Abstract
Background We previously showed that vaccination with one dose of PR1 and WT1 peptides induces transient anti-leukemia immunity. We hypothesized that maintenance of a sustained anti-leukemia response may require frequent boost injections.Design and Methods Eight patients with myeloid malignancies were enrolled in this phase II study, and 6 completed 6 injections of PR1 and WT1 peptides in Montanide-adjuvant with GM-CSF, every two weeks.Results Both high- and low-avidity PR1 or WT1-specific CD8+ T cells were detected in all evaluable patients after the first vaccine dose. Repeated vaccination led to selective deletion of high avidity PR1- and WT1-specific CD8+ T cells and was not associated with significant reduction in WT1-expression. Additional boosting failed to increase vaccine-induced CD8+ T-cell frequencies further and in all patients the response was lost before the 6th dose. PR1- or WT1-specific CD8+ T cells were not detected in bone marrow samples, excluding their preferential localization to this site. Following a booster injection three months after the 6th vaccine dose, no high-avidity PR1 or WT1-specific CD8+ T cells could be detected, whereas low-avidity T cells were readily expanded.Conclusions These data support the immunogenicity of PR1 and WT1 peptide vaccines. However, repeated delivery of peptides with Montanide-adjuvant and GM-CSF leads to rapid loss of high-avidity peptide-specific CD8+ T cells. These results may offer an explanation for the lack of correlation between immune and clinical responses observed in a number of clinical trials of peptide vaccination. New approaches are needed to induce long-term high-avidity memory responses against leukemia antigens. (ClinicalTrials.gov Identifier: NCT00499772)Introduction
Myeloid malignancies offer an attractive model to test immunotherapeutic approaches in view of the striking evidence that immunological graft-versus-leukemia (GvL)-reactions efficiently eradicate malignant cells after transplant. We previously demonstrated that vaccination with one subcutaneous dose of two leukemia-associated antigens (LAA), PR11–4 and WT14–10 peptides, in Montanide-adjuvant with granulocyte-macrophage colony-stimulating factor (GM-CSF) (study 06-H-0062), induced transient PR1 or WT1-specific CD8 T cells associated with a significant but short-lived reduction in minimal residual disease (MRD).11
We hypothesized that maintenance of a sustained anti-leukemia response might require frequent boost injections and initiated a phase II study of repeated PR1 and WT1 peptide vaccination in patients with myeloid malignancies. We report here that CD8 T-cell responses against PR1 or WT1 were induced in all patients. However, repeated vaccination led to selective deletion of high-avidity PR1 and WT1-specific CD8 T cells with preferential expansion of low-avidity responses, not associated with significant reductions in WT1-expression. These data may offer an explanation for the lack of correlation between immune and clinical responses reported in several clinical trials of peptide vaccination in cancer.12,13 New vaccine approaches are needed to induce long-term high-avidity memory responses against tumor antigens.
Design and Methods
Clinical trial design
HLA-A*0201 positive patients with acute myeloid leukemia (AML) in remission and myelodysplastic syndromes (MDS) were recruited (Protocol #07-H-0159). Entry criteria included: age over 18 years, bone marrow (BM) cellularity 20% or more, no corticosteroid treatment within 14 days prior to enrolment, negative serology for anti-proteinase-3 or anti-neutrophil cytoplasmic antibodies (ANCA), no previous history of Wegener’s granulomatosis. The study was approved by the Institutional Review Board of the National Heart Lung Blood Institute (NHLBI), National institutes of Health, Bethesda, USA. Following written informed consent, patients received 6 subcutaneous doses of PR1 (0.5 mg) and WT1 (0.2 mg) vaccination in Montanide-adjuvant (Seppic, Inc., Fairfield, NJ, USA) at two weekly intervals followed by one booster injection 12 weeks following the last dose of vaccine. Peptides admixed with Montanide were given by deep subcutaneous injection into 2 separate sites. GM-CSF (Sargramostim), (Berlex Laboratories Inc., Richmond, California, USA) was administered subcutaneously as 2 separate 100 μg injections in the same region as each vaccine dose. Following vaccination, patients were reviewed every two weeks in the outpatient clinic for 26 weeks.
Vaccine preparation and administration
WT1:126-134 (RMFPNAPYL) and PR1:169-177 (VLQELNVTV) peptides were synthesized to GMP-grade by NeoMPS, Inc. (San Diego, California, USA). The Pharmaceutical Development Section of the Pharmacy Department (NIH Clinical Center) reconstituted and vialed the peptides and provided quality assurance, IND#12632. Peptides were stored in dimethyl sulfoxide (DMSO) at −70°C and thawed on the day of injection. A water-in-oil emulsion vaccine was then prepared, consisting of the peptide (aqueous phase) and the adjuvant Montanide ISA-51 VG (oil phase), by combining equal parts of the peptide and the adjuvant. The emulsions formed were shown to be stable for at least three hours.
Assessment of toxicity
At each outpatient visit, patients were evaluated for toxicities according to the National Cancer Institute Common Toxicity Criteria and independently reviewed by the Data Safety Monitoring Board (DSMB). The protocol mandated discontinuation of vaccination in any one patient if grade 3 toxicity or over was observed.
Sample collection and storage
Peripheral blood mononuclear cells (PBMCs) and bone marrow mononuclear cells (BMMNCs) were separated using Ficoll-Hypaque density gradient centrifugation (Organon-Teknika, Durham, NC, USA). Fresh PBMCs and BMMNCs were used in peptide/HLA-A*0201 tetramer and intracellular-IFN-γ (IC-IFN-γ) assays (as described below). Additional PBMCs and BMMNCs were cryopreserved in RPMI-1640 complete medium (CM; Life Technologies, Gaithersburg, MD, USA) supplemented with 20% heat-inactivated fetal calf serum (FCS) and 10% DMSO according to standard protocols. Cells were thawed for experiments, washed, and suspended in RPMI-CM plus 10% pooled human AB serum (Sigma-Aldrich, St Louis, MO, USA).
High-resolution HLA class-I genotyping was performed by sequence-specific polymerase chain reaction (PCR) using genomic DNA (HLA-Laboratory, NIH, Bethesda, MD, USA).
Evaluation of immunogenicity with peptide-HLA class-I tetrameric complexes
Fresh PBMC obtained before and every two weeks after vaccination and fresh BMMNC at week 16 post-vaccination were stained with ViViD (Invitrogen/Molecular Probes) for 15 min at room temperature (1–2×10 in 50 μL of 1% FCS/PBS per experimental condition). After a further wash, the cells were stained with pre-titered allophycocyanin (APC) conjugated PR1/HLA-A*0201 (Beckman Coulter Inc., Fullerton, California, USA), and WT1/HLA-A*0201 tetramers (NIH tetramer facility) as described previously.11 APC-conjugated CMVpp65495/HLA-A*0201 and HLA-A*0201-Null tetramers (Beckman Coulter Inc., Fullerton, California, USA) used as positive and negative controls, respectively. Tetramers were added for 20–30 min at 37°C. Cells were washed in 1% FCS/PBS and stained with a titrated panel of directly conjugated antibodies to CD3, CD8 and anti–human PD-1 mAb (MIH4) (all from BD Biosciences, San Jose, CA, USA). Fluorescein-isothiocyanate (FITC), phycoerythrin (PE), peridinin-chlorophyll-protein (PerCP) and PE-Cy7 were used as fluorophores. The lymphocytes were washed in 1% bovine serum albumin (BSA) in PBS, and resuspended in 1% paraformaldehyde in PBS. A minimum of 0.5×10 gated cells were acquired. Flow cytometry was performed on an LSR-II flow cytometer (BD Biosciences, San Jose, CA, USA) using FacsDiva software (BD Biosciences, San Jose, CA, USA). A peptide/HLA-A*0201 assay was considered positive if the frequencies of peptide/HLA-A*0201 tetramer CD8 T cells was 2-fold or more higher than HLA-A*0201-Null binding CD8 T cells (background) and if there was a minimum of 0.05% peptide/HLA-A*0201 tetramer binding CD8 T cells (after subtracting the percentage of HLA-A*0201-Null tetramer binding CD8 T cells).11
Functional evaluation of antigen-specific CD8+ T cells
Intracellular-cytokine detection was performed as described previously. In brief, 10 fresh PBMC were resuspended in RPMI-CM supplemented with 10% human AB serum and incubated overnight at 37°C (humidity, 90%; CO2, 5%) to minimize background IFN-γ production secondary to lymphocyte manipulation during processing. The following day fresh PBMCs and BMMNCs were loaded with or without test peptides (0.1 and 10 μM). After 2 h, 10 μg/mL Brefeldin-A (Sigma) was added. After an additional 4 h, CD3 CD8 T cells were stained with an anti-CD3 PerCP-conjugated antibody and anti-CD8 PE-conjugated antibody, fixed/permeablized and stained with an anti-IFN-γ FITC-conjugate (all BD/Pharmingen, San Diego, CA, USA).
A T-cell response was considered positive if the frequencies of IFN-γ CD8 T cells in peptide-stimulated PBMCs were 2-fold or more higher than the frequencies of IFN-γ CD8 T cells in unstimulated PBMCs and if there was a minimum of 0.05% IFN-γ CD8 T cells (after subtracting the frequencies of IFN-γ CD8 T cells in unstimulated PBMCs).11
Enumeration of Foxp3+CD4+ T cells
For each patient, stored aliquots of PBMCs collected at different time points were thawed on the same day and phenotypically analyzed by 4-color flow cytometry using a titrated panel of directly conjugated antibodies to CD3, CD4 and CD25 (M-A251) (all Beckman Coulter, Miami, FL, USA). Intracellular analysis of FoxP3 (eBioscience, San Diego, CA, USA) was performed after fixation and permeabilization according to the manufacturer’s recommendation, as described previously.14
Short-term expansion of PR1- and WT1-specific CD8+ T cells in vitro
Stored aliquots of PBMCs were thawed and suspended in AIM-V (Invitrogen, Carlsbad, CA, USA) and 5% human AB serum (Valley Biomedical, Winchester, VA, USA) hereafter referred to as AIM/HS, with or without IL-12 (2 ng/mL; Peprotech, Rocky Hill, NJ, USA). Cells were plated in 96-well round-bottom microtiter plates (100,000–200,000/well) and loaded with test or control peptides (0.1 and 10 μg/mL) or medium alone (no-peptide). Test peptides included PR1 and WT1 and control peptides gp100209–217(210M) and CAP1-6D (irrelevant HLA-A*0201–binding peptide negative controls) and CMVpp65495 (positive control for CMV-responsive patients/donors) were added directly to each well. The microtiter plates were incubated at 37°C with 5% CO2. On day 4, 100 μL AIM/HS containing recombinant human IL-2 (10 IU/mL, Peprotech) were added. Cells were harvested on day 7 for enzyme-linked immunosorbent spot (ELISPOT) analysis.
Functional evaluation of CD8+ T cells by IFN-γ ELISPOT assay
The frequency of antigen-specific T cells in freshly thawed PBMCs and after seven days in vitro expansion was assessed as described previously.15,16 Briefly, anti–IFN-γ–coated ELISPOT plates were prepared by sequentially treating ImmunoSpot MultiScreen HTS IP 96-well plates (Millipore, Watertown, MA, USA) with 70% methanol in water for 1–2 min at room temperature followed by IFN-γ capture antibody (10 μg/mL) overnight at 4°C, and BSA (10 mg/mL in PBS) for 2 h at 37°C. To measure PR1- and WT1-specific CD8 T-cell responses directly, 100,000 to 200,000 viable, freshly thawed PBMCs were incubated for 18 h in anti–IFN-γ–coated ELISPOT wells with transporter-associated-with-antigen-processing (TAP)–defective T2 cells (50,000 cell/well) loaded with each of the following peptides: PR1, WT1 (0.1 or 10 μg/mL), control peptides: gp100 or CAP-1-6D, CMVpp65495 (positive control for CMV-responsive patients/donors), or not loaded with peptide. T2 cells were incubated with or without test peptide for 2 h and washed in standard media to remove excess peptide. A T-cell response was considered positive if there was a minimum of 20 peptide-specific spots in 10 PBMCs (after subtracting the number of spots in unstimulated PBMCs), if the number of spots in peptide-exposed PBMCs was 2-fold or more higher than the number of spots in unstimulated PBMCs and statistically significantly different from the control in comparison of the triplicates by Student’s t-test.15
In 7-day expansion assays, the antigen-specific T-cell response was enhanced by supplementing culture media with IL-12 (2 ng/mL). For each experiment, negative control wells containing responder cells and unpulsed autologous PBMCs and positive-control wells containing responder cells incubated with either CMVpp65495 peptide or phytohemagglutinin (Invitrogen) were included. On day 7, cells were stimulated with T2 cells loaded with or without test peptide and ELISPOT responses were measured in 4–6 replicate wells. Spots were counted using an automated ELISPOT-reader (AID, Strassberg, Germany) and the ELISPOT 3.1 SR software.
Measurement of WT1 by real-time quantitative reverse transcription polymerase chain reaction (qRT-PCR)
All samples for qRT-PCR were blinded. RNA was isolated from a minimum of 10 PBMC using RNeasy mini-kits (Qiagen, CA, USA). cDNA was synthesized using the Advantage RT-for-PCR kit (Clontech, Mountain View, CA, USA). ABL expression was used as the endogenous cDNA quantity control for all samples.17 All reactions by qRT-PCR using the ABI PRISM 7900 sequence detection system (Applied Biosystems, Foster City, CA, USA) were performed in triplicate using standard conditions with 40 cycles of amplification. WT1 qRT-PCR reactions could consistently detect one leukemic in 1,000,000 non-leukemic cells.11
Results
Patients’ characteristics and summary of clinical toxicities
Eight HLA-A*0201 positive patients (2 MDS and 6 AML) were enrolled in this study and their clinical characteristics are presented in Table 1. Six of 8 patients completed 6 courses of vaccination and assessment to week 26 per protocol, to monitor toxicity and immunological responses. Patient 8 relapsed prior to the first dose of vaccine and Patient 5, two weeks after the first vaccine. No immunological studies were undertaken for Patient 8 and responses were only assessable to one vaccine dose for Patient 5. Median follow up was 765 days (710–823). Grade 1–2 erythema, pain or swelling were noted at PR1 or WT1 injection sites in 7 of 7 patients who received at least one vaccine dose. Patients 5 and 7 developed transient self-limiting chest pain, most likely related to GM-CSF. Patient 4 was vaccinated 16 months following an allogeneic stem-cell-transplant and vaccination did not induce graft-versus-host disease. No cases of autoimmunity or cytopenias were seen. Patients remained negative for anti-proteinase-3 antibodies and ANCA throughout the length of follow up. These results indicate that repeated vaccination with PR1 and WT1 peptides is safe. At the time of analysis, the 2 patients with MDS (Patients 1 and 2) remain stable (SD). Of the 5 evaluable AML patients who received at least one dose of PR1 and WT1 peptide vaccines, 3 relapsed and 2 remain in continuous complete remission (one CR with incomplete platelet recovery).
Vaccination induces transient PR1 and WT1-specific CD8+ T-cell responses
Fresh PBMC collected pre- and 2-weekly post-vaccination were analyzed directly ex vivo by flow cytometry for circulating PR1 and WT1-specific CD8 T cells. A significant vaccine-induced CD8 T-cell response was defined as the emergence of detectable PR1 or WT1-specific CD8 T cells when the pre-study analysis found no response, or a 2-fold increase in frequencies when responses were present before vaccination. This definition was a stringent modification of that used for peptide/HLA-A*0201 tetramer and intracellular cytokine assays in previous vaccination studies.11,18 The longitudinal IC IFN-γ analysis of Patient 1 to vaccination is illustrated in the Online Supplementary Figure S1.
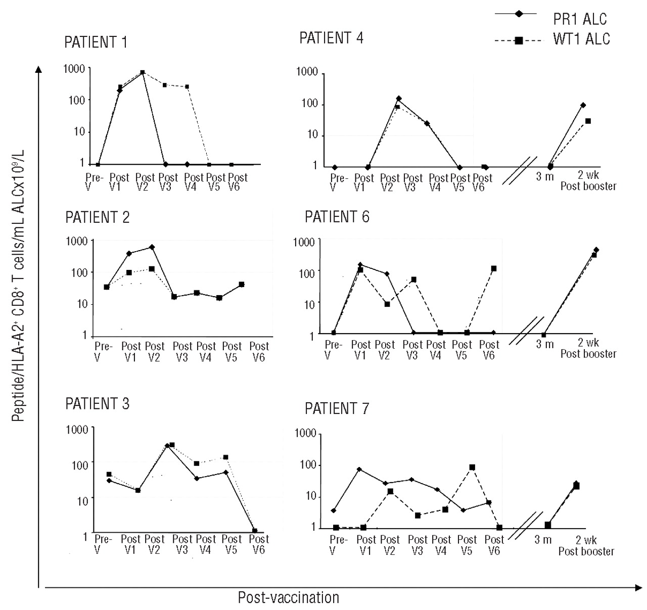
No patient had detectable PR1 or WT1-specific CD8 T-cell responses (defined as a minimum of 0.05% IFN-γ CD8 T-cells5) at enrolment in the current study (Table 1). Patients 1–6 had previously received one dose of PR1 and WT1 peptides in NIH study 06-H-0062.11 The median interval between completion of participation in study 06-H-0062 and enrolment in the current Phase II study was 241 days (82–485). A significant PR1 or WT1-specific CD8 T-cell response was detected as early as two weeks following the first vaccine dose in 7 of 7 evaluable patients, median for PR1 0.12% (0.06–0.32%) and for WT1 0.10% (0.07–0.19%). However, further boosting failed to expand the vaccine-induced response and in 6 of 6 evaluable patients responses were no longer detectable by the 6 dose (Figure 1).
Table 1.Patients’ characteristics. Percentage of PR1- and WT1-specific CD8+ T cells by ex vivo peptide/HLA-A*0201 tetramer assay are presented as a fraction of total CD8+ cells.
Figure 1.Kinetics of vaccine-induced PR1- and WT1-specific CD8+ T-cell response in 6 patients completing 6 courses of biweekly injections. Results in 6 individual patients who completed the vaccination program are shown. Weeks after vaccination are shown on the X-axis. PR1/HLA-A*0201+ (black diamond square and solid connecting line) and WT1/HLA-A*0201+ (black square and dashed connecting line) CD8+ T cells are expressed as absolute numbers per mL of peripheral blood (Y-axis). The vaccine-induced CD8+ T-cell responses after PR1 and WT booster injection for patients 4, 6 & 7 are presented. Abbreviations: ALC: absolute lymphocyte count, V: vaccine dose.
Repeated vaccination leads to preferential expansion of low-avidity, PD-1 negative, PR1 and WT1-specific CD8+ T cells
To determine the functional avidity of the vaccine-induced CD8 T-cell response, we measured the response of CD8 T cells to stimulation with 2 concentrations of PR1 and WT1 peptides (0.1 and 10 μM) by IC-IFN-γ staining.19 High- and low-avidity T cells possess different requirements for peptide/MHC density and CD8 interaction.19 We defined high-avidity CD8 T cells as those capable of producing IFN-γ in response to a lower concentration of peptide (0.1 μM), while low-avidity CD8 T cells were those that produced IFN-γ in response to a higher concentration of peptide (10 μM).4;15 These two peptide concentrations were previously shown to stimulate and differentiate high and low-avidity CD8 T-cell responses to PR120 (Figure 2A). To examine the issue of functional avidity, we determined the ratio of high- to low avidity CD8 T-cell responses. Ratios were obtained by the following calculation: (frequencies of IFN-γ + CD8 T cells with 0.1 μM peptide)/(frequencies of IFN- γ + CD8 T cells with 10 μM peptide). A ratio of more than 1.0 represents predominantly high avidity responses, whereas a ratio of less than 1.0 represents predominantly low avidity responses. In all patients, both high and low-avidity CD8 T cells were initially induced; however, repeated vaccination led to the selective deletion of high-avidity responses and preferential expansion of low-avidity CD8 T cells (Figure 2A). In CMV seropositive patients, high- and low-avidity CMV-specific CD8 T-cell responses were equally represented and the frequencies of high- and low-avidity CMV-specific CD8 T cells remained stable over the study period, arguing against a general defect in T-cell function or induction of an immunsuppressive state (Online Supplementary Figure S1 and Figure 2A). These data suggest that with repeated vaccination, high-avidity CD8 T cells with specificity for PR1 and WT1 might be selectively eliminated through clonal deletion, similar to the process of clonal exhaustion of high-avidity T cells seen during chronic viral infection.21
To determine if programmed death-1 (PD-1), a negative regulator of T cells,22 impaired vaccine-induced T-cell expansion, we analyzed the expression of PD1 on the surface of PR1 and WT1/HLA-A*0201 tetramer-binding CD8 T cells in 3 patients but found no evidence of PD1 upregulation (data not shown).
All patients who completed 6 courses of vaccine (Patients 1, 2, 3, 4, 6 and 7) returned three months following the 6 dose for repeat blood tests. By ex vivo peptide/HLA-A*0201 tetramer and intracellular-IFN-γ assays, PR1 and WT1-specific CD8 T cells were not detected in the PB of 6 of 6 evaluable patients three months following the 6 vaccine dose. To determine if low frequencies of CD8 T cells against PR1 and WT1 could be detected by short-term expansion, PBMC from Patients 4, 6 and 7 were stimulated with PR1 and WT1 peptides in a 7-day cultured Elispot assay. PR1 and WT1-specific CD8 T cells failed to expand, although culture conditions allowed expansion of CMV-specific CD8 T cells from the same patients (data not shown).
Figure 2.Avidity of vaccine-induced PR1 and WT1 CD8+ T cells. (A) Avidity of PR1 and WT1 CD8+ T cells following repeated peptide vaccination (study 07-H-0159). (B) Avidity of PR1 and WT1 CD8+ T cells following a single dose of PR1 and WT1 peptide vaccination (study 06-H-0062). Stimulation of PBMC with 0.1 and 10 μM of PR1, WT1 peptides and CMV peptides determined high- and low-avidity responses to PR1 and WT1 vaccines, respectively. Results show ratios of high- to low-avidity CD8+ T-cell responses for PR1 (black bars), WT1 (gray bars) and CMV (hatched bars) in 2 CMV seropositive patients. Ratios were obtained by the following calculation: IFN-γ+ CD8+ T cell (%) with 0.1 μ peptide/IFN-γ+ CD8+ T cell (%) with 10 μM peptide. A ratio > 1.0 represents predominantly high-avidity responses, whereas a ratio of < 1.0 represents predominantly low-avidity responses. Abbreviations: V: vaccine; H/L: High-/Low-avidity ratio.
Patients 4, 6 and 7 received a booster injection of PR1 and WT1 peptide in Montanide-adjuvant plus GM-CSF three months following the 6 dose of vaccine. PBMC tested two weeks following the booster vaccination revealed the presence of low frequencies of low-avidity PR1 and WT1 specific CD8 T cells, at similar frequencies as noted after the first course of vaccine (Figure 1).
PR1 and WT1 specific CD8+ T cells do not preferentially localize in the bone marrow
Given that the bone marrow is the site of primary pathology in acute myeloid leukemia and myelodysplastic syndromes, we analyzed bone marrow samples from vaccinated patients for the presence of PR1- and WT1-specific CD8 T cells using ex vivo peptide/HLA-A*0201 tetramer and intracellular-IFN-γ assays. PR1 or WT1-specific CD8 T cells were not detected in 6 of 6 BM samples four weeks following the 6 dose of vaccine, excluding preferential localization of vaccine-induced CD8 T cells to the site of disease as an explanation for the failure to detect vaccine-specific CD8 T cells in peripheral blood (data not shown).
FoxP3-Positive CD4+ T cells are transiently reduced following vaccination
Absolute numbers and frequencies of CD4Foxp3 and CD4CD25 T cells and the ratio of CD4Foxp3/CD4CD25 T cells were analyzed following vaccination in 5 patients (Patients 1, 2, 3, 6 and 7). Representative phenotypic data from Patients 1 and 7 are shown in Figure 3 and Online Supplementary Figure S2. The total CD3, CD8 and CD4 compartments did not change significantly throughout the vaccination period (data not shown). In contrast, we observed a significant and transient reduction in frequencies of CD4Foxp3 T cells; median 6.1% (3.4–8.1%) pre-vaccination cf. 2.7%, (1.3–5.2%) after the first vaccine; P=0.02 and 1.95%, (1.4–3.0%) after the second vaccine; P=0.004 (Figure 3A and Online Supplementary Figure S2A and B). A significantly lower proportion of CD4CD25 T cells were Foxp3 as determined by CD4Foxp3/CD4CD25 ratio, median 50%, (34.6–51.0%) before vaccination cf. 27.65%, (24.7–33.8%) P=0.002 and 30.3% (14.4%–38.8%) P=0.02 after the first and second vaccines respectively (Figure 3B and Online Supplementary Figure S2A and B). Therefore, following vaccination and concomitant with the vaccine-induced T-cell response there was a selective and transient depletion from the peripheral blood of CD4Foxp3 T cells.
Anti-leukemia activity only occurs with high-avidity CD8+ T cells
To assess the potential anti-leukemia effect of vaccination, WT1 expression was used as a surrogate marker of minimal residual disease. WT1 was detected in 5 of 6 evaluable patients before vaccination, median 0.004 WT1/ABL (0–0.0677) (Online Supplementary Figure S3). In Patient 1, WT1 transcripts were undetectable pre-vaccination but increased significantly within four weeks of vaccination. The anti-leukemia effect of vaccination was assessed by correlating the kinetics and avidity of PR1 and WT1-specific CD8 T cells with WT1 expression. A significant reduction in WT1 transcripts was defined as more than 1 log reduction in WT1 transcripts compared to pre-vaccination level. In 2 patients (Patients 1 and 7), the emergence of high-avidity PR1 and WT1-specific CD8 T cells was associated with a significant but transient reduction in WT1 expression. However, repeated vaccination led to selective deletion of high-avidity PR1 and WT1-specific CD8 T cells and subsequent loss of this anti-leukemia effect (Figure 2A and Online Supplementary Figure S3). In the remaining 4 evaluable patients, vaccination induced predominantly low-avidity PR1 or WT1-specific CD8 T cells, not associated with a significant reduction in WT1 transcripts.
To test the hypothesis that anti-leukemia responses are only achieved in the presence of high-avidity leukemia-specific CD8 T cells, we retrospectively analyzed the avidity of the vaccine-induced CD8 T cells in patients enrolled in study 06-H-0062,11 where we previously reported that in 5 of 7 evaluable patients a single injection of PR1 and WT1 vaccines induced transient anti-leukemia responses. Peripheral blood samples were collected weekly for four weeks after the single dose of PR1 and WT1 peptide vaccines. In all patients tested (patients 1–5), a single injection of PR1 and WT1 vaccines led to induction of high-avidity CD8 T cells to PR1 or WT1 (Figure 2B). However, in the present study, repeated vaccination of the same patients resulted in selective deletion of high-avidity, epitope-specific CD8 T cells (Figure 2A) and failure to achieve a significant and sustained reduction in WT1 transcripts. For Patient 6, no cells were available to perform these experiments.
Therefore, it appears that in this small cohort of patients, anti-leukemia responses are only achieved in the presence of high-avidity leukemia-specific CD8 T cells and that repeated peptide vaccination in Montanide-adjuvant + GM-CSF leads to selective deletion of high-avidity CD8 T cells and loss of anti-leukemia responses.
Figure 3.Frequencies of CD4+Foxp3+ and ratio of CD4+Foxp3+/CD4+CD25+ T cells following vaccination. Frequencies are shown before each vaccine in 5 patients. (A) Following vaccination, there was a significant and transient reduction in frequencies of CD4+Foxp3+ T cells (B) and a significantly lower proportion of CD4+CD25+ T cells that were Foxp3+ve, indicating selective elimination of CD4+CD25+FOXP3+ T cells. wk: weeks post-vaccine.
Discussion
This phase II study was an extension of our previous Phase I study (protocol 06-H-0062) where we reported transient immunological and anti-leukemia responses to vaccination with a combination of PR1 and WT1 peptides.11 Whereas in study 06-H-0062 high-avidity CD8 T cells, associated with a transient reduction in minimal residual disease, could be induced in 5 of 7 patients following one dose of PR1 and WT1 peptides, repeated vaccination of the same patients in study 07-H-0159 resulted in selective deletion of high-avidity, epitope-specific CD8 T cells and preferential expansion of low-avidity vaccine-induced CD8 T cells that were not sustained.
A number of trials of peptide vaccination with WT1, PR1 and other antigens such as RHAMM in patients with myeloid malignancies, using different vaccination schemes, peptide antigens, peptide concentrations and adjuvants have reported immunogenicity with some evidence of clinical efficacy.18;23–26 However, in the trials at Osaka and the MD Anderson,18;24 no data were presented on the duration of the vaccine-induced T-cell responses. Keilholz et al. used keyhole-limpet-hemocyanin (KLH) adjuvant plus GM-CSF to enhance the immunogenicity of the peptide vaccine. However, the authors failed to observe a significant increase in WT1 tetramer+ T cells at 10 and 18 weeks post-vaccination23 and found no correlation between T-cell response and disease outcome. They suggested that this might be due to the low sensitivity of the T-cell assays employed to estimate the frequency of immunological responses or possibly due to an interaction between blasts and T cells. Indeed, they found statistically significant increases in the frequencies of PB WT1-specific tetramer responses in patients with low but not with high blasts in bone marrow, suggesting a potential suppressive effect of high leukemic burden on the induction of WT1-specific T-cell response. In our study, all patients with acute myeloid leukemia were in complete remission and whereas immunological responses were induced in all, the responses were not sustained. The selective localization of vaccine-induced CD8 T cells to the site of disease, i.e. the bone marrow, could be a reason for the failure to detect PR1 and WT1-specific CD8 T cells in the peripheral blood; however, our results failed to support this possibility. Alternatively, the vaccine-induced CD8 T cells could have homed to the sites of vaccination. It was not possible to address this possibility in our study, as biopsies were not taken from the vaccination sites. It remains a possibility that in our study vaccine-induced CD8 T cells did persist following repeated vaccination below the sensitivity of tetramer and IC cytokines staining.
The choice of adjuvant is important in determining the peptide-specific immune response. Bijker et al. demonstrated that vaccination with CD8 epitopes derived from self-antigens mixed with oil-in-water adjuvants such as Montanide results in transient effector CD8 T-cell responses and fails to induce CD8 T-cell memory in mice.27,28 They proposed that the sustained systemic presentation of the peptides gradually leaking out of the oil-in-water depot without systemic danger signals leads to tolerance induction. This hypothesis was further supported by the demonstration that vaccination with peptides admixed with PBS, resulting in relatively short duration of antigen presentation, induced memory CD8 T cells that were able to expand upon secondary antigen stimulation in vitro. Interestingly, a recent report has also questioned the value of GM-CSF as a vaccine adjuvant.29 Furthermore the route of application, dose and dosing interval of the adjuvant may be critical in determining the immunological effect. Several trials using lower doses of GM-CSF have reported improvement in vaccine-induced CTL responses, whereas trials employing higher doses of GM-CSF have shown no effect or even a suppressive effect.29
The ability of vaccine-induced CD8 T cells to mediate in vivo anti-leukemia cytotoxicity was assessed indirectly by correlating the kinetics and avidity of PR1 and WT1-specific CD8 T cells with WT1 expression in peripheral blood. To study the functional avidity of the CD8 T-cell response against individual PR1 and WT1 epitopes, CD8 T cells were stimulated with increasing peptide concentrations; an arbitrary “functional avidity ratio” was calculated based on these readouts. In 2 patients, vaccination induced transient high-avidity PR1 or WT1-specific CD8 T cells that coincided with significant, albeit short-lived, reduction of WT1 expression. WT1 has been shown to be a reliable marker of minimal residual disease in myeloid malignancies.30–34 In the remaining patients, induction of low-avidity CD8 T cells to PR1 or WT1 was not associated with a significant reduction in minimal residual disease. Several studies have shown that high-avidity CTLs are essential for effector anti-tumor responses.35–37 Although due to limitations in patient samples we were unable to directly demonstrate the cytotoxicity of high avidity vaccine-induced CD8 T cells against leukemic blasts, the association of high-avidity CD8 T cells and anti-leukemia response was further supported by the retrospective analysis of PBMC collected from patients in study 06-H-0062. In all patients tested, a single injection of a combination of PR1 and WT1 vaccines led to expansion of both high- and low-avidity PR1 and WT1-specific CD8 T cells. However, repeated vaccination of the same patients in study 07-H-0159 led to functional deletion of high-avidity PR1 and WT-specific CD8 T cells that failed to induce sustained immune and clinical responses. These data suggest that multiple vaccinations may drive T-cell exhaustion or deletion and induce tolerance over time, similar to the process of clonal exhaustion of high-avidity T cells seen during chronic viral infection.21 Indeed, high-avidity CTLs with specificity for gag, an HIV antigen, were induced to undergo apoptosis when stimulated with high-dose peptide antigen in vitro,38 suggesting that a high viral load might lead to clonal deletion of high-avidity HIV-specific CTLs over time. Similarly, it was shown that high-avidity PR1-CTLs die by apoptosis when exposed to either high-dose peptide antigen or to leukemia cells that over-express proteinase 3.20 A recent trial of peptide vaccination in patients with melanoma in complete remission reported that following boosting, the vaccine-induced CD8 T cells failed to acquire enhanced functional avidity usually associated with competent memory T-cell maturation.39 We assessed the quality of the vaccine-induced CD8 T-cell response by comparing the relative frequencies of high- and low-avidity PR1 and WT1-specific CD8 T cells. In our phase I study, while both high-and low-avidity PR1 and WT1 specific CD8 T cells were elicited following a single dose of PR1 and WT1 peptide vaccines,11 only low-avidity PR1 or WT1-specific CD8 T cells could be expanded following repeated vaccination. The selective deletion of high-avidity leukemia-specific CTLs has been shown to be an escape mechanism from tumor immunity.20 Our data may offer an explanation for recent reports of large phase III clinical trials showing that vaccinated cancer patients had significantly reduced overall survival compared with placebo-treated controls.40 Although, it is conceivable that if sufficient numbers of low-avidity vaccine-specific T cells are elicited, adequate anti-leukemia activity might still be possible.
The transient immunological and clinical responses seen here and in other trials of peptide vaccination with CD8 epitopes may be partly explained by the lack of CD4 T-cell help. While CD4 T cells are dispensable for primary expansion of CD8 T cells and their differentiation into cytotoxic effectors, secondary CTL expansion is wholly dependent on the presence of CD4 T cells.41 In a number of animal studies, vaccination with CD8 and CD4 T-cell epitopes has been shown to result in long-term CD8 T-cell immunity.28;42,43 Indeed, in a humanized murine model, vaccination with WT1 CD8 epitopes fused to the fragment C (FrC) of tetanus toxin to provide CD4 T-cell help and delivered via DNA was superior to exogenous peptide plus IFA.44 Maslak et al. recently published the results of a pilot clinical trial using a polyvalent WT1 vaccine composed of heteroclitic class-I and class-II peptides to stimulate CD8 and CD4 T-cell responses in patients with acute myeloid leukemia in complete remission after receiving chemotherapy. They observed vaccine-induced CD4 and CD8 T-cell responses that were sustained throughout the period of vaccination.26 Similarly, a recent study reported impressive clinical responses associated with vaccine-induced immune response following vaccination with a mix of long peptides from the HPV-16 viral oncoproteins E6 and E7 in incomplete Freund’s adjuvant in women with HPV-16-positive, high-grade vulvar intraepithelial neoplasia.45
It is likely that the efficacy of peptide vaccination depends on the balance between effector and regulatory T cells (Tregs). Experimental murine models and human vaccine studies have demonstrated that Treg depletion contributes to durable protective anti-tumor immunity.46–48 We noted a significant and transient reduction of circulating CD4Foxp3 T cells within the CD4CD25 T compartment, suggesting a selective loss of regulatory T cells over the course of the vaccination period. This was concomitant with the vaccine-induced CD8 T-cell response. However, Treg frequencies returned to baseline by the 6 vaccine dose. Similarly other groups have reported significant reduction in Tregs (antigen-specific and non-specific) following vaccination.49,50 Tregs appear to be highly sensitive to CD95L-induced apoptosis, in contrast to their more resistant Teff counterparts.51,52 In vivo, the apparent selective sensitivity of Treg to CD95L might be a mechanism to eliminate Treg during the acute effector phase of an immune response at a time when Teff are resistant to CD95-mediated apoptosis. This may partly explain our observation that the FOXP3-positive compartment of CD4CD25 T cells was selectively depleted. It is, therefore, possible that systemic depletion of Treg may further enhance the immune response to vaccination.53–55
In summary, these data raise important questions regarding the validity of vaccination with self-antigen derived short peptides and may offer an explanation for the lack of correlation between immune and clinical responses reported in a number of clinical trials.12,13 These results call for a reevaluation of the current strategies of vaccination in patients with hematologic malignancies and cancer in general, especially since peptide vaccination remains a popular approach to therapeutic cancer with over 100 clinical trials currently registered on clinicaltrials.gov. An effective anti-tumor vaccination should aim to bring tumor antigens to the secondary lymphoid organ in appropriate amounts and within a specific time frame. Well designed clinical studies are required to improve the results of vaccination by addressing basic questions such as the best vaccine delivery approach, optimal vaccine dose and vaccination interval, induction of CD4 T-cell help and the role of novel immunostimulatory adjuvants such as toll-like receptor agonists.
Acknowledgments
We would like to thank the patients who participated in the study and the nursing and medical staff at the Clinical Centre, NHLBI. We would like to thank Professor Christian Ottensmeier for his critical review of the article.
Footnotes
- Funding: this study was supported by an NIH bench-to-bedside award. K.R. acknowledges the support of the National Institute for Health Research (NIHR) Biomedical Research Centre.
- The online version of this article has a Supplementary Appendix.
- Authorship and Disclosures The information provided by the authors about contributions from persons listed as authors and in acknowledgments is available with the full text of this paper at www.haematologica.org.
- Financial and other disclosures provided by the authors using the ICMJE (www.icmje.org) Uniform Format for Disclosure of Competing Interests are also available at www.haematologica.org.
- Received August 5, 2010.
- Revision received November 23, 2010.
- Accepted November 24, 2010.
References
- Molldrem J, Dermime S, Parker K, Jiang YZ, Mavroudis D, Hensel N. Targeted T-cell therapy for human leukemia: cytotoxic T lymphocytes specific for a peptide derived from proteinase 3 preferentially lyse human myeloid leukemia cells. Blood. 1996; 88(7):2450-7. PubMedGoogle Scholar
- Molldrem JJ, Clave E, Jiang YZ, Mavroudis D, Raptis A, Hensel N. Cytotoxic T lymphocytes specific for a nonpolymorphic proteinase 3 peptide preferentially inhibit chronic myeloid leukemia colony-forming units. Blood. 1997; 90(7):2529-34. PubMedGoogle Scholar
- Molldrem JJ, Lee PP, Wang C, Felio K, Kantarjian HM, Champlin RE. Evidence that specific T lymphocytes may participate in the elimination of chronic myelogenous leukemia. Nat Med. 2000; 6(9):1018-23. PubMedhttps://doi.org/10.1038/79526Google Scholar
- Rezvani K, Grube M, Brenchley JM, Sconocchia G, Fujiwara H, Price DA. Functional leukemia-associated antigen-specific memory CD8+ T cells exist in healthy individuals and in patients with chronic myelogenous leukemia before and after stem cell transplantation. Blood. 2003; 102 (8):2892-900. PubMedhttps://doi.org/10.1182/blood-2003-01-0150Google Scholar
- Gao L, Bellantuono I, Elsasser A, Marley SB, Gordon MY, Goldman JM. Selective elimination of leukemic CD34(+) progenitor cells by cytotoxic T lymphocytes specific for WT1. Blood. 2000; 95(7):2198-203. PubMedGoogle Scholar
- Oka Y, Elisseeva OA, Tsuboi A, Ogawa H, Tamaki H, Li H. Human cytotoxic T-lymphocyte responses specific for peptides of the wild-type Wilms’ tumor gene (WT1 ) product. Immunogenetics. 2000; 51(2):99-107. PubMedhttps://doi.org/10.1007/s002510050018Google Scholar
- Rezvani K, Yong AS, Savani BN, Mielke S, Keyvanfar K, Gostick E. Graft-versus-leukemia effects associated with detectable Wilms tumor-1 specific T lymphocytes after allogeneic stem-cell transplantation for acute lymphoblastic leukemia. Blood. 2007; 110(6):1924-32. PubMedhttps://doi.org/10.1182/blood-2007-03-076844Google Scholar
- Gannage M, Abel M, Michallet AS, Delluc S, Lambert M, Giraudier S. Ex vivo characterization of multiepitopic tumor-specific CD8 T cells in patients with chronic myeloid leukemia: implications for vaccine development and adoptive cellular immunotherapy. J Immunol. 2005; 174(12):8210-8. PubMedhttps://doi.org/10.4049/jimmunol.174.12.8210Google Scholar
- Scheibenbogen C, Letsch A, Thiel E, Schmittel A, Mailaender V, Baerwolf S. CD8 T-cell responses to Wilms tumor gene product WT1 and proteinase 3 in patients with acute myeloid leukemia. Blood. 2002; 100(6):2132-7. PubMedhttps://doi.org/10.1182/blood-2002-01-0163Google Scholar
- Rezvani K, Brenchley JM, Price DA, Kilical Y, Gostick E, Sewell AK. T-Cell Responses Directed against Multiple HLA- A*0201-Restricted Epitopes Derived from Wilms’ Tumor 1 Protein in Patients with Leukemia and Healthy Donors: Identification, Quantification, and Characterization. Clin Cancer Res. 2005; 11 (24):8799-807. PubMedhttps://doi.org/10.1158/1078-0432.CCR-05-1314Google Scholar
- Rezvani K, Yong AS, Mielke S, Savani BN, Musse L, Superata J. Leukemia-associated antigen-specific T-cell responses following combined PR1 and WT1 peptide vaccination in patients with myeloid malignancies. Blood. 2008; 111(1):236-42. PubMedhttps://doi.org/10.1182/blood-2007-08-108241Google Scholar
- Rosenberg SA, Sherry RM, Morton KE, Scharfman WJ, Yang JC, Topalian SL. Tumor progression can occur despite the induction of very high levels of self/tumor antigen-specific CD8+ T cells in patients with melanoma. J Immunol. 2005; 175(9):6169-76. PubMedhttps://doi.org/10.4049/jimmunol.175.9.6169Google Scholar
- Sosman JA, Carrillo C, Urba WJ, Flaherty L, Atkins MB, Clark JI. Three phase II cytokine working group trials of gp100 (210M) peptide plus high-dose interleukin-2 in patients with HLA-A2-positive advanced melanoma. J Clin Oncol. 2008; 26(14):2292-8. PubMedhttps://doi.org/10.1200/JCO.2007.13.3165Google Scholar
- Rezvani K, Mielke S, Ahmadzadeh M, Kilical Y, Savani BN, Zeilah J. High donor FOXP3-positive regulatory T-cell (Treg) content is associated with a low risk of GVHD following HLA-matched allogeneic SCT. Blood. 2006; 108(4):1291-7. PubMedhttps://doi.org/10.1182/blood-2006-02-003996Google Scholar
- Rezvani K, Yong AS, Tawab A, Jafarpour B, Eniafe R, Mielke S. Ex vivo characterization of polyclonal memory CD8+ T-cell responses to PRAME-specific peptides in patients with acute lymphoblastic leukemia and acute and chronic myeloid leukemia. Blood. 2009; 113(10):2245-55. PubMedhttps://doi.org/10.1182/blood-2008-03-144071Google Scholar
- Kurlander RJ, Tawab A, Fan Y, Carter CS, Read EJ. A functional comparison of mature human dendritic cells prepared in fluorinated ethylene-propylene bags or polystyrene flasks. Transfusion. 2006; 46(9):1494-504. PubMedhttps://doi.org/10.1111/j.1537-2995.2006.00940.xGoogle Scholar
- Beillard E, Pallisgaard N, van der Velden VH, Bi W, Dee R, van der Schoot E. Evaluation of candidate control genes for diagnosis and residual disease detection in leukemic patients using ‘real-time’ quantitative reverse-transcriptase polymerase chain reaction (RQ-PCR) - a Europe against cancer program. Leukemia. 2003; 17(12):2474-86. PubMedhttps://doi.org/10.1038/sj.leu.2403136Google Scholar
- Oka Y, Tsuboi A, Taguchi T, Osaki T, Kyo T, Nakajima H. Induction of WT1 (Wilms’ tumor gene)-specific cytotoxic T lymphocytes by WT1 peptide vaccine and the resultant cancer regression. Proc Natl Acad Sci USA. 2004; 101(38):13885-90. PubMedhttps://doi.org/10.1073/pnas.0405884101Google Scholar
- Alexander MA, Damico CA, Wieties KM, Hansen TH, Connolly JM. Correlation between CD8 dependency and determinant density using peptide-induced, Ld-restricted cytotoxic T lymphocytes. J Exp Med. 1991; 173(4):849-58. PubMedhttps://doi.org/10.1084/jem.173.4.849Google Scholar
- Molldrem JJ, Lee PP, Kant S, Wieder E, Jiang W, Lu S. Chronic myelogenous leukemia shapes host immunity by selective deletion of high-avidity leukemia-specific T cells. J Clin Invest. 2003; 111(5):639-47. PubMedhttps://doi.org/10.1172/JCI200316398Google Scholar
- Gallimore A, Glithero A, Godkin A, Tissot AC, Pluckthun A, Elliott T. Induction and exhaustion of lymphocytic choriomeningitis virus-specific cytotoxic T lymphocytes visualized using soluble tetrameric major histocompatibility complex class I-peptide complexes. J Exp Med. 1998; 187(9):1383-93. PubMedhttps://doi.org/10.1084/jem.187.9.1383Google Scholar
- Ishida Y, Agata Y, Shibahara K, Honjo T. Induced expression of PD-1, a novel member of the immunoglobulin gene superfamily, upon programmed cell death. EMBO J. 1992; 11(11):3887-95. PubMedGoogle Scholar
- Keilholz U, Letsch A, Busse A, Asemissen AM, Bauer S, Blau IW. A clinical and immunologic phase 2 trial of Wilms tumor gene product 1 (WT1) peptide vaccination in patients with AML and MDS. Blood. 2009; 113(26):6541-8. PubMedhttps://doi.org/10.1182/blood-2009-02-202598Google Scholar
- Qazilbash M, WiederThall P. PR1 Peptide Vaccine-Induced Immune Response Is Associated with Better Event-Free Survival in Patients with Myeloid Leukemia. Blood. 2007; 110Google Scholar
- Schmitt M, Schmitt A, Rojewski MT, Chen J, Giannopoulos K, Fei F. RHAMM-R3 peptide vaccination in patients with acute myeloid leukemia, myelodysplastic syndrome, and multiple myeloma elicits immunologic and clinical responses. Blood. 2008; 111(3):1357-65. PubMedGoogle Scholar
- Maslak PG, Dao T, Krug LM, Chanel S, Korontsvit T, Zakhaleva V. Vaccination with synthetic analog peptides derived from WT1 oncoprotein induces T-cell responses in patients with complete remission from acute myeloid leukemia. Blood. 2010; 116(2):171-9. PubMedhttps://doi.org/10.1182/blood-2009-10-250993Google Scholar
- Melief CJ, van der Burg SH. Immunotherapy of established (pre)malignant disease by synthetic long peptide vaccines. Nat Rev Cancer. 2008; 8(5):351-60. PubMedhttps://doi.org/10.1038/nrc2373Google Scholar
- Bijker MS, van den Eeden SJ, Franken KL, Melief CJ, Offringa R, van der Burg SH. CD8+ CTL priming by exact peptide epitopes in incomplete Freund’s adjuvant induces a vanishing CTL response, whereas long peptides induce sustained CTL reactiv-ity. J Immunol. 2007; 179(8):5033-40. PubMedhttps://doi.org/10.4049/jimmunol.179.8.5033Google Scholar
- Slingluff CL, Petroni GR, Olson WC, Smolkin ME, Ross MI, Haas NB. Effect of granulocyte/macrophage colony-stimulating factor on circulating CD8+ and CD4+ T-cell responses to a multipeptide melanoma vaccine: outcome of a multicenter randomized trial. Clin Cancer Res. 2009; 15(22):7036-44. PubMedhttps://doi.org/10.1158/1078-0432.CCR-09-1544Google Scholar
- Cilloni D, Gottardi E, Messa F, Fava M, Scaravaglio P, Bertini M. Significant correlation between the degree of WT1 expression and the International Prognostic Scoring System Score in patients with myelodysplastic syndromes. J Clin Oncol. 2003; 21 (10):1988-95. PubMedhttps://doi.org/10.1200/JCO.2003.10.503Google Scholar
- Ostergaard M, Olesen LH, Hasle H, Kjeldsen E, Hokland P. WT1 gene expression: an excellent tool for monitoring minimal residual disease in 70% of acute myeloid leukaemia patients - results from a single-centre study. Br J Haematol. 2004; 125(5):590-600. PubMedhttps://doi.org/10.1111/j.1365-2141.2004.04952.xGoogle Scholar
- Inoue K, Sugiyama H, Ogawa H, Nakagawa M, Yamagami T, Miwa H. WT1 as a new prognostic factor and a new marker for the detection of minimal residual disease in acute leukemia. Blood. 1994; 84(9):3071-9. PubMedGoogle Scholar
- Ogawa H, Tamaki H, Ikegame K, Soma T, Kawakami M, Tsuboi A. The usefulness of monitoring WT1 gene transcripts for the prediction and management of relapse following allogeneic stem cell transplantation in acute type leukemia. Blood. 2003; 101(5):1698-704. PubMedhttps://doi.org/10.1182/blood-2002-06-1831Google Scholar
- Cilloni D, Renneville A, Hermitte F, Hills RK, Daly S, Jovanovic JV. Real-time quantitative polymerase chain reaction detection of minimal residual disease by standardized WT1 assay to enhance risk stratification in acute myeloid leukemia: a European LeukemiaNet study. J Clin Oncol. 2009; 27 (31):5195-201. PubMedhttps://doi.org/10.1200/JCO.2009.22.4865Google Scholar
- Yee C, Savage PA, Lee PP, Davis MM, Greenberg PD. Isolation of high avidity melanoma-reactive CTL from heterogeneous populations using peptide-MHC tetramers. J Immunol. 1999; 162(4):2227-34. PubMedGoogle Scholar
- Valmori D, Dutoit V, Schnuriger V, Quiquerez AL, Pittet MJ, Guillaume P. Vaccination with a Melan-A peptide selects an oligoclonal T cell population with increased functional avidity and tumor reactivity. J Immunol. 2002; 168(8):4231-40. PubMedhttps://doi.org/10.4049/jimmunol.168.8.4231Google Scholar
- Zeh HJ, Perry-Lalley D, Dudley ME, Rosenberg SA, Yang JC. High avidity CTLs for two self-antigens demonstrate superior in vitro and in vivo antitumor efficacy. J Immunol. 1999; 162(2):989-94. PubMedGoogle Scholar
- Alexander-Miller MA, Leggatt GR, Berzofsky JA. Selective expansion of high-or low-avidity cytotoxic T lymphocytes and efficacy for adoptive immunotherapy. Proc Natl Acad Sci USA. 1996; 93(9):4102-7. PubMedhttps://doi.org/10.1073/pnas.93.9.4102Google Scholar
- Walker EB, Haley D, Petrausch U, Floyd K, Miller W, Sanjuan N. Phenotype and functional characterization of long-term gp100-specific memory CD8+ T cells in disease-free melanoma patients before and after boosting immunization. Clin Cancer Res. 2008; 14(16):5270-83. PubMedhttps://doi.org/10.1158/1078-0432.CCR-08-0022Google Scholar
- Eggermont AM. Therapeutic vaccines in solid tumours: can they be harmful?. Eur J Cancer. 2009; 45(12):2087-90. PubMedhttps://doi.org/10.1016/j.ejca.2009.05.004Google Scholar
- Janssen EM, Lemmens EE, Wolfe T, Christen U, von Herrath MG, Schoenberger SP. CD4+ T cells are required for secondary expansion and memory in CD8+ T lymphocytes. Nature. 2003; 421(6925):852-6. PubMedhttps://doi.org/10.1038/nature01441Google Scholar
- Bevan MJ. Helping the CD8(+) T-cell response. Nat Rev Immunol. 2004; 4(8):595-602. PubMedhttps://doi.org/10.1038/nri1413Google Scholar
- Homann D. Immunocytotherapy. Curr Top Microbiol Immunol. 2002; 263:43-65. PubMedGoogle Scholar
- Chaise C, Buchan SL, Rice J, Marquet J, Rouard H, Kuentz M. DNA vaccination induces wt1-specific t-cell responses with potential clinical relevance. Blood. 2008; 112(7):2956-64. PubMedhttps://doi.org/10.1182/blood-2008-02-137695Google Scholar
- Kenter GG, Welters MJ, Valentijn AR, Lowik MJ, Berends-van der Meer DM, Vloon AP. Vaccination against HPV-16 oncoproteins for vulvar intraepithelial neoplasia. N Engl J Med. 2009; 361(19):1838-47. PubMedhttps://doi.org/10.1056/NEJMoa0810097Google Scholar
- Casares N, Arribillaga L, Sarobe P, Dotor J, Lopez-Diaz de CA, Melero I. CD4+/CD25+ regulatory cells inhibit activation of tumor-primed CD4+ T cells with IFN-gamma-dependent antiangiogenic activity, as well as long-lasting tumor immunity elicited by peptide vaccination. J Immunol. 2003; 171(11):5931-9. PubMedhttps://doi.org/10.4049/jimmunol.171.11.5931Google Scholar
- Piccirillo CA, Shevach EM. Cutting edge: control of CD8+ T cell activation by CD4+CD25+ immunoregulatory cells. J Immunol. 2001; 167(3):1137-40. PubMedhttps://doi.org/10.4049/jimmunol.167.3.1137Google Scholar
- Steitz J, Bruck J, Lenz J, Knop J, Tuting T. Depletion of CD25(+) CD4(+) T cells and treatment with tyrosinase-related protein 2-transduced dendritic cells enhance the interferon alpha-induced, CD8(+) T-cell-dependent immune defense of B16 melanoma. Cancer Res. 2001; 61(24):8643-6. PubMedGoogle Scholar
- Hueman MT, Stojadinovic A, Storrer CE, Foley RJ, Gurney JM, Shriver CD. Levels of circulating regulatory CD4+CD25+ T cells are decreased in breast cancer patients after vaccination with a HER2/neu peptide (E75) and GM-CSF vaccine. Breast Cancer Res Treat. 2006; 98(1):17-29. PubMedhttps://doi.org/10.1007/s10549-005-9108-5Google Scholar
- Jandus C, Bioley G, Dojcinovic D, Derre L, Baitsch L, Wieckowski S. Tumor antigen-specific FOXP3+ CD4 T cells identified in human metastatic melanoma: peptide vaccination results in selective expansion of Th1-like counterparts. Cancer Res. 2009; 69 (20):8085-93. PubMedhttps://doi.org/10.1158/0008-5472.CAN-09-2226Google Scholar
- Fritzsching B, Oberle N, Eberhardt N, Quick S, Haas J, Wildemann B. In contrast to effector T cells, CD4+CD25+FoxP3+ regulatory T cells are highly susceptible to CD95 ligand- but not to TCR-mediated cell death. J Immunol. 2005; 175(1):32-6. PubMedhttps://doi.org/10.4049/jimmunol.175.1.32Google Scholar
- Krammer PH. CD95’s deadly mission in the immune system. Nature. 2000; 407(6805):789-95. PubMedhttps://doi.org/10.1038/35037728Google Scholar
- Mahnke K, Schonfeld K, Fondel S, Ring S, Karakhanova S, Wiedemeyer K. Depletion of CD4+CD25+ human regulatory T cells in vivo: kinetics of Treg depletion and alterations in immune functions in vivo and in vitro. Int J Cancer. 2007; 120(12):2723-33. PubMedhttps://doi.org/10.1002/ijc.22617Google Scholar
- Dannull J, Su Z, Rizzieri D, Yang BK, Coleman D, Yancey D. Enhancement of vaccine-mediated antitumor immunity in cancer patients after depletion of regulatory T cells. J Clin Invest. 2005; 115(12):3623-33. PubMedhttps://doi.org/10.1172/JCI25947Google Scholar
- Morse MA, Hobeika AC, Osada T, Serra D, Niedzwiecki D, Lyerly HK. Depletion of human regulatory T cells specifically enhances antigen-specific immune responses to cancer vaccines. Blood. 2008; 112(3):610-8. PubMedhttps://doi.org/10.1182/blood-2008-01-135319Google Scholar