of view, sporadic and familial CLL are indistinguishable.2 There was no statistical difference in the rate of Richter transformation between familial and sporadic cases (1.4% vs. 1.7%), confirming data from the literature (6% vs. 5%). The rate of secondary malignancy was homogeneous in the two populations (16% vs. 18%),8 unlike that published in 2008 (8.8% vs. 16%); this difference could be dictated by the current use of target therapies which reduces the risk of secondary malignancy from chemotherapy.
Shorter PFS, TTT and TTNT, even if not statistically significant, would suggest the trend toward an aggressive course of familial CLL. The OS was superimposable, as already reported in the literature.3 Nevertheless, the ORR was significantly lower in patients with familial CLL, even though the rate of CIT and new drugs was equal in the two groups, a result which has never been reported by any previous study and which confirms the aggressive course of the disease.
To validate our statistically significant findings on anticipation and poor ORR, to define the molecular characteristics of familial CLL, and to improve the significance of the survival analysis, we need to study a larger population of patients. Our monocentric experience will soon be extended to other centers in Italy and opens the way to a better understanding of CLL clustering in families.
Footnotes
- Received October 14, 2022
- Accepted December 14, 2022
Correspondence
Disclosures
No conflicts of interest to disclose.
Contributions
GB, II and AF collected data, analyzed results and wrote the manuscript. FA, AT, FV, LS, SM collected data. AP performed the statistical analysis. EG provided the genetical background. VG performed molecular biology analysis. AB, DE and LL supervised the project.
Data-sharing statement
Data only available on request due to privacy/ethical restrictions.
References
- Karakosta M, Delicha EM, Kouraklis G, Manola KN. Association of various risk factors with chronic lymphocytic leukemia and its cytogenetic characteristics. Arch Environ Occup Health. 2016; 71(6):317-329. https://doi.org/10.1080/19338244.2015.1116429PubMedGoogle Scholar
- Goldin LR, Slager SL, Caporaso NE. Familial chronic lymphocytic leukemia. Curr Opin Hematol. 2010; 17(4):350-355. https://doi.org/10.1097/MOH.0b013e328338cd99PubMedPubMed CentralGoogle Scholar
- Mauro FR, Giammartini E, Gentile M. Clinical features and outcome of familial chronic lymphocytic leukemia. Haematologica. 2006; 91(8):1117-1120. Google Scholar
- Horwitz M, Goode EL, Jarvik GP. Anticipation in familial leukemia. Am J Hum Genet. 1996; 59(5):990-998. Google Scholar
- Wiernik PH, Ashwin M, Hu XP, Paietta E, Brown K. Anticipation in familial chronic lymphocytic leukaemia. Br J Haematol. 2001; 113(2):407-414. https://doi.org/10.1046/j.1365-2141.2001.02773.xPubMedGoogle Scholar
- Crowther-Swanepoel D, Wild R, Sellick G. Insight into the pathogenesis of chronic lymphocytic leukemia (CLL) through analysis of IgVH gene usage and mutation status in familial CLL. Blood. 2008; 111(12):5691-5693. https://doi.org/10.1182/blood-2008-03-142349PubMedGoogle Scholar
- Ng D, Toure O, Wei MH. Identification of a novel chromosome region, 13q21.33-q22.2, for susceptibility genes in familial chronic lymphocytic leukemia. Blood. 2007; 109(3):916-925. https://doi.org/10.1182/blood-2006-03-011825PubMedGoogle Scholar
- Ishibe N, Sgambati MT, Fontaine L. Clinical characteristics of familial B-CLL in the National Cancer Institute Familial Registry. Leuk Lymphoma. 2001; 42(1-2):99-108. https://doi.org/10.3109/10428190109097681PubMedGoogle Scholar
Data Supplements
Figures & Tables
Article Information

This work is licensed under a Creative Commons Attribution-NonCommercial 4.0 International License.