Abstract
Background Follicular lymphoma, the neoplastic counterpart of germinal center B cells, typically recapitulates a follicular architecture. Several observations point to the crucial role of the cellular microenvironment in the development and/or progression of follicular lymphoma cells in vivo. The aim of our study was to characterize the spontaneous apoptosis of follicular lymphoma cells in vitro, and the modulation of this apoptosis by follicular dendritic cells.Design and Methods We used a cell line derived from follicular dendritic cells to model the functional interactions of these cells and lymphoma cells in co-culture. Follicular lymphoma cells were isolated from tissue biopsies. Apoptosis was quantified by flow cytometry and apoptotic pathways were investigated by western blotting.Results The spontaneous apoptosis of follicular lymphoma cells in vitro involves the activation of caspases-3 and -8 but not of caspase-9, occurs despite persistent high levels of BCL-2 and MCL-1, and is associated with down-regulation of c-FLIPL. Spontaneous apoptosis of follicular lymphoma cells is partially prevented by co-culture with the follicular dendritic cells, which prevents activation of caspase-8, caspase-3 and induces an upregulation of c-FLIPL. Using neutralizing antibodies, we demonstrated that interactions involving CD54 (ICAM-1), CD106 (VCAM-1) and CD40 are implicated in this biological process.Conclusions Follicular dendritic cells constitute a useful tool to study the functional interactions between follicular lymphoma cells and follicular dendritic cells in vitro. Understanding the molecular mechanisms involved in these protective interactions may lead to the identification of therapeutic agents that might suppress the survival and growth of follicular lymphoma cells.Introduction
Follicular lymphoma (FL) is the second most common lymphoma in western Europe and the United States, accounting for approximately 20% of all non-Hodgkin’s lymphomas. The disease usually follows an indolent course, with the median survival of patients with this malignancy ranging from 8 to 10 years, but is not curable.1,2 FL cells represent the neoplastic counterpart of germinal center B cells.3 Cellular accumulation in this disease primarily results from defects in cell apoptosis rather than from accelerated cell proliferation. In the majority of cases (85–90%), FL cells overexpress the BCL-2 protein, an anti-apoptotic factor involved in the mitochondrial pathway of apoptosis, as a consequence of a t(14;18)(q32;q21) translocation.4,5 Substantial evidence supports the hypothesis that BCL-2 overexpression is not solely responsible for neoplastic transformation. Indeed, transgenic mice expressing the bcl-2 gene develop polyclonal follicular hyperplasia of long-lived B cells,6 preceding the appearance of monoclonal B-cell lymphoma after a long latency period, in the form of an aggressive disease, harboring additional genomic alterations. Moreover, the presence of sporadic t(14;18)-bearing B cells has been demonstrated in some healthy individuals.7
Several observations point to the role of the microenvironment in the development and/or progression of FL in vivo.8–12 FL cells, whether in lymphatic tissues or in non-lymphoid organs, recapitulate a follicular architecture3,13 in association with follicular dendritic cells (FDC) and are variably infiltrated with other types of cells including reactive activated T cells,14 macrophages and germinal center dendritic cells.15,16 FL cells undergo spontaneous apoptosis when cultured in vitro,17,18 suggesting that the neoplastic cells are dependent on signals provided by their associated microenvironment for their survival and growth. Indeed, contact-initiated stimuli, mainly through CD40/CD40 ligand interactions in combination with various cytokine cocktails, can prolong the in vitro survival of FL cells.18,19 The relevance of the microenvironment to the biology of FL was recently highlighted by a large-scale gene-expression profiling study, showing that characteristic features of non-tumor cells were a major determinant of the survival of FL patients.9
FDC constitute the backbone of follicles, and a major component of the follicular microenvironment. In normal lymphoid tissues, FDC provide germinal center B cells with anti-apoptotic signals during their growth, diversification of antibody repertoire and positive selection of high-affinity centrocytes.20 The adhesion molecules lymphocyte function–associated antigen-1 (LFA-1) and very late antigen-4 (VLA-4), expressed on germinal center B cells, are important to establish contacts with FDC through interactions with, respectively, intracellular adhesion molecule-1 (ICAM-1) and vascular cell adhesion molecule-1 (VCAM-1), expressed on the FDC. Disruption of these interactions results in apoptosis of the germinal center B cells.21 FDC block the apoptosis of germinal center B cells through at least two mechanisms: the first one involves switching off a cathepsin-dependent endonuclease activity in the nuclei of germinal center B cells;22,23 the second one is prevention of the activation of both caspase-8 and caspase-3 in FDC-adhering germinal center B cells23,24 through maintenance of high levels of Fas-associated death domain (FADD)-like converting enzyme (FLICE)-inhibitory protein long isoform (cFLIPL) in germinal center B cells.24,25
Adhesive interactions between FDC and neoplastic B cells (in particular FL cells) involving, among others, the ICAM-1 and VCAM receptors, have been documented since the early 1990s;26,27 it is thought that these interactions may directly influence the peculiar growth pattern and spread of FL. A few studies have examined the functional consequences of these interactions. Using FDC and neoplastic B cells isolated from lymphoma biopsies, Petrasch et al. demonstrated that FDC enhanced the proliferation of FL cells in vitro.26 The signals provided by FDC to FL cells in vitro have not, however, been fully characterized. There are several problems hampering the investigation of this area, including the limited availability of biopsy tissues for ex vivo studies on human tumor cells, the difficulties inherent to FDC isolation and maintenance in culture, and the fact that established FL-derived cell lines display autonomous growth.
In the present work, we used the FDC-like cell line (HK28) to model the functional interactions of FDC and lymphoma cells in co-culture. HK cells, derived from FDC-enriched fractions of human tonsils, bind to germinal center B cells and sustain their survival and proliferation.29,30 Moreover, the growth-promoting effect of HK cells has been demonstrated by the establishment of a FL-derived cell line.31 The aim of our study was to characterize the spontaneous apoptosis of FL cells in vitro, and the modulation of this apoptosis by HK cells.
Design and Methods
Patients’ characteristics
Eleven FL tissue biopsies (ten lymph nodes and one spleen) were used for this study according to a protocol approved by the ethics committee of the Faculty of Medicine of the University of Liège. The lymphomas were primary diagnoses in seven women and four men, with a median age of 57 years (range, 46–81 years). All tissue specimens comprised >85% lymphoma. Grading was performed according to the criteria of the World Health Organization (WHO) classification;3 three patients had grade I and four patients each had grade II and grade IIIa tumors. All 11 cases were positive for BCL-2 protein expression by immunohistochemistry, and this was confirmed for six patients by western blotting performed as part of this study. In eight cases the BCL2-IgH rearrangement was demonstrated by polymerase chain reaction (PCR) and/or by fluorescence in situ hybridization (FISH), as part of the diagnostic procedure (Table 1).
Cells
Fresh tissue biopsies were cut into small pieces and digested with collagenase IV (C-5138, Sigma, St. Louis, MO, USA) and deoxyribonuclease I (D-5025, Sigma) in RPMI 1640. After two rounds of enzymatic digestion, the cells were collected, pooled, and passed through a cell strainer (100 μm nylon, Becton Dickinson, Mountain View, CA, USA) and centrifuged through a Lymphoprep gradient centrifugation (d=1.077) (AXIS-SHIELD PoC AS, Rodelokka, Norway) for 20 min at 1400 rpm. Cell suspensions were stored in liquid nitrogen (fetal bovine serum/dimethylsulfoxide 10%) until use. In order to obtain FL B-cell-enriched cell suspensions, CD3 T cells, CD14 monocytes/macrophages and CD16 natural killer cells were removed from the FL cell suspensions by magnetic-activated cell sorting, using CD3, CD14 and CD16 microbeads (130-050-101; 120-000-305; 120-000-249; Auburn, CA, USA) and MidiMacs LD columns, (Miltenyi Biotec GmbH). In all cases, the negatively sorted cell populations used for experiments comprised 92 to 98% of CD19 B cells, as determined by flow cytometry.
The FDC-like HK cells obtained from Dr. Y. S. Choi (Alton Ochsner Medical Foundation, New Orleans, LA, USA) were used at passages 12–18. Normal human skin fibroblasts, grown from skin biopsies of a young healthy donor taken in an explant procedure described earlier,32 were obtained from Dr Mineur (Laboratory of Connective Tissues Biology, University of Liège, Belgium).
Cell cultures
HK cells, fibroblasts, Jurkat cells and FL cells were grown in RPMI 1640 supplemented with 10% heat-inactivated fetal bovine serum, 2 mM glutamine, 100 U/mL penicillin, and 100 μg/mL streptomycin (Gibco, Grand Island, NY, USA). Isolated FL cells were cultured alone or were seeded at 1 × 10 cells/mL onto confluent HK cells or fibroblasts in 24-well plates (to assess apotosis) (0.5 mL/well) and in 6-well plates (to measure protein expression by western blotting) (3 mL/well). At the time of harvest, FL cells were recovered from plates by vigorous pipetting. For some experiments, FL cells in co-culture with HK cells were separated into non-adherent and adherent cells. Unbound FL cells were gently aspirated whereas bound FL cells were recovered by PBS/EDTA 1% treatment. Viable cells were counted after trypan blue exclusion. Contaminating HK cells were excluded in cell counting by their larger cell size. For inhibition experiments, HK cells were pretreated with monoclonal antibodies IgG1 as an isotype control (R&D Systems Europe, clone 11711, MAB002; Abingdon, UK), anti-CD54 (ICAM-1, R&D Systems Europe, clone BBIG-I1, BBA3), anti-CD106 (VCAM-1, R&D Systems Europe, clone BBIG-V1, BBA5) (30 μg/mL each) and anti-CD40 (R&D Systems Europe, clone 82102, MAB6322) (5 μg/mL) for 30 min at 37°C before culture with FL cells. Recombinant human ICAM-1/Fc chimera (rhICAM/Fc, R&D Systems Europe, 720-IC) was used at 12.5 μg/mL for rhICAM/Fc-coated plates and at 30 μg/mL to compete with anti-CD54 monoclonal antibody. In some western blotting experiments, Jurkat cells were treated with staurosporine (2 μM) (ALX-380-014, Alexis Biochemicals) for 4h and used as a positive control.
Conditioned media
To prepare conditioned medium from HK cells and fibroblasts, cells were grown in 100-mm dishes in 10 mL complete medium until they became confluent. The medium was replaced with 5 mL fresh complete medium, and cultures were continued for 3 days. The supernatants were harvested as conditioned medium and used directly. Isolated FL cells were cultured with 50% medium (vol/vol).
Transwell experiments
To prevent direct contact between HK cells and FL cells, transwell chambers with cell-culture inserts of 0.4 μm pore diameter (Nunc CC Inserts, 137052, NUNC Brand Products, Rochester, NY, USA) were prepared with HK cells in the lower chambers of 24-well plates. FL cells (1 × 10 cells/mL) were added to the upper chambers after the HK cells had reached confluence. After 6 days of culture, the FL cells were recovered, and the percentage of apoptotic cells was determined.
Table 1.Main clinical and histopathological features of the 11 patients with follicular lymphoma at diagnosis.
Quantitative assessment of apoptosis
The amount of apoptosis of neoplastic B cells was quantified by terminal deoxynucleotidyl transferase (TdT)-mediated dUTP-FITC nick end labeling (TUNEL) (Boehringer Mannheim GmbH, Mannheim, Germany) and with an ApoAlert Annexin V-FITC Apoptosis Kit (Becton Dickinson, Mountain View, CA, USA), followed by dual analysis of green (FL1, 530 nm) and red (FL3, >620nm) fluorescence using a FACSVantage SE flow cytometer (Becton Dickinson, San José, CA, USA). Apoptotic cells were defined as annexin V/propidium iodide (early apoptosis) and annexin V/propidium-iodide (late apoptosis). FACS light-scatter plot data confirmed negligible contamination of the FL cells by adherent cell lines. In order to determine the percentage of apoptosis cells in non-adherent and adherent to HK cells, HK cells were seeded onto glass coverslips (22 × 22 mm) overnight and then cultured with FL cells. Cells in suspension (alone and non-adherent cells) were cytospun and FL cells adhered to HK cells on the glass slides were recovered and used directly to determine the percentage of apoptotic cells by the TUNEL assay followed by observation with a fluorescence microscope (Axiovert 25; ZEISS, Oberkochen, Germany). Digital images were obtained with a ZEISS Axiocam HRC and the number of fluoroscein isothiocyanate-positive cells was expressed as a percentage of the total number of adherent lymphoid cells in the same field.
Western blotting
Cell lysates were prepared with the use of RIPA buffer (10 mM Tris [tris(hydroxymethyl)aminomethane], pH 7.4; 150 mM NaCl; 1% Triton × −100; 0.5% deoxycholate; 0.1% sodium dodecylsulfate [SDS], 5 mM ethylenediaminetetraacetic acid [EDTA]) containing protease inhibitors (complete tablets; Roche, Basel, Switzerland). Aliquots of protein samples (50 μg) or equivalent amounts of FL cells (3 × 10 cells) were mixed with the same volume of double-strength Laemmli buffer (125 mM Tris–HCl pH 6.8, 4% SDS, 20% glycerol, 10% 2–mercaptoethanol, and 0.002% bromophenol blue). The samples were boiled for 5 min and subjected to SDS-polyacrylamide gel electrophoresis (PAGE) (12% gradient gels). Immunobloting was performed using monoclonal antibodies or polyclonal antisera against actin (A 2066, Sigma); BCL-2 (DAKO A/S, Glostrup, Denmark); myeloid cell leukemia-1 (MCL-1), caspase-3, caspase-8, caspase-9, PARP-1, and c-FLIP (ALX-210-008-R050, ALX-804-305-C100, ALX-804-242-C100, ALX-210-838-R100, ALX-210-302-R100, and ALX-804-127-C100, respectively; Alexis Biochemicals, San Diego, CA, USA); immunodetection was accomplished with the use of horseradish peroxidase-conjugated secondary antibodies (mouse IgG or rabbit IgG, horseradish peroxidase linked whole antibodies, NA931 or NA934, Amersham, Buckinghamshire, UK and polyclonal antibody to rat IgG horseradish peroxidase, ALX-211-052, Alexis Biochemicals) and an enhanced chemiluminescence method (RPN2132; Amersham, Buckinghamshire, UK) involving exposure to X-ray film (Kodak XAR).
Statistical analysis
The statistical significance of differences was determined using a two-tailed paired t test after arcsin transformation for normalization of the data. p-values < 0.05 were considered statistically significant.
Results
Spontaneous apoptosis of follicular lymphoma cells in vitro is partially prevented by co-culture with HK cells
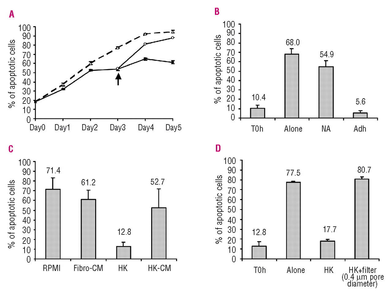
When cultured alone, the numbers of viable isolated FL cells progressively declined over time (Figure 1A). After 4 days of culture, the number of viable FL cells dropped to 50% of the initial count. Cell death was related to apoptosis as shown by the annexin V/propidium iodide staining method (Figure 1B). By contrast, when FL cells were co-cultured with HK cells, at each time point the numbers of viable cells were higher and the percentages of annexin V/propidium iodide positive cells were lower than in control conditions (Figure 1A and 1B). Co-culture with fibroblasts did not induce any significant protection against apoptosis (Figure 1A and B). The protective effets of HK cells on FL cell apoptosis were also confirmed by the TUNEL assay (Figure 1C). In 11 different FL cases analyzed, the percentage of TUNEL-positive FL cells dropped from 90% (range, 70%–98%) in control conditions to 55% (range, 36%–90%) in co-culture with HK cells (p<0.001) (Figure 1D).
Protection by HK cells is reversible and requires cell contact
In order to test whether protection by HK cells is reversible, FL cells were removed from the HK-FL co-culture after 3 days and grown alone for 2 additional days (Figure 2A). These cells died rapidly by apoptosis, indicating that the protective effect of HK cells is, indeed, reversible.
Figure 1.HK cells partially protect follicular lymphoma (FL) cells against spontaneous apoptosis. FL cells were cultured alone (--▵--) or together with confluent HK cells (--●--) or fibroblasts (--▴--). (A) Numbers of viable FL cells monitored by trypan blue exclusion. Data (mean ± SD of three wells) from a demonstrative experiment out of three performed (Table 1; samples # 1, 2* and 6). (B) Percentages of apoptotic FL cells measured by double staining with annexin V-FITC and propidium iodide, followed by flow cytometric analysis. Data (mean ± SD of three wells) from a demonstrative experiment out of three performed (Table 1; samples # 1, 2* and 6). (C) Percentages of apoptotic FL cells measured by the TUNEL assay; the fluorescein labels incorporated in nucleotide polymers were detected and quantified by flow cytometric analysis. Data (mean ± SD of three wells) from a demonstrative experiment out of two performed (Table 1; samples # 2 and 6*). (D) Data summarized for ten FL specimens tested (Table 1; samples # 1* to 5* and 7* to 11*), with apoptosis measured at 6 days by the TUNEL assay; the fluorescein labels incorporated in nucleotide polymers were detected and quantified by flow cytometric analysis. Horizontal bars indicate the mean value. *: results shown in the corresponding figures.
The next experiments were designed to determine whether protection by HK cells requires cell contacts. HK cells were seeded onto glass coverslips overnight prior to addition of purified FL cells. On day 6, FL cells that had not adhered to HK cells were collected and cytospun, and the FL cells that had adhered to HK cells on the coverslips were recovered. The apoptotic activity of the two groups of FL cells was assessed by the TUNEL assay. As shown in Figure 2B, the percentage of apoptotic cells among non-adherent FL cells was 54.9±6.42% and that among adherent FL cells 5.6±2.1%, demonstrating that FL cells adherent to HK cells were more protected from apoptosis than were non-adherent cells.
The requirement for cell-to-cell contacts between HK cells and FL cells was also confirmed in experiments in which FL cells were grown with conditioned medium harvested from HK cells or fibroblast cultures. Neither conditioned medium significantly modified the apoptotic rate of FL cells as compared to normal culture medium (Figure 2C). Furthermore, when HK cells and FL cells were separed by insert filters, FL cells died by apoptosis to a degree similar to that observed when FL cells were cultured alone (Figure 2D).
Spontaneous apoptosis of follicular lymphoma cells in vitro is associated with the activation of caspase-8 and caspase-3 but not of caspase-9
Protein lysates of FL cells were obtained at different time points after seeding (0h, 24h, 48h) and analyzed by western blotting for expression of BCL-2, MCL-1 and proteins of the caspase cascade (Figure 3). The amount of BCL-2, MCL-1 and procaspase-3 remained stable at the three time points examined (Figure 3A). More precisely, p20 caspase-3 was present from the beginning of our monitoring in three of six FL cases and after 24h of culture in the three other FL cases (Figure 3A and data not shown). Although we observed the 17-kDa cleavage product (p17) of caspase-3 in the six cases tested, suggesting that the enzyme was functional, we also verified that the maturation of caspase-3 from its p20/p12 to p17/p12 form induced its catalytic activity. In four FL samples tested, when the 17-kDa-cleavage product (p17) of caspase-3 was present, cleavage of the caspase-3 substrate PARP-1 into a p85 inactive fragment was observed (Figure 3A). These results indicate that caspase-3 processing in FL cells can induce its catalytic activity even in the presence of the anti-apoptotic proteins BCL-2 and MCL-1. The processing of initiator caspase-8 and caspase-9 was also studied. In 5/5 FL samples tested, the p43/41 cleaved form of caspase-8 was observed at the beginning of our monitoring whereas the p18 cleaved form was detected after 24h of culture (Figure 3B). In contrast, the p37 and p35 cleaved forms of caspase-9 were never found, indicating that procaspase-9 was not cleaved during the spontaneous apoptosis of FL cells. As controls of this experiment, the cleaved forms of caspase-9 were observed in Jurkat cells treated with staurosporine (Figure 3B). Collectively, these results demonstrated that FL cell apoptosis is initiated by caspase-8, which leads to activation of caspase-3.
Western blot analysis of c-FLIPL was carried out in lysates of isolated FL cells during spontaneous apoptosis. The four cases tested displayed significant downregulation of c-FLIPL during spontaneous apoptosis (Figure 3C), suggesting its possible facilitating role in the triggering of the apoptotic cascade.
Figure 2.Protection by HK cells is reversible and requires cell contact. (A) Follicular lymphoma (FL) cells were cultured alone (--▵--) or together with HK cells (--●--). In a set of experiments FL cells were removed from the co-culture on day 3 and seeded alone in culture for 2 days (--○--). The figure shows the percentages of apoptotic FL cells measured by double staining with annexin V-FITC and propidiun iodide, followed by flow cytometric analysis. Data (mean ± SD of three wells) are from a demonstrative experiment out of two performed (Table 1; samples # 4* and 6). (B) FL cells cultured for 6 days in the absence of HK (Alone) were recovered whereas FL cells cultured with HK cells were collected separately as non-adherent (NA) and adherent (Adh) FL cells (as described in Design and Methods). Cells in suspension were cytospun and FL cells adhering to HK cells on glass slides were recovered. After washing with PBS, apoptosis was detected by the TUNEL assay and fluorescein labels incorporated in nucleotide polymers were detected and quantified by fluorescence microscopy. Results from a demonstrative experiment out of three performed are expressed as the mean of triplicate cultures; standard deviations are indicated by bars (Table 1; samples # 2*, 3 and 6). (C) Conditioned media from cultures of HK cells (HK-CM) or fibroblasts (Fibro-CM) were added to cultures of FL cells at 50% (vol/vol), and the percentages of apoptotic cells were determined 6 days later as described above. Results from a demonstrative experiment out of two performed are expressed as the mean of triplicate cultures; standard deviations are indicated by bars (Table 1; samples # 4* and 6). (D) HK cells were seeded in 24-well plates and separated from FL cells by a porous membrane (0.4μm pore diameter). After 3 days, the percentage of spontaneous apoptosis was measured by double staining with annexin V-FITC and propidium iodide, followed by flow cytometric analysis. Data (mean ± SD of three wells) are from a demonstrative experiment out of two performed (Table 1; samples # 4 and 5*). *: results shown in the corresponding figures.
Cellular pathways implicated in the protection provided by HK cells
Protein extracts from FL cells cultured with HK cells were analyzed by western blot and compared to those extracted from FL cells cultured alone in order to investigate the effects of HK co-culture on the expression of apoptotic factors. The expression of BCL-2 (data not shown) and MCL-1 (Figure 4A) was not modified. The cleaved forms of caspase-8 and caspase-3, which were found after 24h in FL cells cultured alone (Figure 3), were not observed in FL cells in co-culture with HK cells (Figure 4A), indicating that under these conditions caspase-3 and caspase-8 were not activated. Similarly, PARP-1 was not cleaved (not shown). Moreover, when FL cells cultured with HK cells were collected separately as non-adherent and adherent FL cells, only the lysates obtained from adherent cells showed absence of cleavage of caspase-8, caspase-3 and PARP-1 (Figure 4B). Finally, expression of c-FLIPL was maintained in FL cells in culture with HK cells, whereas it was rapidly downregulated in FL cells cultured alone (Figure 4A).
Figure 3.Activation of caspase-8 and caspase-3 but not caspase-9 and downregulation of cFLIP during spontaneous apoptosis of FL cells. Pattern of expression of (A) BCL-2, MCL-1, caspase-3 and PARP-1; (B) caspase-8, caspase-9 and (C) cFLIPL in FL cells upon culture in medium alone. At indicated time intervals, cells were isolated, cell lysates were prepared and aliquots of protein samples were subjected to SDS-PAGE (12%) and immunoblot assay with specific antibodies. Jurkat cells treated or not with staurosporine were used as a control for procaspase-9 cleavage. Six cases were tested for BCL-2, MCL-1 and caspase-3 (Table 1; samples # 1 to 6); five for caspase-8 and caspase-9 (Table 1; samples # 1 to 3, 5 and 6); and four for cFLIP (Table 1; samples # 1 to 3 and 6) and PARP- 1 (Table 1; samples # 2, 3, 5 and 6). The results shown in these figures correspond to sample 2.
HK-induced protection is dependent on adhesion molecule interactions
We next conducted experiments to test whether adhesion molecules expressed on HK-cell membranes might be required for HK-induced protection. Neutralizing antibodies against various surface antigens known to be expressed on HK cells28 were added into co-cultures of HK and FL cells. Figure 5A shows that both anti-CD54 (ICAM-1) and anti-CD106 (VCAM-1) blocking antibodies induced a strong inhibition of the protective effect conferred by HK cells (percent of apoptosis inhibition ± standard deviation, 40.2±9.1% and 57.9±9.9%, respectively). By contrast, control isotypic antibodies had no significant effect (Figure 5A). Anti-CD40 also reduced the level of inhibition of apoptosis (percent of apoptosis inhibition ± standard deviation, 56.3± 13.8%) (Figure 5A). The effect of anti-CD54 was reversed by addition of rhICAM/Fc, which interferes with the binding of anti-CD54 to membrane CD54 (percent of apoptosis inhibition ± standard deviation, 88±3.7%) (Figure 5B). In order to assess whether ICAM-1 was sufficient to protect FL cells against apoptosis, we plated isolated FL cells in 96-well tissue culture plates in the presence of coated rhICAM/Fc. There was no significant effect on the inhibition of apoptosis of FL cells (Figure 5B). Similar results were obtained when soluble rhICAM/Fc was added to the culture medium (data not shown).
Figure 4.Cellular pathways implicated in protection by HK cells. Pattern of expression of (A) MCL-1, caspase-3, caspase-8, c-FLIPL and (B) PARP-1 in FL cells during co-culture with HK cells. FL cells were isolated, cell lysates were prepared and equivalent amounts of FL cells were subjected to SDS-PAGE (12%) and immunoblot assay with specific antibodies. The Jurkat cell line was used as a control for PARP-1 cleavage. Similar results for MCL-1, caspase-3, caspase-8 and PARP-1 expression were obtained when experiments were performed on FL cells using an equivalent amount of protein per lane. Four FL cases were tested for BCL-2 and caspase- 3 (Table 1; samples # 2, 3, 5 and 6) and three for each other proteins (Table 1; samples # 3, 5 and 6). The results shown in these figures correspond to sample 6.
Discussion
In line with established evidence that the non-neoplastic environment is critical to the maintenance and/or growth of FL, the findings presented in this report demonstrate that, in an in vitro co-culture system modeling the interactions between FDC and FL cells, the spontaneous apoptosis of FL cells is partially prevented by a FDC cell line (HK). Several lines of evidence have shown that FDC can, at least in part, support lymphoma cell growth in vitro and in vivo.31 Regarding the prevention of spontaneous apoptosis, although the protective effect of FDC and FDC-like cells towards normal germinal center B cells – naturally prone to apoptosis - has been demonstrated in several experimental settings20,29,30 and its mechanisms partly deciphered,24 the results presented here represent the first formal demonstration of a similar phenomenon in FL.
Figure 5.HK-induced protection is dependent on adhesion molecule interactions. (A) FL cells were cultured for 3 days alone or together with HK cells in the presence or absence of ICAM-1, VCAM-1 (30 μg/mL each) and CD40 neutralizing antibodies (5 μg/mL). Immunoglobulin G1 (IgG1; 30 μg/mL) was used as a control. (B) ICAM-1 neutralizing antibodies were also used in the presence of rhICAM/Fc to test the specificity of the protection inhibiting effects of anti-ICAM-1. Coated purified rhICAM/Fc was used to test whether ICAM-1 was sufficient to protect FL cells against apoptosis. The percentage of spontaneous apoptosis was measured by double staining with annexin V-FITC and propidium iodide, followed by flow cytometric analysis. The level of inhibition of apoptosis observed in coculture with HK cells alone was scored as 100%. The data are reported as percentages of this maximal value. Data are the mean ± SD of three experiments performed on three different specimens (Table 1; samples # 2, 3 and 4).
As a prerequisite to the analysis of the mechanisms involved in HK cell-induced protection, we sought to characterize the pathway of spontaneous apoptosis of FL cells in culture ex vivo, a phenomenon that has been addressed in a few studies and yet remains only partly documented. Existing data mostly pertain to the expression of death suppressor, regulator, and effector proteins.18 Ghia et al. showed that during the in vitro culture of FL cells, constitutive levels of BCL-2 and MCL-1 were maintained, but BCL-XL, another important mitochondrial anti-apoptotic factor of the BCL-2 family, was down-regulated. In accordance with this report, we did not find evidence of downregulation of BCL-2 or MCL-1 during the spontaneous apoptosis of FL cells. We showed that the apoptosis of FL cells ex vivo was associated with the activation of caspases-8 and -3, but not of caspase-9. The finding of caspase-3 activation was expected, as it represents the final common pathway of apoptosis. Interestingly, we found selective activation of caspase-8 suggesting a type I, death-receptor-induced apoptosis, and no significant contribution of the apoptosome formed during mitochondria-dependent apoptosis.33 Absence of activation of caspase-9 is surprising in the light of BCL-XL downregulation during FL apoptosis.18 A decrease in BCL-XL levels is likely not sufficient to induce the activation of the mitochondrial pathway, perhaps because of the persistent expression of BCL-2 and MCL-1. Indeed, MCL-1 also exerts an anti-apoptotic function by interfering at an early stage in a cascade of events leading to the release of cytochrome c from mitochondria, which results in the activation of caspase-9.34
Spontaneous apoptosis of normal germinal center B cells also relies upon activation of caspases -3 and -8, and it has recently been demonstrated that loss of cFLIPL is a key initiator of this phenomenon.35 Germinal center B cells contain a pre-assembled, but non-functional death-inducing signal complex (DISC) composed of procaspase-8, FADD, and cFLIPL, which prevents the activation of procaspase-8.35 In vitro culture of germinal center B cells results in rapid c-FLIPL degradation via a caspase- and cathepsin-independent mechanism, which generates a functional DISC that activates caspase-8.24 We, therefore, sought to determine cFLIPL levels in FL cells. By western blotting, c-FLIPL was detected in lymphoma cells in basal conditions (T0), but its level was drastically reduced after 24 h of culture, and remained very low during the observation period (last time point tested: 48 h). Thus, our findings indicate that loss of cFLIPL, a key initiator of the high levels of cell death in germinal center B cells, is also implicated and likely initiates the spontaneous apoptosis of FL cells in vitro.
We showed that FL cell apoptosis was partly prevented by co-culture with HK cells. This inhibition of apoptosis resulted from a reversion of the mechanisms involved in the spontaneous conditions: prevention of caspase-8 and caspase-3 activation and absence of c-FLIPL downregulation. Three types of stimuli known to prevent apoptosis in germinal center B cells also promote the sustained expression of c-FLIPL in these cells: ligation of the BCR, ligation of CD40, and as-yet-unknown signals delivered by FDC.24,35 Indeed, FDC prevent the rapid activation of both caspases-8 and -3 in FDC-adhering germinal center B cells24 by maintaining high levels of c-FLIPL .25 It is remarkable that the interactions with the FDC-like cells appear to induce a similar mechanism in FL cells. Adding on the known morphological and phenotypic similarities between germinal center B cells and FL cells, these results indicate striking functional similarities in respect to their spontaneous apoptosis and protection by HK cells. Nevertheless, the intracellular events leading to c-FLIPL regulation in these cells remain to be elucidated. It has been shown that activation of NF-κB and the phosphatidylinostiol-3 kinase (PI-3)/Akt pathways can induce c-FLIPL expression in tumor cells.36,37 Moreover, a recent report indicates that inhibition of the PI-3/Akt pathway enhances dexamethasone-induced apoptosis in a FL cell line.38 Whether these pathways are modulated in our experimental system will be the matter of further investigations.
HK cells have previously been shown to promote the survival of B-cell chronic lymphocytic leukemia cells, which also undergo spontaneous apoptosis when cultured in vitro. This protection was dependent upon the induction of MCL-1.39 Here, we extend the observations on HK cells, showing they also provide survival signals to FL cells. However, the mechanisms involved in HK cell-mediated protection differ, at least in part. Accordingly, although cFLIPL involvement in the apoptosis of chronic lymphocytic leukemia cells has not been investigated,39 we and others have demonstrated constant levels of MCL-1 during apoptosis of FL cells.
To explore the mechanisms underlying the enhanced survival provided by co-culture with HK cells and because cell-to-cell contact was found to be critical for the HK cell-mediated protection of FL cells, neutralizing antibodies against different adhesion molecules expressed on HK cells28 were added to the co-cultures. These experiments provided evidence of ICAM-1 and VCAM-1 involvement in the HK cell-induced protection. Blocking antibodies recognizing ICAM-1 induced a stronger effect than anti-VCAM-1, perhaps because ICAM-1 is expressed at higher levels than VCAM-1 in HK cells.28 There is increasing evidence that these adhesion molecules play more complex and important roles than just sticking cells together. ICAM-1/LFA-1 and VCAM-1/VLA-4 interactions lower the threshold of B-cell activation by facilitating B-cell adhesion and synapse formation,40 and induce protein tyrosine phosphorylation.41 ICAM-1 also induces the activation of small G-protein Ras, RhoA family G-proteins,42 of the Abl tyrosine kinase that controls the expression of cytokines and immune receptors including ICAM-1 and VCAM-1,43,44 and of Src-family kinases, leading to the phosphorylation of actin-associated proteins.45 In our system, it is likely that ICAM-1/LFA-1 and VCAM-1/VLA-4 not only strengthen the physical interactions between FL cells and HK cells/FDC, but also actively induce survival signals. Indeed, ligation of LFA-1 by coated anti-LFA1 antibodies or by soluble purified ICAM-1 failed to induce any significant protective effect on the spontaneous apoptosis of FL cells.
Anti-CD40 antibodies also partially reduced the inhibition of apoptosis. CD40, a type I membrane glycoprotein of the tumor necrosis factor receptor family, is expressed by both FL cells46 and HK cells.28 In vivo, T cells represent the main source of CD40 ligand for CD40 engagement on B cells, and CD40 ligation provides essential stimuli for B-cell proliferation and survival and for the induction of B-cell memory in germinal center B cells.47–49 In vitro, stimulation of normal or malignant B cells via CD40, in various experimental settings, has been reported in most instances to stimulate B-cell proliferation and survival. FDC are not reported to express CD40L and we failed to detect CD40L expression in HK cells (data not shown). At least two hypotheses could be proposed to explain the origin of the CD40 signaling in our system. First, FL cells could be the source of CD40L. Indeed, in vitro disruption of CD40-CD40L interactions in B-cell lymphoma cell lines results in the suppression of growth and the induction of cell death.50 However, CD40L expression in B-cell lymphomas has been evidenced at the mRNA level but not by immunophenotyping,51 apparently due to a low level expression of the protein in these cells.52,53 In another scenario, contamination by a small amount of reactive T cells cannot be formally excluded. Indeed, other cell types contribute to providing indispensable growth support. In particular, recent gene-expression data lend support to the role of T cells and accessory cells in the development and clinical behavior of FL. The insertion of third-party cells (such as T cells or macrophages) in our FL/HK model would be helpful to dissect and expand our understanding of the impact of the immune microenvironment on tumor progression.
In conclusion, HK cells constitute a useful model for studying the functional interactions between FL cells and FDC in vitro. The spontaneous apoptosis of FL cells is partially prevented by co-culture with HK cells. Understanding the molecular mechanisms involved in these protective interactions may lead to the identification of therapeutic agents that might suppress the survival and growth of lymphoma cells.
Acknowledgments
the authors thank Léon-Marie Dupuis and Anne-Cécile Lagrost for their excellent technical assistance.
Footnotes
- Funding: this work was financially supported by a grant from the Belgian National Fund for scientific research (Grant F.N.R.S., Télévie No. 7.4584.01 and Crédit aux Chercheurs), the Fondation Léon Fredericq, and the Centre Anticancéreux de l’Université de Liège. CT & LdL are a post-doctoral fellow and senior research associate of the Belgian National Fund for scientific research.
- Authorship and Disclosures JJG performed experiments, collected data and wrote the paper; CT performed experiments and collected data; CB performed experiments; RG collected data; ED revised critically the manuscript; YSC established the HK cell line; JB and LdL designed the research and wrote the paper. The authors reported no potential conflicts of interest.
- Received August 15, 2007.
- Revision received March 4, 2008.
- Accepted March 25, 2008.
References
- Fisher RI, LeBlanc M, Press OW, Maloney DG, Unger JM, Miller TP. New treatment options have changed the survival of patients with follicular lymphoma. J Clin Oncol. 2005; 23:8447-52. PubMedhttps://doi.org/10.1200/JCO.2005.03.1674Google Scholar
- Hiddemann W, Buske C, Dreyling M, Weigert O, Lenz G, Forstpointner R. Treatment strategies in follicular lymphomas: current status and future perspectives. J Clin Oncol. 2005; 23:6394-9. PubMedhttps://doi.org/10.1200/JCO.2005.07.019Google Scholar
- Jaffe E, Harris N, Vardiman J. Pathology and genetics: neoplasms of the hematopoietic and lymphoid tissues. IARC Press: Lyon; 2001. Google Scholar
- Tsujimoto Y, Cossman J, Jaffe E, Croce CM. Involvement of the bcl-2 gene in human follicular lymphoma. Science. 1985; 228:1440-3. PubMedhttps://doi.org/10.1126/science.3874430Google Scholar
- Cleary ML, Sklar J. Nucleotide sequence of a t(14;18) chromosomal breakpoint in follicular lymphoma and demonstration of a breakpoint-cluster region near a transcriptionally active locus on chromosome 18. Proc Natl Acad Sci USA. 1985; 82:7439-43. PubMedhttps://doi.org/10.1073/pnas.82.21.7439Google Scholar
- McDonnell TJ, Deane N, Platt FM, Nunez G, Jaeger U, McKearn JP. bcl-2-immunoglobulin transgenic mice demonstrate extended B cell survival and follicular lymphoproliferation. Cell. 1989; 57:79-88. PubMedhttps://doi.org/10.1016/0092-8674(89)90174-8Google Scholar
- Limpes J, Stad R, Vos C, de Vlaam C, de Jong D, van Ommen GJ. Lymphoma-associated translocation t(14;18) in blood B cells of normal individuals. Blood. 1995; 85:2528-36. PubMedGoogle Scholar
- Ghia P, Caligaris-Cappio F. The indispensable role of microenvironment in the natural history of low-grade B-cell neoplasms. Adv Cancer Res. 2000; 79:157-73. PubMedhttps://doi.org/10.1016/S0065-230X(00)79005-1Google Scholar
- Dave SS, Wright G, Tan B, Rosenwald A, Gascoyne RD, Chan WC. Prediction of survival in follicular lymphoma based on molecular features of tumor-infiltrating immune cells. N Engl J Med. 2004; 351:2159-69. PubMedhttps://doi.org/10.1056/NEJMoa041869Google Scholar
- de Jong D. Molecular pathogenesis of follicular lymphoma: a cross talk of genetic and immunologic factors. J Clin Oncol. 2005; 23:6358-63. PubMedhttps://doi.org/10.1200/JCO.2005.26.856Google Scholar
- Kuppers R. Mechanisms of B-cell lymphoma pathogenesis. Nat Rev Cancer. 2005; 5:251-62. PubMedhttps://doi.org/10.1038/nrc1589Google Scholar
- Park CS, Choi YS. How do follicular dendritic cells interact intimately with B cells in the germinal centre?. Immunology. 2005; 114:2-10. PubMedhttps://doi.org/10.1111/j.1365-2567.2004.02075.xGoogle Scholar
- Harris NL, Jaffe ES, Diebold J, Flandrin G, Muller-Hermelink HK, Vardiman J. The World Health Organization classification of neoplastic diseases of the hematopoietic and lymphoid tissues. Report of the Clinical Advisory Committee meeting, Airlie House, Virginia, November, 1997. Ann Oncol. 1999; 10:1419-32. PubMedhttps://doi.org/10.1023/A:1008375931236Google Scholar
- QHarris NL, Bhan AK. Distribution of T-cell subsets in follicular and diffuse lymphomas of B-cell type. Am J Pathol. 1983; 113:172-80. PubMedGoogle Scholar
- Renard N, Valladeau J, Barthelemy C, Ribeiro P, Berger F, Saeland S. Characterization of germinal center dendritic cells in follicular lymphoma. Exp Hematol. 1999; 27:1768-75. PubMedhttps://doi.org/10.1016/S0301-472X(99)00114-9Google Scholar
- Goval JJ, Greimers R, Boniver J, de Leval L. Germinal center dendritic cells express more ICAM-1 than extrafollicular dendritic cells and ICAM-1/LFA-1 interactions are involved in the capacity of dendritic cells to induce PBMCs proliferation. J Histochem Cytochem. 2006; 54:75-84. PubMedhttps://doi.org/10.1369/0022155410390327Google Scholar
- Johnson PW, Watt SM, Betts DR, Davies D, Jordan S, Norton AJ. Isolated follicular lymphoma cells are resistant to apoptosis and can be grown in vitro in the CD40/stromal cell system. Blood. 1993; 82:1848-57. PubMedGoogle Scholar
- Ghia P, Boussiotis VA, Schultze JL, Cardoso AA, Dorfman DM, Gribben JG. Unbalanced expression of bcl-2 family proteins in follicular lymphoma: contribution of CD40 signaling in promoting survival. Blood. 1998; 91:244-51. PubMedGoogle Scholar
- Eray M, Postila V, Eeva J, Ripatti A, Karjalainen-Lindsberg ML, Knuutila S. Follicular lymphoma cell lines, an in vitro model for antigenic selection and cytokine-mediated growth regulation of germinal centre B cells. Scand J Immunol. 2003; 57:545-55. PubMedhttps://doi.org/10.1046/j.1365-3083.2003.01264.xGoogle Scholar
- Lindhout E, Koopman G, Pals ST, de Groot C. Triple check for antigen specificity of B cells during germinal centre reactions. Immunol Today. 1997; 18:573-7. PubMedhttps://doi.org/10.1016/S0167-5699(97)01160-2Google Scholar
- Koopman G, Keehnen RM, Lindhout E, Newman W, Shimizu Y, van Seventer GA. Adhesion through the LFA-1 (CD11a/CD18)-ICAM-1 (CD54) and the VLA-4 (CD49d)-VCAM-1 (CD106) pathways prevents apoptosis of germinal center B cells. J Immunol. 1994; 152:3760-7. PubMedGoogle Scholar
- Rinne A, Alavaikko M, Jarvinen M, Martikainen J, Karttunen T, Hopsu-Havu V. Demonstration of immunoreactive acid cysteine-proteinase inhibitor in reticulum cells of lymph node germinal centres. Virchows Arch B Cell Pathol Incl Mol Pathol. 1983; 43:121-6. PubMedGoogle Scholar
- van Eijk M, de Groot C. Germinal center B cell apoptosis requires both caspase and cathepsin activity. J Immunol. 1999; 163:2478-82. PubMedGoogle Scholar
- van Eijk M, Defrance T, Hennino A, de Groot C. Death-receptor contribution to the germinal-center reaction. Trends Immunol. 2001; 22:677-82. PubMedhttps://doi.org/10.1016/S1471-4906(01)02086-5Google Scholar
- van Eijk M, Medema JP, de Groot C. Cutting edge: cellular Fas-associated death domain-like IL-1-converting enzyme-inhibitory protein protects germinal center B cells from apoptosis during germinal center reactions. J Immunol. 2001; 166:6473-6. PubMedhttps://doi.org/10.4049/jimmunol.166.11.6473Google Scholar
- Petrasch S, Kosco M, Perez-Alvarez C, Schmitz J, Brittinger G. Proliferation of non-Hodgkin-lymphoma lymphocytes in vitro is dependent upon follicular dendritic cell interactions. Br J Haematol. 1992; 80:21-6. PubMedGoogle Scholar
- Petrasch S, Kosco M, Schmitz J, Wacker HH, Brittinger G. Follicular dendritic cells in non-Hodgkin-lymphoma express adhesion molecules complementary to ligands on neoplastic B-cells. Br J Haematol. 1992; 82:695-700. PubMedhttps://doi.org/10.1111/j.1365-2141.1992.tb06946.xGoogle Scholar
- Kim HS, Zhang X, Choi YS. Activation and proliferation of follicular dendritic cell-like cells by activated T lymphocytes. J Immunol. 1994; 153:2951-61. PubMedGoogle Scholar
- Choe J, Choi YS. IL-10 interrupts memory B cell expansion in the germinal center by inducing differentiation into plasma cells. Eur J Immunol. 1998; 28:508-15. PubMedhttps://doi.org/10.1002/(SICI)1521-4141(199802)28:02<508::AID-IMMU508>3.0.CO;2-IGoogle Scholar
- Zhang X, Li L, Jung J, Xiang S, Hollmann C, Choi YS. The distinct roles of T cell-derived cytokines and a novel follicular dendritic cell-signaling molecule 8D6 in germinal center-B cell differentiation. J Immunol. 2001; 167:49-56. PubMedhttps://doi.org/10.4049/jimmunol.167.1.49Google Scholar
- Kagami Y, Jung J, Choi YS, Osumi K, Nakamura S, Morishima Y. Establishment of a follicular lymphoma cell line (FLK-1) dependent on follicular dendritic cell-like cell line HK. Leukemia. 2001; 15:148-56. PubMedhttps://doi.org/10.1038/sj.leu.2402002Google Scholar
- Delvoye P, Wiliquet P, Leveque JL, Nusgens BV, Lapiere CM. Measurement of mechanical forces generated by skin fibroblasts embedded in a three-dimensional collagen gel. J Invest Dermatol. 1991; 97:898-902. PubMedhttps://doi.org/10.1111/1523-1747.ep12491651Google Scholar
- Zou H, Li Y, Liu X, Wang X. An APAF-1.cytochrome c multimeric complex is a functional apoptosome that activates procaspase-9. J Biol Chem. 1999; 274:11549-56. PubMedhttps://doi.org/10.1074/jbc.274.17.11549Google Scholar
- Michels J, Johnson PW, Packham G. Mcl-1. Int J Biochem Cell Biol. 2005; 37:267-71. PubMedhttps://doi.org/10.1016/j.biocel.2004.04.007Google Scholar
- Hennino A, Berard M, Krammer PH, Defrance T. FLICE-inhibitory protein is a key regulator of germinal center B cell apoptosis. J Exp Med. 2001; 193:447-58. PubMedhttps://doi.org/10.1084/jem.193.4.447Google Scholar
- Bortul R, Tazzari PL, Cappellini A, Tabellini G, Billi AM, Bareggi R. Constitutively active Akt1 protects HL60 leukemia cells from TRAIL-induced apoptosis through a mechanism involving NF-κB activation and cFLIP(L) up-regulation. Leukemia. 2003; 17:379-89. PubMedhttps://doi.org/10.1038/sj.leu.2402793Google Scholar
- Nam SY, Jung GA, Hur GC, Chung HY, Kim WH, Seol DW. Upregulation of FLIP(S) by Akt, a possible inhibition mechanism of TRAIL-induced apoptosis in human gastric cancers. Cancer Sci. 2003; 94:1066-73. PubMedhttps://doi.org/10.1111/j.1349-7006.2003.tb01402.xGoogle Scholar
- Nuutinen U, Postila V, Mättö M, Eeva J, Ropponen A, Eray M. Inhibition of PI3-kinase-Akt pathway enhances dexamethasone-induced apoptosis in a human follicular lymphoma cell line. Exp Cell Res. 2006; 312:322-30. PubMedGoogle Scholar
- Pedersen IM, Kitada S, Leoni LM, Zapata JM, Karras JG, Tsukada N. Protection of CLL B cells by a follicular dendritic cell line is dependent on induction of Mcl-1. Blood. 2002; 100:1795-801. PubMedGoogle Scholar
- Carrasco YR, Batista FD. B-cell activation by membrane-bound antigens is facilitated by the interaction of VLA-4 with VCAM-1. EMBO J. 2006; 25:889-99. PubMedhttps://doi.org/10.1038/sj.emboj.7600944Google Scholar
- McDonald JT, Teague RM, Benedict SH, Chan MA. Induction of PYK-2 phosphorylation during LFA-1/ICAM-1-dependent homotypic adhesion of fresh human B-cells. Immunol Invest. 2000; 29:71-80. PubMedhttps://doi.org/10.3109/08820130009060878Google Scholar
- Thompson PW, Randi AM, Ridley AJ. Intercellular adhesion molecule (ICAM)-1, but not ICAM-2, activates RhoA and stimulates c-fos and rhoA transcription in endothelial cells. J Immunol. 2002; 169:1007-13. PubMedhttps://doi.org/10.4049/jimmunol.169.2.1007Google Scholar
- Lawson C, Ainsworth M, Yacoub M, Rose M. Ligation of ICAM-1 on endothelial cells leads to expression of VCAM-1 via a nuclear factor-kappaB-independent mechanism. J Immunol. 1999; 162:2990-6. PubMedGoogle Scholar
- Pluskota E, Chen Y, D’Souza SE. Src homology domain 2-containing tyrosine phosphatase 2 associates with intercellular adhesion molecule 1 to regulate cell survival. J Biol Chem. 2000; 275:30029-36. PubMedhttps://doi.org/10.1074/jbc.M000240200Google Scholar
- Etienne-Manneville S, Manneville JB, Adamson P, Wilbourn B, Greenwood J, Couraud PO. ICAM-1-coupled cytoskeletal rearrangements and transendothelial lymphocyte migration involve intracellular calcium signaling in brain endothelial cell lines. J Immunol. 2000; 165:3375-83. PubMedhttps://doi.org/10.4049/jimmunol.165.6.3375Google Scholar
- Clodi K, Asgary Z, Zhao S, Kliche KO, Cabanillas F, Andreeff M. Coexpression of CD40 and CD40 lig-and in B-cell lymphoma cells. Br J Haematol. 1998; 103:270-5. PubMedhttps://doi.org/10.1046/j.1365-2141.1998.01031.xGoogle Scholar
- Kehry MR. CD40-mediated signaling in B cells. Balancing cell survival, growth, and death. J Immunol. 1996; 156:2345-8. PubMedGoogle Scholar
- Craxton A, Chuang PI, Shu G, Harlan JM, Clark EA. The CD40-inducible Bcl-2 family member A1 protects B cells from antigen receptor-mediated apoptosis. Cell Immunol. 2000; 200:56-62. PubMedhttps://doi.org/10.1006/cimm.2000.1616Google Scholar
- Bishop GA, Hostager BS. Signaling by CD40 and its mimics in B cell activation. Immunol Res. 2001; 24:97-109. PubMedhttps://doi.org/10.1385/IR:24:2:097Google Scholar
- Pham LV, Tamayo AT, Yoshimura LC, Lo P, Terry N, Reid PS. A CD40 signalosome anchored in lipid rafts leads to constitutive activation of NF-κB and autonomous cell growth in B cell lymphomas. Immunity. 2002; 16:37-50. PubMedhttps://doi.org/10.1016/S1074-7613(01)00258-8Google Scholar
- Younes A, Carbone A. CD30/CD30 ligand and CD40/CD40 ligand in malignant lymphoid disorders. Int J Biol Markers. 1999; 14:135-43. PubMedGoogle Scholar
- Grammer AC, Bergman MC, Miura Y, Fujita K, Davis LS, Lipsky PE. The CD40 ligand expressed by human B cells costimulates B cell responses. J Immunol. 1995; 154:4996-5010. PubMedGoogle Scholar
- Gordon J, Pound JD. Fortifying B cells with CD154: an engaging tale of many hues. Immunology. 2000; 100:269-80. PubMedhttps://doi.org/10.1046/j.1365-2567.2000.00074.xGoogle Scholar