Abstract
Steroid-refractory graft-versus-host disease is a life-threatening complication after allogeneic stem cell transplantation. Evidence is accumulating that steroid-refractory graft-versus-host disease is associated with endothelial distress. Endothelial cell homeostasis is regulated by nitric oxide, and serum nitrates are derived from nitric oxide synthase activity or dietary sources. In this retrospective study based on 417 patients allografted at our institution we investigated whether quantification of serum nitrates could predict steroid-refractory graft-versus-host disease. Elevated pre-transplant levels of serum nitrates (>26.5 μM) predicted steroid-refractory graft-versus-host disease (P=0.026) and non-relapse mortality (P=0.028), particularly in combination with high pre-transplant angiopoietin-2 levels (P=0.0007 and P=0.021, respectively). Multivariate analyses confirmed serum nitrates as independent predictors of steroid-refractory graft-versus-host disease and non-relapse mortality. Differences in serum nitrate levels did not correlate with serum levels of tumor necrosis factor or C-reactive protein or expression of inducible nitric oxide synthase in blood cells. Patients with high pre-transplant nitrate levels had significantly reduced rates of refractory graft-versus-host disease (P=0.031) when pravastatin was taken. In summary, patients at high risk of developing steroid-refractory graft-versus-host disease could be identified prior to transplantation by serum markers linked to endothelial cell function. Retrospectively, statin medication was associated with a reduced incidence of refractory graft-versus-host disease in this endothelial high-risk cohort.Introduction
Steroid-refractory acute graft-versus-host disease (GVHD) is a life-threatening complication following allogeneic stem cell transplantation (SCT). A significant proportion of patients succumb to this condition despite the administration of a plethora of immunosuppressive drugs.1 This non-response to intensive immunosuppression along with our previous observations support a working hypothesis that alloreactive T-cell responses induce acute GVHD. Consequently, immunosuppressive therapy is able to effectively erase this immune response and cure most patients. However, a minority of patients (refractory despite effective immune depletion) progress to develop a fatal inflammatory process based on a pre-existing, so far ill-defined endothelial vulnerability.2–4
Angiopoietin-2 is a Tie2-ligand enhancing pro-inflammatory effects of tumor necrosis factor alpha (TNF-α) on endothelial cells.5 We have previously shown that in patients developing grade 3–4 GVHD, high pre-transplant angiopoietin-2 serum levels are correlated with steroid refractoriness and a fatal outcome but not with GVHD risk itself, suggesting a role for endothelial vulnerability in the pathogenesis of refractory GVHD.2,3
In 1980 nitric oxide (NO) was identified as endothelial-derived relaxing factor, a potent vasodilator that is intrinsically tied to endothelial cell homeostasis.6,7 NO is labile with a very short half-life (<4 seconds in biological solutions) and is rapidly oxidized to nitrite and then nitrate by oxygenated hemoglobin before being excreted into the urine.7 Serum nitrates are therefore considered as indicators of NO production in vivo.8,9 Diet contributes about half of the serum nitrate levels, whereas 90% of circulating nitrites in fasting humans are derived from the constitutive endothelial and brain iso-forms of NO synthase (eNOS and nNOS, respectively).10
Excessive levels of NO are produced by the inducible iso-form of NOS (iNOS) in numerous cell types including immune effector cells.11 Furthermore, elevated iNOS-derived NO levels have been demonstrated in various autoimmune diseases12 as well as in solid organ allograft rejection.13 In the setting of allogeneic SCT NO was shown to facilitate engraftment and iNOS inhibitors were reported to reduce mortality caused by experimental GVHD.14
Statins lower cholesterol levels by inhibiting 3-hydroxy-3-methyl-CoA (HMG-CoA) reductase and are, therefore, used to prevent complications of arteriosclerotic diseases. Besides protective effects on endothelial cells,15,16 statins also modulate the immune system.17,18 This has led several investigators to test statins in the context of allogeneic SCT, but the results have been inconsistent. A reduction of acute GVHD or mortality after allogeneic SCT in mice and humans was shown in some studies19–21 but not in others.22,23 However, studies focusing on the effect of statins on the prevention or treatment of refractory GVHD and associated endothelial alterations are lacking.
The purpose of the present retrospective study was to investigate whether the predictive value of pre-transplant levels of parameters representing endothelial cell function, such as angiopoietin-2, could be further refined by measuring pre-transplant nitrate levels, and to analyze whether negative influences on clinical outcome could be attenuated by (potentially endothelium-protective) concomitant statin administration.
Methods
Eligibility of patients
Patients were eligible for this study if they had undergone allogeneic SCT at our institution between June 2002 and December 2011 and their blood samples were available for nitrate measurement (collected directly before the start of conditioning chemotherapy prior to allogeneic SCT). Written informed consent to sample and data collection in accordance with to the declaration of Helsinki was obtained from all eligible patients as well as normal donors (n=49) and sample and data collection was approved by the responsible Institutional Review Board.
Graft-versus-host disease prophylaxis, treatment, and supportive care
GVHD prophylaxis was performed as previously described2,3 and remained unchanged over the whole study period. GVHD was clinically and histologically diagnosed and graded using standard criteria.24 Steroid-refractory GVHD was defined as histologically confirmed disease not responding to standard prednisone therapy (2×1 mg/kg body weight, for intestinal GVHD combined with mycophenolate mofetil 2×1 g/day) and requiring second-line salvage immunosuppressive therapy which was generally pento-statin25 (see Online Supplementary Methods).
Enzyme-linked immunosorbent assays, multiplex analyses, nitrate assay and western blots
Serum levels of angiopoietin-2 were quantified by multiplex protein array technology in 327 patients as reported before.3 TNF levels were measured in 417 patients by enzyme-linked immunosorbent assay (BD Biosciences Pharmingen, San Diego, CA, USA). Serum nitrates (n=417 samples) were determined using the Griess Reagent System (see Online Supplementary Methods).
The following monoclonal antibodies were used for the western blots: rabbit anti-TNF-α (Cell Signaling Technology through New England Biolabs, Frankfurt, Germany), mouse anti-iNOS (2D2-B2) (R&D Systems, Wiesbaden-Nordenstadt, Germany) and mouse anti-β-actin (AC-15) (Abcam, Cambridge, UK). Corresponding secondary antibodies were purchased from Sigma-Aldrich (Deisenhofen, Germany).
Statistical analysis
Categorical and continuous variables of the patients’ characteristics were compared using the Fisher exact test and the Mann-Whitney test, respectively. Cumulative incidences of refractory GVHD were compared using the log-rank test. The choice of cutoffs for nitrates and angiopoietin-2 is explained in the Online Supplementary Methods.
Non-relapse mortality (NRM) was calculated as the time from allogeneic SCT to death in the absence of relapse, considering recurrence of the underlying malignancy as a competing event. the NRM rates of different groups of patients were compared with the Gray test.26–28
Cox proportional hazard regression models were performed for multivariate analysis of predictors of grade 3–4 and refractory GVHD, and multivariate competing risk proportional subdistribution hazard regression models were set up to adjust for the impact of potential confounders of the effect of nitrate levels on sensitive GVHD and NRM: donor, conditioning, age, and disease-specific remission score.26,28
Calculations were done using the statistical software environment R, version 2.13.2, together with the R packages ‘maxstat’ version 0.7–17, ’coin’, version 1.0–19, ‘rms’, version 3.3-0, cmprsk, version 2.2–2, kmi, version 0.3–4. All statistical tests were two-sided and P values <0.05 were considered to denote a statistically significant result.
Results
Patients’ characteristics
Of 828 patients who underwent allogeneic SCT in our institution between June 2002 and December 2011, 417 met the eligibility criteria for this study (measurable serum nitrate levels). Angiopoietin-2 was measured in 327 patients, as reported previously.3 Collectively, 182 of 417 patients (44%) developed at least one episode of acute GVHD. Patients were categorized based on concomitant statin therapy starting at least 1 day before transplantation into group 1, consisting of 258 patients not taking concomitant pravastatin, and group 2, formed of 159 patients receiving therapy with pravastatin. As shown in Table 1, baseline and transplant-associated characteristics did not differ between the two groups of patients except for age distribution, donor use, disease status and liver GVHD. Patients treated with statins were significantly older and were significantly more often transplanted from a matched unrelated donor. They were also more often in disease remission status 1 and more often had liver GVHD. No statin-associated toxicities requiring statin withdrawal were observed.
In addition, patients were grouped based on pre-transplant nitrate levels (low: ≤26.5 μM, n=169; high: >26.5 μM, n=248) (Online Supplementary Table S1, Online Supplementary Methods). Again, no significant differences between the two cohorts could be identified except that patients with high nitrate levels were significantly younger, were more often female, were more often in disease remission status 1 and less often had acute myeloid leukemia.
High pre-transplant serum nitrate levels predict steroid-refractory graft-versus-host disease and non-relapse mortality
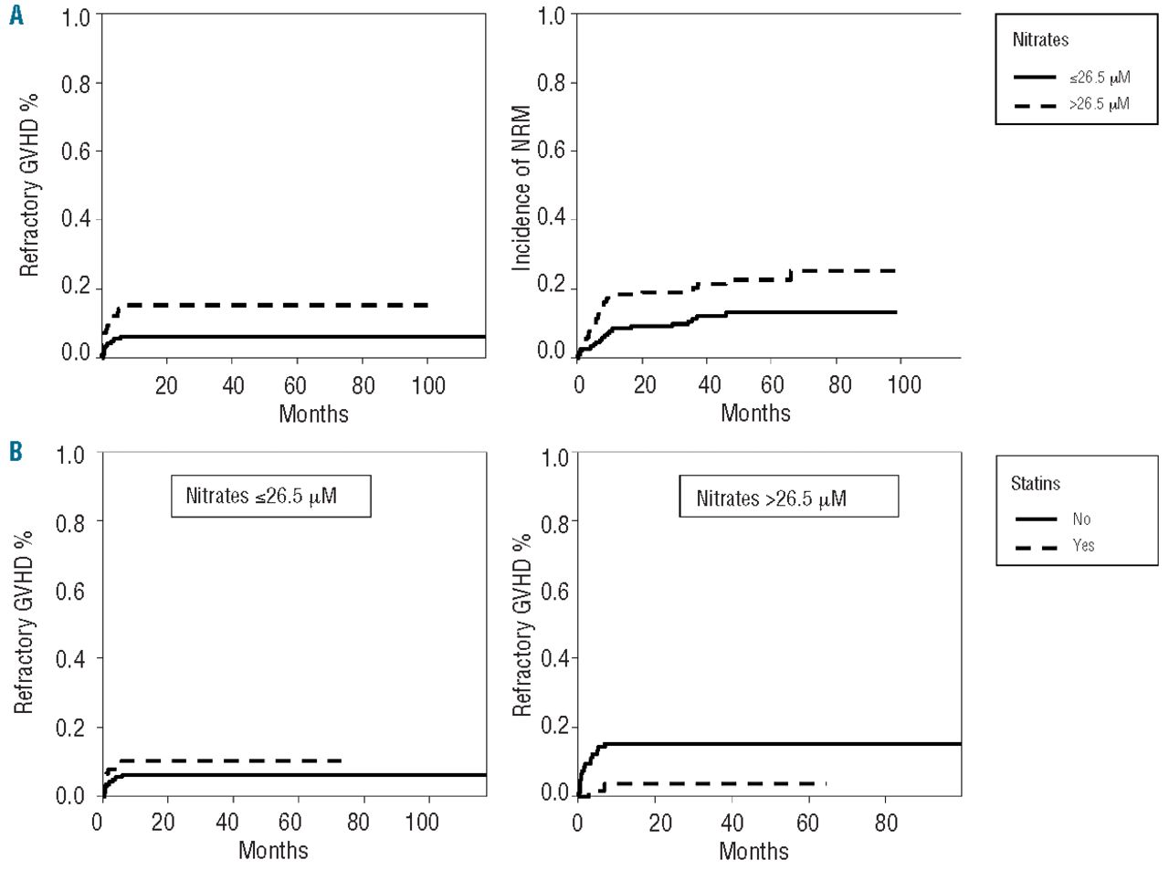
In the absence of statin therapy, pre-transplant serum nitrates exceeding 26.5 μM predicted steroid-refractory GVHD (P=0.026) and NRM (P=0.028) (Figure 1A). Multivariate analyses confirmed serum nitrates as independent predictors of steroid-refractory GVHD and NRM (Table 2). Nitrates were only predictive for NRM within the subgroup of patients who later developed any grade GVHD [P=0.015; hazard ratio (HR) 2.50, 95% confidence interval (95% CI) 1.19–5.24)] but not within the group of patients who never suffered from GVHD (P=0.76; HR 1.18, 95% CI 0.41–3.35).
Lack of correlation between serum nitrates and systemic inducible nitric oxide synthase activity
Increased NO levels can be generated by iNOS.29 Because iNOS is induced during inflammation, we tried to link inflammatory markers with pre-transplant nitrate levels. Differences in serum nitrate levels did not correlate with pre-transplant serum levels of TNF-α (Pearson correlation: r=0.1), C-reactive protein (n=150, r=0) or expression of iNOS in blood cells (Online Supplementary Figure S1).
Table 1.Characteristics of patients divided according to whether they received statins. P values were calculated using the Mann-Whitney test, Fisher test or χ2-test.
Reduced incidence of refractory graft-versus-host disease in patients with high pre-transplant nitrate levels treated with statins
In contrast to patients with low pre-transplant nitrate levels (P=0.28; HR 1.66, 95% CI 0.66–4.17), patients with high pre-transplant nitrate levels had significantly reduced rates of refractory GVHD when pravastatin was used from day -1 (P=0.031; HR 0.19 95% CI 0.05–0.86) (Figure 1B).
High pre-transplant angiopoietin-2 and nitrate levels independently predict outcome of graft-versus-host disease
In multivariate analyses, pretransplant nitrate and angiopoietin-2 levels were independent predictors of steroid refractory GVHD (Table 2). Consequently, patients with both risk factors had the highest risk of developing steroid-refractory GVHD and NRM (P=0.0007 and P=0.021, respectively) (Figure 2). Among patients with both risk factors (angiopoietin-2 >1,000 pg/mL and nitrate >26.5 μM), statin intake showed a non-significant trend for lower incidence of steroid-refractory GVHD (P=0.26; HR 0.48, 95% CI 0.10–1.87), with lack of significance most likely due to the low number of patients on statins (n=20) in this high-risk group. Again, subgroup analysis revealed that the NRM of the high-risk group was only elevated in patients with GVHD (P=0.0006; HR 3.73, 95% CI 1.75–8.83), but not in patients without GVHD (Figure 3).
Multivariate analysis of the whole study population, not restricting the analysis to any subgroup, confirmed that low nitrate levels were associated with a reduced incidence of refractory GVHD overall, but not of grade 3–4 GVHD (Table 2). Furthermore, high nitrate levels (>26.5 μM) were associated with an increased incidence of NRM whereas statin intake was associated with a significantly reduced incidence of NRM (Table 2).
Discussion
In our retrospective study we identified a cohort of patients who are high risk of developing steroid-refractory disease if an allogeneic T-cell response strikes to induce GVHD. We have previously provided evidence that steroid-refractory but not steroid-sensitive GVHD is associated with endothelial distress.2,3 In particular, the levels of cytokines indicating endothelial damage, such as angiopoietin-2, soluble thrombomodulin, hepatocyte growth factor, and interleukin 8, were exclusively raised in patients with refractory GVHD when measured in serum on day 50 and 100 after allogeneic SCT.3 Here we report that these patients can be identified prior to allogeneic SCT by high serum nitrate and angiopoietin-2 concentrations. The risk of steroid-refractory GVHD in this high-risk group appears to be reduced by statin administration during the transplant and early post-transplant period.
The concept of endothelial vulnerability suggests that the development of refractory disease is at least in part a characteristic of the recipient’s endothelial cell system and hence can be predicted before transplantation.3 Angiopoietin-2 clearly mediates endothelial stress5 and we previously showed that in patients who developed severe (grade 3–4) GVHD high pre-transplant angiopoietin-2 levels were associated with refractoriness to steroids.2,3
Nitrates are the final oxidative degradation product of NO, a critical regulator of vascular homeostasis, neurotransmission and host defenses.30,31 We found that patients with elevated pre-transplant nitrate levels were more likely to develop steroid-refractory GVHD, translating into a higher incidence of NRM among this group.
Increased NO levels can be caused by iNOS.29 To exclude that iNOS activity contributed to the serum nitrate levels measured in our study, we tried to link inflammatory markers with nitrate levels measured prior to allogeneic SCT. However, neither serum levels of TNF, C-reactive protein nor intracellular iNOS in peripheral blood mononuclear cells correlated with nitrate levels. It is, therefore, unlikely that increased pre-transplant iNOS activity due to inflammatory conditions caused the increased rates of refractory GVHD in the high nitrate cohort. Alternatively eNOS activity reflecting endothelial stress may have contributed significantly to the increased nitrate levels measured in our study cohort. In line with our findings animal models of atherosclerosis demonstrated increased expression of eNOS, at least in early stages of the disease.32 In addition, single nucleotide polymorphisms of the eNOS genes have also been shown to alter baseline nitrate levels prior to allogeneic SCT.33 Most importantly, nitrate itself has also been recognized as a storage pool for NO-like bioactivity, and can physiologically be recycled to form NO.34,35 The bioactivation of nitrate from dietary or endogenous sources requires its initial reduction to nitrite.35 As mammals lack specific and effective nitrate reductase enzymes, this conversion is mainly carried out by commensal bacteria on body surfaces and in the gastrointestinal tract (including mouth/saliva).36 This evokes a fascinating, nitrate/NO-associated relationship of commensal bacteria, mucosal surface immunity and endothelial cell function that deserves further attention in the context of GVHD pathophysiology.
Figure 1.(A)Serum nitrate levels measured prior to allogeneic SCT predict steroid-refractory GVHD and NRM. Patients with high pre-transplant serum nitrate levels (>26.5 μM, dashed line, n=169) had a higher incidence of steroid-refractory GVHD (P=0.026; HR 2.5, 95% CI 1.1–6.2) and a higher NRM rate (P=0.028; HR 1.96, 95% CI 1.08–3.56) than patients with low serum nitrate levels (=26.5 μM, solid line, n=248). Patients who received statins during and after transplantation were excluded from all analyses. (B) Statin intake reduces incidence of steroid-refractory GVHD in patients with high nitrate levels. Statin intake (dashed line) during and after transplantation (n=159) did not reduce the incidence of steroid-refractory GVHD among patients with low pre-transplant serum nitrate levels (=26.5 μM, n=248, P=0.28; HR 1.66, 95% CI 0.66–4.17). In contrast, patients with high pre-transplant serum nitrate levels (n=169, >26.5 μM) did benefit from statin intake and had a significantly lower incidence of steroid-refractory GVHD (P=0.031, HR 0.20, 95% CI 0.05–0.86).
Table 2.Multivariate analysis with regard to GVHD grade 3–4, refractory GVHD and NRM. A complete case analysis was performed for all patients, without restriction to any subgroup (n=308).
Figure 2.Serum nitrate levels and angiopoietin-2 (ANG) levels measured prior to allogeneic SCT cooperate to predict steroid-refractory GVHD and NRM: Patients (n=325) were divided into three risk groups: (i) angiopoietin-2 >1,000 pg/mL and nitrates >26.5 μM, n=67; (ii) either angiopoietin-2 >1,000 pg/mL or nitrates >26.5 μM, n=158; and (iii) neither of these risk factors, n=32. Patients with both risk factors (angiopoietin-2 >1,000 pg/mL and nitrates > 26.5 μM) had a significantly higher incidence of steroid-refractory GVHD (P=0.0007; HR 3.9, 95% CI 1.78–8.65) as well as NRM (P=0.021; HR 2.05, 95% CI 1.11–2.78) as compared with the remaining groups.
A major finding of this study is the observation that statin therapy seems to eliminate the increased risk of GVHD refractoriness associated with elevated pre-transplant nitrate serum levels. Statins were reported to attenuate innate and adaptive immune responses20 and to protect endothelial cells.15 As patients with refractory GVHD are insensitive to the immunosuppressive activity of a wide variety of drugs, it is hard to conceive how the reduced incidence of refractory GVHD could be explained by statins suppressing immune responses. Rather, we hypothesize that it is the endothelial protective activity of statins that is responsible, at least in part, for the decrease in the incidence of refractory GVHD under statin treatment. Statins have been shown to exert pleiotropic, concentration-dependent effects, including eNOS induction and vessel stabilization.16,37,38 Recently, we reported that intestinal biopsy findings of patients with refractory GVHD were associated with an abnormal loss of endothelial thrombomodulin expression.4 It is possible that statins might affect local endothelial thrombomodulin expression, a hypothesis that is currently being investigated. Clearly, it must be taken into account that patients who were or were not treated with statins were consecutive and not concurrent in this study. It cannot, therefore, be ruled out that other, yet unrecognized, time-dependent factors may have accounted for the effects observed. However, the lack of effects of statin treatment on patients with low nitrate levels argues for the specificity of our observation.
Figure 3.Endothelial risk parameters indicate transplant-related mortality only in patients who develop GVHD. Patients were divided into three risk groups: (i) angiopoietin-2 (ANG) >1,000 pg/mL and nitrates >26.5 μM; (ii) either angiopoietin-2 >1,000 pg/mL or nitrates >26.5 μM; and (iii) neither of these risk factors. Patients with both risk factors (angiopoietin-2 >1,000 pg/mL and nitrates >26.5 μM) only had an increased incidence of NRM if they developed GVHD (P=0.0006; HR 3.73, 95% CI 1.75–8.33) but not if they never suffered from GVHD.
Finally, we have also demonstrated that pre-transplant nitrate levels are predictive of steroid-refractory GVHD and NRM, independently of angiopoietin-2 levels. The presence of both risk factors prior to allogeneic SCT identifies a group of patients who have the highest risk of developing refractory GVHD. This information could potentially be used to guide immunosuppression after transplantation. Furthermore, a more selective use of statins for endothelial high-risk patients who are likely to benefit should be explored in future studies. Statin intake showed a reduced trend for refractory GVHD, most likely due to the small numbers of patients on statins in this high-risk group. Subgroup analysis revealed that the NRM rate of the high-risk group was increased in patients with GVHD but not in patients without GVHD. This observation strongly supports our hypothesis that endothelial vulnerability causes transplant-related mortality only in patients who experience a severe immune attack.
In summary, within the limits of a retrospective analysis our study shows that patients at high risk of steroid-refractory GVHD can be identified already prior to allogeneic SCT by serum levels of nitrates and angiopoietin-2, both relevant markers of endothelial cell physiology, thereby further supporting the “endothelial vulnerability” hypothesis. Given the dismal prognosis of patients with refractory GVHD, together with the observed lack of statin-associated toxicity, we believe that further studies on the role of the endothelium and statin administration on GVHD outcome are highly warranted.
Acknowledgments
We thank Michael Hess for his excellent technical assistance and the construction of the tissue bank.
Footnotes
- The online version of this article has a Supplementary Appendix.
- Funding This work was supported by grants from the Helmholtz-Alliance on Immunotherapy of Cancer, B.L.U.T. eV and the Wilhelm-Sander-Stiftung.
- Authorship and Disclosures Information on authorship, contributions, and financial & other disclosures was provided by the authors and is available with the online version of this article at www.haematologica.org.
- Received April 18, 2013.
- Accepted October 3, 2013.
References
- Martin PJ, Rizzo JD, Wingard JR, Ballen K, Curtin PT, Cutler C. First- and second-line systemic treatment of acute graft-versus-host disease: recommendations of the American Society of Blood and Marrow Transplantation. Biol Blood Marrow Transplant. 2012; 18(8):1150-63. PubMedhttps://doi.org/10.1016/j.bbmt.2012.04.005Google Scholar
- Luft T, Dietrich S, Falk C, Conzelmann M, Hess M, Benner A. Steroid-refractory GVHD: T-cell attack within a vulnerable endothelial system. Blood. 2011; 118(6):1685-92. PubMedhttps://doi.org/10.1182/blood-2011-02-334821Google Scholar
- Dietrich S, Falk CS, Benner A, Karamustafa S, Hahn E, Andrulis M. Endothelial vulnerability and endothelial damage are associated with risk of graft-versus-host disease and response to steroid treatment. Biol Blood Marrow Transplant. 2013; 19(1):22-7. PubMedhttps://doi.org/10.1016/j.bbmt.2012.09.018Google Scholar
- Andrulis M, Dietrich S, Longerich T, Koschny R, Burian M, Schmitt-Graf A. Loss of endothelial thrombomodulin predicts response to steroid therapy and survival in acute intestinal graft-versus-host disease. Haematologica. 2012; 97(11):1674-7. PubMedhttps://doi.org/10.3324/haematol.2011.061051Google Scholar
- Fiedler U, Reiss Y, Scharpfenecker M, Grunow V, Koidl S, Thurston G. Angiopoietin-2 sensitizes endothelial cells to TNF-alpha and has a crucial role in the induction of inflammation. Nat Med. 2006; 12(2):235-9. PubMedhttps://doi.org/10.1038/nm1351Google Scholar
- Furchgott RF, Zawadzki JV. The obligatory role of endothelial cells in the relaxation of arterial smooth muscle by acetylcholine. Nature. 1980; 288(5789):373-6. PubMedhttps://doi.org/10.1038/288373a0Google Scholar
- Vallance P, Chan N. Endothelial function and nitric oxide: clinical relevance. Heart. 2001; 85(3):342-50. PubMedhttps://doi.org/10.1136/heart.85.3.342Google Scholar
- Wennmalm A, Benthin G, Edlund A, Jungersten L, Kieler-Jensen N, Lundin S. Metabolism and excretion of nitric oxide in humans. An experimental and clinical study. Circ Res. 1993; 73(6):1121-7. PubMedhttps://doi.org/10.1161/01.RES.73.6.1121Google Scholar
- Takahashi H, Nakanishi T, Nishimura M, Tanaka H, Yoshimura M. Measurements of serum levels of nitrate ions in men and women: implications of endothelium-derived relaxing factor in blood pressure regulation and atherosclerosis. J Cardiovasc Pharmacol. 1992; 20(Suppl 12):S214-6. PubMedhttps://doi.org/10.1097/00005344-199204002-00061Google Scholar
- Rhodes P, Leone AM, Francis PL, Struthers AD, Moncada S, Rhodes PM. The L-arginine:nitric oxide pathway is the major source of plasma nitrite in fasted humans. Biochem Biophys Res Commun. 1995; 209(2):590-6. PubMedhttps://doi.org/10.1006/bbrc.1995.1541Google Scholar
- Knowles RG, Moncada S. Nitric oxide synthases in mammals. Biochem J. 1994; 298(Pt 2):249-58. PubMedhttps://doi.org/10.1042/bj2980249Google Scholar
- Ersoy Y, Ozerol E, Baysal O, Temel I, MacWalter RS, Meral U. Serum nitrate and nitrite levels in patients with rheumatoid arthritis, ankylosing spondylitis, and osteoarthritis. Ann Rheum Dis. 2002; 61(1):76-8. PubMedhttps://doi.org/10.1136/ard.61.1.76Google Scholar
- Cai B, Roy DK, Sciacca R, Michler RE, Cannon PJ. Effects of immunosuppressive therapy on expression of inducible nitric oxide synthase (iNOS) during cardiac allograft rejection. Int J Cardiol. 1995; 50(3):243-51. PubMedhttps://doi.org/10.1016/0167-5273(95)02384-9Google Scholar
- Hoffman RA, Nussler NC, Gleixner SL, Zhang G, Ford HR, Langrehr JM. Attenuation of lethal graft-versus-host disease by inhibition of nitric oxide synthase. Transplantation. 1997; 63(1):94-100. PubMedhttps://doi.org/10.1097/00007890-199701150-00018Google Scholar
- Balakumar P, Kathuria S, Taneja G, Kalra S, Mahadevan N. Is targeting eNOS a key mechanistic insight of cardiovascular defensive potentials of statins?. J Mol Cell Cardiol. 2012; 52(1):83-92. PubMedhttps://doi.org/10.1016/j.yjmcc.2011.09.014Google Scholar
- Martinez-Gonzalez J, Badimon L. Influence of statin use on endothelial function: from bench to clinics. Curr Pharm Des. 2007; 13(17):1771-86. PubMedhttps://doi.org/10.2174/138161207780831220Google Scholar
- Kwak B, Mulhaupt F, Myit S, Mach F. Statins as a newly recognized type of immunomodulator. Nat Med. 2000; 6(12):1399-402. PubMedhttps://doi.org/10.1038/82219Google Scholar
- Weitz-Schmidt G, Welzenbach K, Brinkmann V, Kamata T, Kallen J, Bruns C. Statins selectively inhibit leukocyte function antigen-1 by binding to a novel regulatory integrin site. Nat Med. 2001; 7(6):687-92. PubMedhttps://doi.org/10.1038/89058Google Scholar
- Hamadani M, Awan FT, Devine SM. The impact of HMG-CoA reductase inhibition on the incidence and severity of graft-versus-host disease in patients with acute leukemia undergoing allogeneic transplantation. Blood. 2008; 111(7):3901-2. PubMedhttps://doi.org/10.1182/blood-2008-01-132050Google Scholar
- Zeiser R, Youssef S, Baker J, Kambham N, Steinman L, Negrin RS. Preemptive HMG-CoA reductase inhibition provides graft-versus-host disease protection by Th-2 polarization while sparing graft-versus-leukemia activity. Blood. 2007; 110(13):4588-98. PubMedhttps://doi.org/10.1182/blood-2007-08-106005Google Scholar
- Broady R, Levings MK. Graft-versus-host disease: suppression by statins. Nat Med. 2008; 14(11):1155-6. PubMedhttps://doi.org/10.1038/nm1108-1155Google Scholar
- Rotta M, Storer BE, Storb RF, Martin PJ, Heimfeld S, Peffer A. Donor statin treatment protects against severe acute graft-versus-host disease after related allogeneic hematopoietic cell transplantation. Blood. 2010; 115(6):1288-95. PubMedhttps://doi.org/10.1182/blood-2009-08-240358Google Scholar
- Rotta M, Storer BE, Storb R, Martin PJ, Flowers ME, Vernon MS. Impact of recipient statin treatment on graft-versus-host disease after allogeneic hematopoietic cell transplantation. Biol Blood Marrow Transplant. 2010; 16(10):1463-6. PubMedhttps://doi.org/10.1016/j.bbmt.2010.05.006Google Scholar
- Glucksberg H, Storb R, Fefer A, Buckner CD, Neiman PE, Clift RA. Clinical manifestations of graft-versus-host disease in human recipients of marrow from HL-A-matched sibling donors. Transplantation. 1974; 18(4):295-304. PubMedhttps://doi.org/10.1097/00007890-197410000-00001Google Scholar
- Schmitt T, Luft T, Hegenbart U, Tran TH, Ho AD, Dreger P. Pentostatin for treatment of steroid-refractory acute GVHD: a retrospective single-center analysis. Bone Marrow Transplant. 2011; 46(4):580-5. PubMedhttps://doi.org/10.1038/bmt.2010.146Google Scholar
- Scrucca L, Santucci A, Aversa F. Regression modeling of competing risk using R: an in depth guide for clinicians. Bone Marrow Transplant. 2010; 45(9):1388-95. PubMedhttps://doi.org/10.1038/bmt.2009.359Google Scholar
- Scrucca L, Santucci A, Aversa F. Competing risk analysis using R: an easy guide for clinicians. Bone Marrow Transplant. 2007; 40(4):381-7. PubMedhttps://doi.org/10.1038/sj.bmt.1705727Google Scholar
- Gray RJ. A Class of K-sample tests for comparing the cumulative incidence of a competing risk. Ann Statist. 1988; 16(3):1141-54. https://doi.org/10.1214/aos/1176350951Google Scholar
- Stuehr DJ. Mammalian nitric oxide synthases. Biochim Biophys Acta. 1999; 1411(2–3):217-30. PubMedGoogle Scholar
- Moncada S, Higgs A. The L-arginine-nitric oxide pathway. N Engl J Med. 1993; 329(27):2002-12. PubMedhttps://doi.org/10.1056/NEJM199312303292706Google Scholar
- Ignarro LJ. Nitric oxide as a unique signaling molecule in the vascular system: a historical overview. J Physiol Pharmacol. 2002; 53(4 Pt 1):503-14. PubMedGoogle Scholar
- Kawashima S, Yokoyama M. Dysfunction of endothelial nitric oxide synthase and atherosclerosis. Arterioscler Thromb Vasc Biol. 2004; 24(6):998-1005. PubMedhttps://doi.org/10.1161/01.ATV.0000125114.88079.96Google Scholar
- Sandrim VC, de Syllos RW, Lisboa HR, Tres GS, Tanus-Santos JE. Influence of eNOS haplotypes on the plasma nitric oxide products concentrations in hypertensive and type 2 diabetes mellitus patients. Nitric Oxide. 2007; 16(3):348-55. PubMedhttps://doi.org/10.1016/j.niox.2006.12.007Google Scholar
- Benjamin N, O’Driscoll F, Dougall H, Duncan C, Smith L, Golden M. Stomach NO synthesis. Nature. 1994; 368(6471):502. PubMedGoogle Scholar
- Lundberg JO, Weitzberg E, Gladwin MT. The nitrate-nitrite-nitric oxide pathway in physiology and therapeutics. Nat Rev Drug Discov. 2008; 7(2):156-67. PubMedhttps://doi.org/10.1038/nrd2466Google Scholar
- Duncan C, Dougall H, Johnston P, Green S, Brogan R, Leifert C. Chemical generation of nitric oxide in the mouth from the enterosalivary circulation of dietary nitrate. Nat Med. 1995; 1(6):546-51. PubMedhttps://doi.org/10.1038/nm0695-546Google Scholar
- Forstermann U. Nitric oxide and oxidative stress in vascular disease. Pflugers Arch. 2010; 459(6):923-39. PubMedhttps://doi.org/10.1007/s00424-010-0808-2Google Scholar
- Medina RJ, O’Neill CL, Devine AB, Gardiner TA, Stitt AW. The pleiotropic effects of simvastatin on retinal microvascular endothelium has important implications for ischaemic retinopathies. PloS one. 2008; 3(7):e2584. PubMedhttps://doi.org/10.1371/journal.pone.0002584Google Scholar
- Gratwohl A, Stern M, Brand R, Apperley J, Baldomero H, de Witte T. Risk score for outcome after allogeneic hematopoietic stem cell transplantation: a retrospective analysis. Cancer. 2009; 115(20):4715-26. PubMedhttps://doi.org/10.1002/cncr.24531Google Scholar